Рис. 1.
Рис. 2.
Рис. 3.
Рис. 4.
Рис. 5.
Табл. 1. Расшифровка условного обозначения трубы
Табл. 2. Cоответствие металлопластиковых труб заявленным характеристикам
Впервые эти трубы появились в Англии в 70-х гг. прошлого века, где они были изобретены для нужд Королевских ВМС. На кораблях и подводных лодках есть большое количество трубопроводов различного назначения, размещение которых в условиях стесненного пространства требовало грандиозных затрат труда и времени. Ювелирная работа судового сантехника требовала высочайшего опыта и мастерства.
В фантасмагорическом переплетении труб, кабелей, коробов и элементов конструкций сантехнику приходилось сначала из куска алюминиевой проволоки выгибать немыслимую траекторию оси трубы, а затем по этому шаблону изготавливать саму заготовку. Малейшая неточность— и весь труд летит ≪насмарку≫.
Попытки использования труб из обычного сшитого полиэтилена (РЕХ) оказались неудачными: для изгибания такой трубы требовалось использование строительного фена; труба не держала приданную форму, сильно провисала при изменении температуры; к тому же пластик пришелся по вкусу корабельным грызунам… Появление металлопластиковых труб, в которых слой алюминия, заключенный между слоями сшитого полиэтилена, избавлял пластик от всех перечисленных недостатков, было истинным прорывом в отрасли.
Какое-то время англичане держали свое изобретение в строжайшем секрете, но слухи о ≪чудесной≫ трубе и ее образцы просочились за недра военно-морского ведомства, и изобретателям ничего не оставалось, как продать свой патент в Германию, Израиль и ряд других стран. Так началось триумфальное шествие металлопластиковых труб по всему миру. Благодаря своим уникальным свойствам и доступности эти трубы неумолимо вытесняют прочие виды трубопроводных систем из арсенала внутреннего инженерного оборудования зданий.
Лавинообразный рост спроса на металлопластиковые системы, естественно, порождает появление большого количества производителей элементов для этих систем.Уже сейчас на российском рынке можно насчитать порядка 60 товарных марок металлопластиковых труб и около 40 типов фитингов. При этом единого государственного стандарта на эти изделия нет, поэтому трубы могут различаться по толщине стенки и толщине отдельных слоев,материалу слоев и их температурной и механической стойкости. В этих условиях даже специалисту трудно ответитьна вопрос—какой фитинг подойдет ккакой трубе, если эти изделия делает разный производитель.
Да и с инструментом при монтаже легко промахнуться: существуют порядка 20 пресс-насадок для выполнения пресссоединений (G, H,HA,M, U, S,V,SV, TH, HE и пр.). Конечно, можно порадоваться изобилию и свободе выбора, однако в этом пестром ≪карнавале металлопластиковых систем≫ в последнее время стали появляться тревожные симптомы.
Появляются продукты с искаженной отправной информацией о температурной и механической стойкости трубы и материале ее слоев. Но для начала желательно выяснить, какая информация должна быть нанесена на металлопластиковую трубу и что она должна обозначать. В отсутствии российского ГОСТа на металлопластиковые трубы используется ГОСТ Р 52134–2003 ≪Трубы напорные из термопластов и соединительные детали к ним для систем водоснабжения и отопления≫.
В соответствии с п. 4.5 этого ГОСТа условное обозначение трубы должно включать в себя следующие сведения — см. табл. 1.Эта таблица требует некоторых пояснений.
MRS (МПа) — это минимальная длительная прочность, численно равная напряжению в стенке трубы, возникающее при действии постоянного внутреннего давления, которое труба может выдержать в течение 50 лет при температуре 20°С. Приведенное в таблице значение ≫ показывает, что напряжение в стенке трубы составляет 10 МПа.
SDR — стандартное размерное отношение, численно равное отношению номинального наружного диаметра трубы к номинальной толщине стенки. Результат округляется до ближайшего стандартного значения (5; 6; 7,4; 9; 11; 13,6; 17; 17,6; 21; 26; 33; 41). Класс эксплуатации показывает, в каких стандартных условиях может эксплуатироваться труба. Каждому классу соответствует определенное сочетание периодов времени с различной температурой транспортируемой среды (рис. 1).
Рабочим режимом называется комбинация периодов времени и температур, определяемые областью применения. Именно эти параметры задают один из шести классов эксплуатации:
- ХВ — холодное водоснабжение;
- Класс 1 — горячее водоснабжение до 60°С;
- Класс 2 — горячее водоснабжение до 70°С;
- Класс 3 — низкотемпературное напольное отопление с максимальное температурой до 50°С;
- Класс 4 — высокотемпературное напольное отопление и низкотемпературное радиаторное отопление с температурой до 70°С;
- Класс 5 — высокотемпературное радиаторное отопление с температурой до 90°С.
Максимальный режим эксплуатации строго ограничен во времени. Для систем отопления этот режим как правило является расчетным.Можно пояснить это на примере. Для Санкт-Петербурга, расчетная температура наружного воздуха для отопления составляет –26°С.Продолжительность этого расчетного периода в соответствии со СНиП 23-01–99* ≪Строительная климатология≫ пять суток в году, или 250 суток за 50 лет.
При средней температуре отопительного периода –1,8°С и его продолжительности 220 суток в году, можно рассчитать, что при температуре теплоносителя 60°С труба за 50 лет эксплуатации находится в течение порядка 30 лет. Таким условиям соответствует 5-й класс эксплуатации.
Аварийным режим предусматривает кратковременное (не более 100 ч за 50 лет) воздействие указанной на рис. 1 температуры, что может быть вызвано какими-то техническими неполадками в системе температурного регулирования. Еще раз напомним, что все вышесказанное следует из нормативов на пластиковые трубы, поскольку действующих норм на металлопластиковые системы нет, если не считать двух сводов правил (СП 41-102–98 ≪Проектирование и монтаж трубопроводов систем отопления с использованием металлополимерных труб≫ и СП 40-103–98 ≪Проектирование и монтаж трубопроводов систем холодного и горячего водоснабжения с использованием металлополимерных труб≫).
В Европе ситуация примерно такаяже. Имеется стандарт на монтаж композиционных (PEX-AL-PEX и PE-AL-PE труб IS 28–2003 (Installation Standart), а стандарта на сами металлопластиковые трубы нет. Большинство европейских и азиатских производителей ориентируются на американские нормы ASTM F 1281 и F 1282. Именно в соответствии с этими нормами в марке трубы указывается максимальное рабочее давление и температура максимального режима.
Таким образом, если на металлопластиковой трубе написано 10 бар и 95°С, это вовсе не значит, что труба способна в течение 50 лет находиться при таком давлении и температуре. В общем случае можно гарантировано рассчитывать на то, что трубопровод сможет безболезненно эксплуатироваться непрерывно в течение года при указанных параметрах, а дальнейшая его судьба зависит от релаксационных графиков (рис. 2).
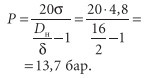
Эти графики рассчитаны по формуле Кесселя для большинства используемых материалов композиционных труб и показывают, как с течением времени снижается эталонное тангенциальное напряжение в стенке трубы, возникающее под действием внутреннего давления (рис. 2). По этим графикам с достаточной степенью точности можно рассчитать, какое избыточное давление выдержит та или иная труба по истечении определенного срока.
Например, металлопластиковая труба PEX-AL-PE наружным диаметром Dн = 16 мм, с толщиной стенки d = 2 мм, транспортирующая жидкость с температурой 95°С, в начальный период эксплуатации способна выдержать избыточное давление:

Через 50 лет постоянной эксплуатации в таком режиме предельное избыточное давление понизится до величины:

В использованной формуле σ величина тангенциального напряжения в МПа, принимаемая по релаксационному графику (ось ординат). Особо хотелось бы остановиться на композиционных трубах с использованием термостойкого полиэтилена PERT. Трубы PERT-ALPERT дешевле труб PEX-ALPEX и уже только этим сразу нашли своих горячих приверженцев. Но потребителю следует учесть следующие тонкости: PERT, несмотря на повышенную (по сравнению с обычным полиэтиленом) термическую стойкость и прочность, остается термопластичным материалом.
Это значит, что материал начинает размягчаться при температуре ниже температуры деструкции (разрушения). Благодаря боковым октеновым ≪ветвям≫ макромолекулы тесно ≪переплетены≫ между собой, но химическая связь между этими макромолекулами отсутствует. Про этот материал можно сказать: ≪Уже не полиэтилен, но еще не РЕХ≫. По релаксационным графикам видно, что все термопластичные материалы (HDPE,PP,PB,PERT) имеют ≪точку излома≫ графика, после которой начинается ускорение процесса снижения прочности материала.
Использовать термопластичные материалы для систем отопления не рекомендуется, т.е. они могут применяться только при 4-м и ниже классах эксплуатации. На трубы, изготавливающиеся в России разрабатываются индивидуальные технические условия. Так, металлопластиковые трубы VALTEC выпускаются по ТУ 2248096-00284581–2005; труба ≪Лираль≫ — по ТУ 2248-03600203536–97, трубы завода ≪Металлополимер≫ — по ТУ 2248-036-0761418–2003.
В технических условиях четко оговорены требования к маркировке и контролю качества выпускаемого продукта. В последние год-два российский рынок переживает наплыв металлопластиковых труб и фитингов, выпускающихся в Азии. Наряду с неплохой по качеству продукцией встречаются трубы, которые наверняка огорчат своих покупателей. Возможно, неприятности возникнут не сразу после монтажа системы, но избежать их не удастся.
Дело в том, что зачастую сведения, указанные в маркировочной надписи на трубе, слепо скопированы с продукта совершенно другого производителя и часто не соответствуют реально использованным материалам и условиям эксплуатации. В лаборатории комплексных испытаний элементов инженерных систем ООО ≪Валтек≫ (ЛаКИЭлИС) были проведены исследования нескольких образцов металлопластиковых труб на соответствие характеристикам, заявленным на маркировке.
Результаты этих исследований сведены в таблицу без указания торговых марок. Как видно из табл. 2, только у одного образца из шести нанесенная на трубу информация полностью соответствовала истине. Но даже у этого образца степень сшивки полиэтилена составляла всего 20% вместо положенных 65%. Это значит, что труба представляет из себя не готовый продукт, а полуфабрикат.
Конечно, пролежав 2–3 месяца на складе, такая труба ≪наберет≫ положенную степень сшивки, но если ее смонтируют раньше этого срока, то протечки в соединениях неизбежны, т.к. с увеличением степени сшивки плотность РЕХ несколько уменьшается. Солидные поставщики такого отношения к потребителю не допускают. Например в ООО ≪Валтек≫ (Санкт-Петербург) экструзионная линия заканчивается участком гидратации, где через готовую трубу в течение 5–12 ч (в зависимости от диаметра) прокачивается вода с температурой 90°С.
И лишь после лабораторной проверки всех показателей, предусмотренных техническими условиями, продукт поступает на реализацию. Безусловно, рядовому потребителю невозможно оценить, насколько соответствует реальным данным информация, указанная на металлопластиковой трубе. Однако есть не очень сложный способ определить, по крайней мере, фактический материал слоев трубы.
Для этого отрезанные фрагменты трубы (кольца шириной по 1–1,5 см) нужно поместить в муфельную печь или духовку и выдержать их при температуре 130°С в течение 15 мин.Если геометрические параметры слоя останутся без изменений, то это— сшитый полиэтилен (РЕХ).PERT несколько уменьшается в объеме, о чем будут свидетельствовать ≪оплавленные≫ торцевые поверхности слоя. Несшитый полиэтилен (РЕ) значительно уменьшится в объеме.
На приведенных образцах показано поведение при высокотемпературном нагреве образцов трубы PEX-AL-PEX (рис. 3); PERTALPERT (рис.4) и PEX-AL-PE (рис. 5).Образцы, представленные на рис. 3 и 5, смело можно использовать для систем отопления, а труба, показанная на рис. 4, долго в таких системах не прослужит. В связи с тем, что наружный слой в металлопластиковой трубы является защитным (он предохраняет алюминий от воздействия щелочной среды растворных смесей), то использование в нем РЕХ считается нецелесообразным.
Труба с наружным слоем из несшитого РЕ значительно легче гнется и лучше противостоит ультрафиолетовому излучению, чем PEX. В заключении хотелось бы еще раз напомнить, что покупать нужно не трубу, а систему, включающую также соединители и необходимый монтажный инструмент. Только в этом случае вы будете уверены в том, что смонтированная система прослужит долгие годы.