В современной практике снабжение потребителей сжиженным газом реализуется в двух вариантах: централизованно (на базе групповых резервуарных установок) и децентрализовано (на базе индивидуальных газобаллонных установок емкостью 50 л). Первая схема применяется при газификации жилых массивов с многоэтажной застройкой. Вторая — при газификации жилых массивов с одноэтажной застройкой. Но сложившаяся практика газификации населенных пунктов одноэтажной застройки только на базе газобаллонных установок не отвечает современным техническим и социально-экономическим требованиям к системам инженерного оборудования.
Низкая паропроизводительность газобаллонных установок в сочетании с небольшим запасом газа у потребителя исключает применение газообразного топлива на нужды отопления и обуславливает использование на эти цели твердого топлива (уголь, дрова). Указанное обстоятельство негативно сказывается на санитарно-гигиенических условиях жизни населения, ухудшает экологию населенных пунктов, снижает общий уровень и культуру инженерного сервиса. Таким образом, газификация процесса отопления зданий требует обязательного применения резервуарных установок.
Применение газобаллонных установок по сравнению с резервуарными снижает капитальные вложения в сооружения систем газоснабжения
Для децентрализованного газоснабжения жилых коттеджных зданий кафедрой «Теплогазоснабжение и вентиляция» СГТУ разработан оптимальный типоряд индивидуальных резервуарных установок на базе подземных вертикальных резервуаров с естественной регазификацией сжиженного газа [1]. Предложенный типоряд максимально учитывает конкретные особенности объектов газоснабжения и обеспечивает надежную, безопасную и экономичную эксплуатацию систем газоснабжения при использовании сжиженного газа с повышенным (до 50 %) содержанием бутана (табл. 1). Как видно из табл. 1, при использовании газа на нужды пищеприготовления (пищеприготовления горячего водоснабжения) в качестве базового варианта может быть принята децентрализованная система газоснабжения от индивидуального подземного резервуара объемом 1,3 м3, а в качестве альтернативы — баллонная система газоснабжения от индивидуальной газобаллонной установки емкостью 50 л, размещенной в кухне.
Применение газобаллонных установок по сравнению с резервуарными снижает капитальные вложения в сооружения систем газоснабжения. Вместе с тем, увеличиваются транспортные расходы по доставке газа потребителям и затраты газонаполнительной станции (ГНС) по его реализации. Следует отметить также, что устойчивое газоснабжение потребителей от баллонных установок с максимальной обеспеченностью газопотребления требует остаточного уровня газа в баллоне в размере 25-32 % [2], что обусловливает соответствующие затраты по сливу неиспарившихся остатков и дополнительные транспортные расходы. В этой связи выбор рациональной области применения систем децентрализованного снабжения сжиженным газом на базе баллонных и резервуарных установок требует экономического обоснования.

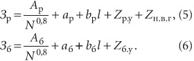
Примем в качестве целевой функции задачи удельные дисконтированные затраты (на 1 т газа) по комплексу «ГНС-потребитель». Поскольку затраты в газовые приборы потребителя по сравниваемым вариантам одинаковы, рассмотрим только несбалансированные составляющие затрат. Удельные затраты в резервуарные системы газоснабжения (Зр, руб/т), включают: затраты по ГНС (ЗрГНС), автомобильному транспорту (Зра.т), резервуарным установкам (Зр.у), наружным и внутридомовым газопроводам (Зн.в.г):

Аналогичные затраты в баллонные системы газоснабжения (Зб, руб/т) включают: затраты по ГНС (ЗбГНС), автомобильному транспорту (Зба.т) и внутриквартирным газобаллонным установкам (Зб.у):

Численные значения составляющих затрат в уравнениях (1) и (2) полученные по результатам проведенных исследований и выраженные в устойчивой валюте (USD) и представлены в табл. 2. Как видно из таблицы, удельные затраты по ГНС определяются по формуле:

где А — стоимостной параметр, (руб⋅т0,8)/год1,8; N — мощность станции, т/год. Аналогичные затраты по автомобильному транспорту определяются так:

где а и b — стоимостные параметры [руб/т и руб/(т⋅км)], численные значения которых зависят от способа доставки сжиженного газа (в баллонах или автоцистерной), дорожных условий и других обстоятельств; l — удаленность населенного пункта от ГНС по автомобильным дорогам, км. Преобразуем (1) и (2) с учетом (3) и (4).

В результате получим:

Численный анализ приведенных зависимостей (5) и (6), показывает что имеет место следующее

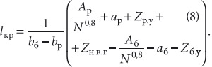
Следовательно, при небольшой удаленности потребителя от газонаполнительной станции имеет место отношение Зр > Зб и наоборот. Критическое расстояние доставки продукта lкр, при котором затраты в резервуарные и баллонные системы газоснабжения одинаковы, находятся из равенства Зр = Зб. Приравнивая (5) и (6), и решая полученное уравнение, имеем:

Таким образом, можно сделать вывод, что при l < lкр населенный пункт целесообразно газифицировать от баллонных установок, а при l > lкр — от резервуарных установок.

В целях практической реализации данной предложенной экономико-математической модели (1)-(8) обоснования рациональной области применения децентрализованных систем снабжения сжиженным газом были проведены соответствующие расчеты.
Низкая паропроизводительность газобаллонных установок исключает применение газообразного топлива на нужды отопления
В расчетах использовались следующие исходные данные и предпосылки:
1. Источник децентрализованного газоснабжения: индивидуальный подземный резервуар сжиженного газа объемом V = 1,3 м3, а также индивидуальная газобаллонная установка установленным объемом V = 50 л.
2. Газовые оборудование квартир: газовые плиты, а также газовые плиты и проточные водонагреватели.
3. Тип автомобильных дорог: 50 % дорог с твердым покрытием, 30 % — с покрытием переходного типа, 20 % — грунтовые дороги.
4. Мощность газонаполнительной станции N = 12 тыс. т/год.
По имеющейся методике можно точно указать, в каких случаях населенный пункт целесообразно газифицировать от баллонных, а в каких — от резервуарных установок
Результаты расчетов представлены на графике (рис. 1). Как видно из графика, экономически обоснованная область применения баллонных систем газоснабжения ограничена удаленностью населенных пунктов от ГНС на расстоянии до 125 км (газовые плиты) и до 50 км (газовые плиты и водонагреватели). При большей удаленности потребителей целесообразно использовать резервуарные системы газоснабжения.