Как следует из п. 4.1.3 свода правил СП
Есть разные пластмассы (имеется в виду их прочность), из которых изготовляются безнапорные трубы [1, 2]. При одном и том же наружном диаметре безнапорные трубы могут иметь разные толщины стенок. К тому же, здания, в которых могут устраиваться внутренние водостоки, имеют не только различную высоту, но и различные по величине водосборные площади. Над зданиями, в зависимости от места их расположения, выпадают дожди различной интенсивности и продолжительности.

Внутренние водостоки представляют собой систему, состоящую из водосточного стояка, водосточного выпуска, к которому присоединяется водосточный стояк, и присоединенной к его верхней части напрямую непосредственно либо с помощью горизонтального трубопровода водосборной воронки. Расчеты показали, что на одну воронку могут приходиться различные расходы стоков. Естественно предположить, что должны были бы применяться различные воронки, пропускающие именно расчетные расходы стоков. На самом деле этого нет. Практически во всех случаях используется чугунная воронка одной и той же конструкции. Объясняется это сложившейся практикой устройства внутренних водостоков в московском строительном комплексе. Также известно, что имеется множество водосточных воронок и других конструкций. Водосточные воронки принимают в зависимости [3] от назначения здания и конструкции кровли.
В общих случаях конструкция соединения воронки с покрытием должна обеспечивать плавный переход от покрытий к воронке, плотное соединение гидроизоляционного ковра с чашей воронки и надежность крепления воронки к конструкции крыши. В конструкции водосточных воронок также должно быть учтены особенности места их расположения. Водосточная воронка должна иметь такую конструкцию, чтобы были обеспечены быстрый прием всех выпавших на кровлю атмосферных осадков и задержание крупных частиц мусора, листьев, деревьев, бумаги и пр., которые могут попадать на кровлю.
Плоские водосточные воронки применяют для плоских кровель (террас), на которых возможно частое пребывание людей. Такие воронки устанавливают заподлицо с кровлей (рис. 1). На плоских кровлях зданий, имеющих парапеты, водосточные колпаковые воронки снабжают иногда переливными съемными патрубками (рис. 2), чтобы в жаркое время года на крыше образовался слой воды, предохраняющий здание от избыточной солнечной радиации. На плоских крышах, имеющих асфальтовые или плиточные покрытия, устанавливается плоская чугунная водосточная воронка (рис. 3).
Для жилых зданий с плоской неэксплуатируемой кровлей рекомендуется [8] применять воронки типа Вр7м с условным проходом патрубка 80 мм (рис. 4).




В работе [4] совершенно справедливо отмечается то, что все большее распространение в строительстве находят современные кровельные материалы, и ужесточаются требования к увеличению безремонтного срока службы кровель, и что в связи с этим обостряется вопрос о срочной разработке и внедрении современных и надежных водосточных воронок. На практике сложилась ситуация, когда в проектах заложены самые современные материалы, а для организации водоотведения с кровли предлагаются старые знакомые — чугунные воронки. По статистике, 95 % всех протечек кровель происходит в месте примыкания гидроизоляционного полотна к фланцу чугунной воронки. Происходит это вследствие того, что кровля зимой поднимается, а летом опускается, а соединение чугунной воронки со стальной трубой не обеспечивает требуемую компенсацию этих перемещения. К тому же, кровля работает в очень тяжелых температурных условиях. Зимой температура может опускаться до —35 °C (в Москве), летом кровля может разогреваться до +80 °C. Практически все гидроизоляционные материалы — это полимеры. Коэффициент линейных удлинений у полимерных материалов на два порядка больше, чем у чугуна. В месте примыкания гидроизоляции к фланцу воронки гидроизоляционный материал постоянно работает на излом. Каким бы эластичным ни был гидроизоляционный материал, но с течением времени по фланцу воронки происходит разрыв гидроизоляции. Помимо температуры, этому способствуют ветровые нагрузки, УФ-излучение, кислоты и щелочи, старение самого материала, а также пары воды. Как правило, для утепления кровли используются минеральная вата, стекловата, керамзит, т.е. материалы, впитывающие воду. Для предотвращения попадания паров воды в утеплитель под ним укладывается слой пароизоляции. Между чугунной воронкой и пароизоляцией обычно нет герметичного соединения. Пары воды проникают в утеплитель (гигроскопичный утеплитель как бы сам всасывает воду). Намокший утеплитель уже не выполняет свои функции утепления, что приводит к промерзанию и разрушению кровли вокруг воронки. В то же время пары воды конденсируются под гидроизоляцией. При нагреве кровли летом это приводит к «вспучиванию» гидроизоляции (к образованию т.н. пузырей), зимой пары воды замерзают — кристаллы льда, имея острые края, взрезают гидроизоляцию снизу. Все это относится к обычным неэксплуатируемым кровлям, которые до сих пор применяются повсеместно.

Кроме того, имея в своем арсенале два типа чугунных воронок (BP1 и BP9), справиться с монтажом сложного «пирога» кровли довольно трудно, а иногда и просто невозможно. Срок службы кровли в целом определяется долговечностью самого ненадежного ее элемента. Какими бы дорогими и долговечными ни были гидроизоляционные материалы, если мы сэкономили на воронках, то результат может быть плачевным — через пару лет может потребоваться капитальный ремонт кровли. В этой связи само собой напрашивается вывод о том, уж если применяются кровельные материалы из различных полимеров, то, по-видимому, необходимо применять и полимерные водосточные воронки.
Рекомендуется при разработке водосточных воронок из пластмасс (рис. 5) особое внимание уделять выбору материалов, т.к. они могут находиться под воздействием как достаточно высоких, так и особо низких температур.

За рубежом такой опыт уже имеется. Например, австрийская фирма НL производит водосточные полипропиленовые воронки. К преимуществам таких воронок относятся: малый вес; диапазон рабочих температур от —50 °C до +1000 °C; кислотостойкость и щелочестойкость (превосходят в т.ч. чугун и нержавеющую сталь); устойчивость к УФ-излучению (солнечной радиации); возможность организовать водосбор с нескольких уровней (инверсионные кровли); возможность герметизации нескольких уровней кровельного «пирога» (например, герметичное соединение воронки с парогидроизоляцией); коэффициент линейного удлинения материала воронок близок к коэффициенту линейного удлинения гидроизоляционных материалов; также нет необходимости в установке компенсационных патрубков с последующей их зачеканкой.
Основной проблемой, с которой сталкиваются при применении кровельных воронок НL, является их излишне широкий ассортимент. Их номенклатура насчитывает около пятидесяти различных типов: воронки для плоских кровель, для балконов и террас; с вертикальным выпуском (DN 40, 50, 70, 100, 125, 150), с горизонтальным выпуском (DN 70, DN 100) или с поворотным шарниром с углом установки выпускного патрубка от 0 до 90° (DN 50, DN 70); с (и без) встроенным саморегулирующимся кабелем электроподогрева, который меняет свою теплоотдачу в зависимости от температуры окружающего воздуха; для эксплуатируемых и неэксплуатируемых кровель; с полимербитумным полотном (заводская заделка) под приварную гидроизоляцию или с обжимным фланцем из нержавеющей стали для любой гидроизоляции; для кровель из профилированного стального листа и т.д.
Во внутреннем водостоке здания в зависимости от интенсивности дождя, его продолжительности, водосборной площади, водоприемной способности водосборной воронки и внутреннего диаметра водосточных трубопроводов может иметь место пленочное либо напорное течение дождевой и талой воды [3].
При пленочном течении водосточный трубопровод будет работать в безнапорном режиме. При напорном течении какаято часть водосточного трубопровода будет работать в напорном режиме. Стенки водосточных трубопроводов будут подвергаться воздействию внутреннего гидростатического давления pi, величина которого будет определяться высотой сечения от самой нижней точки водостока. Гидростатическое давление будет создаваться и в случае засорения внутреннего водостока, а также при проведении гидростатических испытаний после монтажа. Сечения, которые будут подвергаться воздействию наибольших значений гидростатического давления, будут находиться в водосточных выпусках. Подсчитанные с известными допущениями максимальные значения внутренних гидростатических давлений для сечений внутренних водостоков на уровне первого этажа и гидрозатворов домов типовых московских серий представлены в табл. 1.
«...Водосточные стояки, а также все отводные трубопроводы, в том числе прокладываемые ниже пола первого этажа, следует рассчитывать на давление, выдерживающее гидростатический напор при засорах и переполнениях...» (см. п. 20.12 СНиП

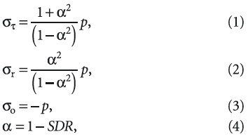
Прочностные расчеты внутренних водостоков из канализационных ПП-труб были проведены по нескольким методикам, имеющим достаточно широкое практическое применение в области конструирования пластмассовых напорных труб [5]. Труба, нагруженная внутренним гидростатическим давлением p, находится в трехосном напряженном состоянии, характеризуемым тремя составляющими напряжениями в стенках σt, σr и σo (тангенциальным, радиальным и осевым).
В наиболее нагруженном месте, т.е. на внутренней поверхности стенки трубы, указанные напряжения могут быть вычислены по следующим формулам:

где SDR — отношение наружного диаметра трубы D к толщине ее стенки e.
Для двухосного напряженно-деформированного состояния (НДС), т.е. когда σo = 0 (для трубопроводов с раструбными соединениями на резиновых уплотнительных кольцах это справедливо), кратковременное разрушающее давление:

где σ — предел текучести материала.
Значение кратковременного давления, при котором может произойти разрушение данных ППтруб (σ = 25 МПа, D = 110 мм, e = 3,2 мм), вычисленное по (5), составит pраз = 1,5 МПа:
SDR = 110/3,2 = 34,4 ⇒ 2/SDR = 0,058;α = 0,942 ⇒ α2 = 0,887 ⇒ α4 = 0,787;1 — α2 = 0,113;3 + α4 = 3,787 ⇒ (3 + α4)0,5 = 1,95 ⇒ (1 — α2)/(3 + α4)0,5 = 0,06 ⇒ (1 — α2)/(3 + α4)0,5σ = 1,5 МПа.
В отечественной практике расчет напорных пластмассовых труб производиться по формуле Надаи, в которую входит средний диаметр трубы. В соответствии с американской практикой, расчет напорных пластмассовых труб осуществляется по формуле Барлоу, в которую входит наружный диаметр трубы. В расчетах труб также часто используется формула котла.
Значения разрушающего гидростатического давления в трубах вычислены по следующим формулам:

причем все полученные значения разрушающего гидростатического давления pраз: 1,5 МПа (6), 1,46 МПа (7) и 1,55 МПа (8) превосходят максимальный напор (величиной 0,858 МПа), которому могут быть подвергнуты канализационные ПП-трубы в случае их использования для устройства внутренних водостоков в домах московских серий. К сожалению, это справедливо только для кратковременного нагружения и только для сечения по телу трубы, т.к. использованы кратковременные значения (σ = 25 МПа) прочности полипропилена и толщина стенки (e = 3,2 мм) тела трубы.
Расчеты показывают, что для сечений канализационной полипропиленовой трубы, проходящих по раструбу и желобку, внутренние разрушающие давления будут значительно меньше (табл. 2).

Как видно из таблицы, разрушающее давление для сечения по желобку трубы в 1,32 раза меньше максимально возможного напора во внутренних водостоках домов рассмотренных московских серий. Оно соответствует гидростатическому напору, который может возникнуть в здании высотой до 22х этажей (табл. 1). Здесь следует, однако, заметить, что для сечения по желобку, имеющему вертикальные стенки, опасными будут не окружные растягивающие напряжения, которые ранее использовались в расчетах (табл. 2), а осевые. А эти напряжения в кругло-цилиндрической трубе при одном и том же внутреннем давлении всегда в два раза меньше окружных напряжений. Это эквивалентно в наших расчетах тому, что толщина стенки желобка как бы удваивается. То есть, толщина стенки в сечении по желобку может быть приравнена к толщине стенки по телу трубы.
Таким образом, наиболее слабым местом будет сечение по раструбу. Толщина стенки в этом месте трубы равняется 2,4 мм. В этом случае при максимально возможном напоре (pmax = 0,858 МПа) в стенках раструба будут возникать растягивающие напряжения σр = 20,6 МПа. Здесь следует обратить внимание на то, что при непрерывном действии растягивающего напряжения в стенках полипропиленовая труба будет непрерывно терять свою прочность и через некоторое время τн разрушится. Это приводит к выводу о том, что исследуемые трубы не смогут обеспечить расчетный срок эксплуатации внутреннего водостока 50 лет. Однако, это не совсем так. В данном случае следует иметь ввиду, что во внутреннем водостоке не может быть постоянного напора в течение всего срока службы [6]. Возникает вопрос, каково время τн нахождения под напором полипропиленовых труб в течение всего расчетного срока службы внутреннего водостока. Анализ показал, что это время включает составляющие:
τн = τи + τз + τэ, (9)
где τз — время нахождения водостока под напором при засорениях; τи — время нахождения водостока под напором при испытаниях; τэ — время нахождения водостока под напором при эксплуатации.

Время испытания τи внутренних водостоков из канализационных полипропиленовых труб «под налив» можно принять равным 20 минут, как это установлено для испытаний внутренних водостоков из труб из непластифицированного поливинилхлорида [7].
Относительно времени τз нахождения внутреннего водостока в засоренном состоянии никаких сведений нет. Априори можно принять τз = 1 сут. Время τэ нахождения внутреннего водостока под действием напора стоков зависит от того, будет ли через водосборную воронку (водосборные воронки), присоединенную к водосточному стояку, поступать расход стоков под напором столба воды. Высота этого столба воды должна быть больше критической величины hкр. Для этого аварийный сброс воды должен быть на уровне ниже hкр. И, кроме того, водосборная площадь, приходящаяся на водосборную воронку, должна быть таковой, чтобы при выпадении дождя с расчетной интенсивностью обеспечивался расход стоков Q, который мог бы создать напорный режим течения в водостоке с расчетным диаметром dр.
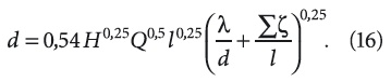
Расчетных формул для точного определения величины расчетного диаметра труб для внутренних водостоков до сих пор не разработано. В литературе, однако, приводятся методики подбора диаметра труб для внутренних водостоков [3]. В частности, формула для вычисления максимального расхода, который может быть пропущен по внутреннему водостоку в напорном режиме, имеет вид:

где H — полный гидростатический напор, равный разности отметок слоя воды на крыше и устья водосточного стояка или водосточного выпуска; S0 — полное гидравлическое сопротивление расчетного участка внутренних водостоков.
Величина полного гидравлического сопротивления определяется как:
S0 = Al + AмΣζ, (11)
где A — удельное сопротивление трения по длине трубопровода; l — длина расчетного участка внутренних водостоков; Aм — удельное местное сопротивление; Σζ — сумма коэффициентов местного сопротивления фасонных частей, установленных на трубопроводе, включая водосточные воронки и выпуски.
Удельное сопротивление трения по длине трубопровода:

где iт — потери напора, приходящиеся на единицу длины трубопровода.
Потери напора, приходящиеся на единицу длины трубопровода, можно определить по формуле Шези:

где l — коэффициент гидравлического трения, определяющий в долях динамического давления линейную потерю на длине трубопровода, равной величине его внутреннего диаметра; V — средняя скорость течения стоков; g — ускорение свободного падения.
Удельное местное сопротивление:

где iмс — потери напора, приходящиеся на одно местное сопротивление. Потери напора на одно местное сопротивление:

где ζi — коэффициент местного сопротивления конкретной фасонной части.
После совместных преобразований (10)—(15) и замены скорости V на расход Q с использованием уравнения неразрывности струи в сплошном потоке была получена расчетная формула для определения расчетного диаметра внутренних водостоков, работающих в напорном режиме, в виде:

При этом коэффициент гидравлического трения l следует вычислять по формуле, справедливой для всех областей гидравлического сопротивления труб. Согласно этой формуле:

обозначения и порядок расчетов по (17) приводится в СП
В полученной расчетной формуле неизвестное d представлено в неявном виде, а неизвестное в правой части (16) находится в основании степени с дробным показателем. К тому же, неизвестное d в правой части (17) находится под знаком десятичного логарифма. Отсюда следует, что вычислить неизвестное d возможно только в том случае, если воспользоваться графоаналитическим методом решения трансцендентных уравнений либо использовать машинный счет, для чего требуется специальная математическая программа.

Выход из сложившейся ситуации находиться в принятии известных допущений. Одно из допущений заключается в том, что мы соглашаемся для исследуемых канализационных полипропиленовых труб с положением о том, что пластмассовые трубы работают во внутренних водостоках в гидравлически гладкой области гидравлического сопротивления. Здесь удельное сопротивление трения по длине трубопровода:

Другим допущением будет являться то, что мы принимаем величину потерь напора на местных сопротивлениях как часть от потерь напора на трение по длине трубопровода в размере 10 %. Тогда в формуле (11) произведение величин Aм и Σζ будет равняться нулю, а:

С учетом этих двух допущений:

Третье допущение состоит в том, что длина l будет на 20 % больше H. При этом формула для определения расчетного диаметра труб для внутренних водостоков, работающих в напорном режиме, упроститься и примет вид:
d = 0,288Q0,382. (21)
Расход согласно СНиП [1] определяется по формуле:
Q = 0,0001Fq20, (22)
где F — водосборная площадь, м2; q20 — интенсивность дождя, л/с с 1 га (для данной местности), продолжительностью 20 минут при периоде однократного превышения расчетной интенсивности, равной одному году (по СНиП
Полученные по (21) для внутренних водостоков зданий типовых московских серий (табл. 1, стлб. 1) значения расчетных диаметров d составляют лишь часть от внутреннего диаметра (dв = 103,6 мм) исследуемых канализационных полипропиленовых труб. На этом основании можно утверждать, что во внутренних водостоках (только зданий рассмотренных серий) из канализационных полипропиленовых труб диаметром 110 мм с толщиной стенки 3,2 мм напорный режим течения дождевых и талых вод возникнуть не может. С учетом такого утверждения можно принять, что τн = τи + τз = 25 ч. При коэффициенте запаса, равном 2, это составит 50 ч. Этому времени соответствует прочность 18 МПа, что составляет 72 % от значения кратковременной прочности полипропилена (принято ранее 25 МПа). Растягивающие напряжения такой величины могут быть созданы во внутренних водостоках из исследуемых труб при напоре 0,75 МПа. Такая величина напора позволяет применять канализационных полипропиленовые трубы диаметром 110 мм с толщиной стенки 3,2 мм производства НПО «Стройполимер» в зданиях всех серий, пока что кроме 25этажных серии «Монолит» (табл. 1).
Гидростатические испытания (проведенные НПО «Стройполимер») соединений канализационных ППтруб показали, что они являются герметичными при внутреннем гидростатическом давлении до 0,8 МПа. Это говорит о том, что они соответствуют принятому решению о возможности использования канализационных ПП-труб в зданиях всех рассмотренных серий, кроме 25этажных серии «Монолит» (табл. 1).
Согласно пункту 20.2 СНиП 2.04.01—85"...воду из систем внутренних водостоков следует отводить в наружные сети дождевой или общесплавной канализации...«.
В Москве нет общесплавной канализации, а дождевая канализация не всегда охватывает своими трубопроводами строящиеся здания. В примере 2 к п. 20.2 говорится, что отвод воды из внутренних водостоков в бытовую канализацию не допускается, поэтому для отвода воды из внутренних водостоков нужно использовать открытый выпуск, в соответствии с п. 20.3. В нем говорится, что при отсутствии дождевой канализации выпуск дождевых вод из внутренних водостоков следует принимать открыто в лотки около зданий. В примечании п. 20.3 указывается, что при устройстве открытого выпуска на стояке внутри здания должен предусматриваться гидравлический затвор с отводом талых вод в зимний период года в бытовую канализацию.
Относительно места расположения водосточных выпусков из пластмассовых труб в СНиП

Анализ уже показал, что соединения (рис. 6а и г) могут быть вполне работоспособными и в случае использования для сборки канализационных ПП-труб со стальными трубами водосточных выпусков. Для этого их концы должны быть оснащены отбортовками, либо на их концы должны быть наварены буртовые втулки. Что касается соединений (рис. 6б и в), то ввиду отсутствия адгезии между полипропиленом и цементом их использовать без специальной термической обработки не следует. Правда, имеется возможность оставить эти соединения так, как они используются. Причем трубы из НПВХ (поз. 6) завершить раструбом. Затем в этот раструб вставить гладкий конец ПП-трубы (это возможно, т.к. у труб из ПП и из НПВХ одинаковый наружный диаметр 110 мм). Для уплотнения такого соединения следует использовать резиновое кольцо круглого поперечного сечения. На данном этапе разработанности вопроса предлагается устраивать подвесные водосточные выпуски совместно с гидрозатворами из канализационных полипропиленовых труб и соединительных частей, и только концевую часть выполнять из стальных труб. При этом все элементы должны быть скреплены поверх специальными металлическими стяжками, т.к. раструбные соединения с резиновыми уплотнительными кольцами не предназначаются для восприятия осевых нагрузок. Это может быть пара хомутов и пара тяг с винтовой нарезкой и гайками. В случае наложения одного из хомутов на раструб, что скажется на усилении его стенки, прочность трубопроводов из ПП возрастет, т.к. расчетным сечением станет сечение, проходящее через тело трубы. При прокладке водосточного выпуска либо какой-то его части в земле тяги могут и не потребоваться. При определенной глубине заложения элементы выпуска будут защемлены грунтом.
1. Ромейко В.С., Отставнов А.А., Сладков В.А., Устюгов В.А. и др. Справочные материалы. Пластмассовые трубы в строительстве. Ч. 1: Трубы и детали трубопроводов. Проектирование трубопроводов. — М.: ТОО «Издво Валанг», 1997.
2. Ромейко В.С., Отставнов А.А., Сладков В.А., Устюгов В.А. и др. Справочные материалы. Пластмассовые трубы в строительстве. Ч. 2: Строительство трубопроводов. Эксплуатация и ремонт трубопроводов. — М.: ТОО «Издво Валанг», 1997.
3. Лобачев П.В. Внутренние водостоки зданий. — М.: Издво «Литературы по строительству», 1967.
4. Якушин С.М. Кровельные воронки для внутренней ливневой канализации // Сантехника, № 4/2003.
5. Каган Д.Ф. Трубопроводы из пластмасс. — М.: Химия, 1969.
6. Отставнов А.А., Устюгов В.А. Об использовании труб из термопластов во внутренних водостоках зданий московского района // Сантехника, № 1/2005.
7. Ведомственные строительные нормы по монтажу систем внутренней канализации и водостоков из ПВХтруб в жилых и общественных зданий. ВСН
8. Бухин В.Е. Полипропиленовые напорные трубопроводы в инженерных системах зданий. Техническая библиотека АВОК. — М.: АВОКПресс, 2010.