Известно, что с каждым годом увеличивается стоимость тепловой энергии, расходуемой на отопление, вентиляцию и горячее водоснабжение.
В общественных и производственных зданиях предусматривается коммерческий учёт расхода теплоты в системах внутреннего теплоснабжения [1]. В многоквартирных жилых домах расход теплоты на отопление определяется преимущественно пропорционально жилой площади, что не совсем корректно, как показали расчёты [2]. Тепловые потери, отнесённые к 1 м² площади пола, оказываются наименьшими в рядовых квартирах, расположенных на средних этажах, и бóльшими в угловых квартирах. Ещё больше тепловые потери в угловых квартирах, расположенных на верхнем этаже (дополнительно через чердачные перекрытия или покрытие).
Кроме этого, следует отметить, что жилые дома, построенные в разное время, имеют и разные уровни теплозащиты.
С 1995 года посредством СНиП 11–3-79* [3], СНиП 23-02-2003 [4] и позднее СП 50.13330.2012 [5] было предусмотрено увеличение приведённого сопротивления теплопередаче наружных ограждений, например, наружных стен — более чем в три раза, заполнений световых проёмов — в 1,17 раза (табл. 1).

Следовательно, при выполнении только этого требования расчётные удельные тепловые потери q (табл. 2) через наружные вертикальные ограждения современных жилых домов меньше при коэффициенте остекления 10% почти в 2,4 раза, при 20% остеклении — в два раза, при 70% остеклении — в 1,3 раза.

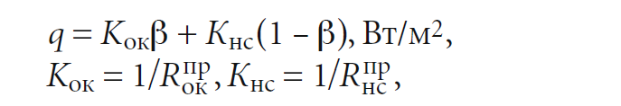
И, как следствие, меньше тепловая мощность и стоимость систем отопления в связи с уменьшением общей площади поверхности отопительных приборов и диаметров труб стояков и магистралей:

где Kок и Кнс — коэффициенты теплопередачи заполнений световых проёмов и наружной стены, Вт/( м²·°C); β — коэффициент остекления наружной стены, выражающий отношение площади заполнений световых проёмов к общей площади вертикального наружного ограждения; Rокпр и Rнспр — приведённые сопротивления теплопередаче заполнений световых проёмов и наружной стены.
Значения удельных тепловых потерь q в скобках даны при сопротивлении теплопередаче наружной стены и окна до Изменения №3.
Из приведённых данных следует, что поквартирный учёт теплоты на отопление необходим в первую очередь в домах старой постройки (до 1995 года) без выполненного дополнительно утепления наружных ограждений.
В последнее время, кстати, в жилых многоквартирных домах устанавливаются терморегулирующие клапаны перед отопительными приборами, позволяющие регулировать теплоотдачу приборов отопления.
Системы поквартирного учёта тепловой энергии на отопление зависят в основном от типа системы отопления.
В домах с традиционной вертикальной «многостояковой» системой отопления поквартирный учёт теплоты предусматривается с помощью устанавливаемых на отопительных приборах определителей расхода теплоты. Такая система учёта имеет существенный недостаток.
Во-первых, учитывается только теплоотдача отопительного прибора. Не учитывается в пределах квартиры теплоотдача стояков и подводок к приборам. В этом случае необходима разработка специального расчёта теплопотребления с учётом показаний приборов учёта тепловой энергии домовых и других квартир.
Во-вторых, в разных квартирах, особенно в рабочее время, возможны разные температурные условия. В квартирах с пониженной температурой в рабочее время (при отсутствии людей в квартире) компенсация тепловых потерь через наружные ограждения может проходить в основном за счёт теплопоступления через межквартирные ограждения от соседних квартир с повышенной температурой воздуха. Дело в том, что коэффициенты теплопередачи межквартирных стен и полов больше коэффициентов теплопередачи наружных стен и покрытий в тричетыре раза. К тому же, и суммарная площадь межквартирных ограждений больше площади наружных ограждений в четыре-пять раз.
Горизонтальные системы отопления с поквартирным учётом тепловой энергии принципиально отличаются от проектируемых ранее [6].
В таких системах предусматривается один стояк на две-четыре квартиры. Для каждой квартиры в коридоре устанавливается шкаф с запорно-регулирующей арматурой, двумя коллекторами и узлом учёта тепловой энергии. В пределах квартиры проектируется горизонтальная система отопления с использованием, как правило, полимерных труб в теплоизоляции, прокладываемых от коллекторов в конструкции пола при веерном присоединении отопительных приборов или по периметру вдоль наружных стен.
В пределах квартир стояки отсутствуют, но значительно увеличивается длина горизонтально прокладываемых труб поквартирной системы отопления, особенно при веерной схеме присоединения отопительных приборов. Кроме того, в верхней части каждого отопительного прибора необходимо устанавливать дополнительно краны Маевского (или воздухоотводчики) для удаления воздуха из системы отопления. Поквартирная система отопления даже при значительно меньших тепловых потерях, несомненно, дороже традиционных.
При установке поквартирного узла учёта тепловой энергии и терморегулирующих клапанов перед отопительными приборами для регулирования их теплоотдачи имеет место тот же недостаток — использование теплопоступления от соседних квартир с повышенной температурой воздуха при поддержании в соседней квартире пониженной температуры.
Выводы
1. Учёт теплоты на отопление с помощью устанавливаемых на отопительных приборах определителей расхода теплоты можно считать целесообразным в жилых домах постройки до 1995 года без утепления наружных ограждений.
2. Целесообразность систем отопления с поквартирным учётом тепловой энергии в многоэтажных жилых домах, расположенных в южных районах, необходимо подтверждать технико-экономическим расчётом.
3. Расчёт теплопотребления каждой квартирой на отопление правильнее вести пропорционально не площади пола квартиры, а пропорционально расчётным тепловым потерям квартиры через наружные ограждения.