
Приведены результаты исследований по разработке базовых критериев и основных методических подходов к расчету и проектированию восстановительных работ по реконструкции инженерных сетей полимерным рукавом.
Старение и значительный износ трубопроводов сетей водоснабжения и водоотведения городов России требуют эффективных мер по их оперативной реконструкции и модернизации [1]. В последние десятилетия в сфере строи-тельства, ремонта и реконструкции городских коммунальных трубопроводов активизировалось новое направление, получившее название бестраншейной технологии строительства (прокладки) новых и восстановления (реконструкции) старых (ветхих) трубопроводов. Применение методов бестраншейного ремонта и реконструкции трубопроводов городских водопроводных и канализационных сетей (санация труб) является особенно актуальным для Москвы — крупнейшего города-мегаполиса с высокой плотностью застройки, развитой инфраструктурой, интенсивными транспортными потоками, а также высокой скученностью трубопроводных коммуникаций в подземном пространстве.
Согласно передовому зарубежному опыту, одним из наиболее перспективных методов восстановления напорных и самотечных трубопроводов является нанесение на их внутреннюю поверхность гибких полимерных защитных покрытий (рукавов), которые после отверждения (полимеризации) позволяют значительно продлить срок службы трубопровода и обеспечивают требуемую несущую способность на установленный период эксплуатации. Выбор того или иного защитного покрытия должен обосновываться по результатам технической диагностики подлежащих восстановлению участков трубопроводов и за ключения технической экспертизы по состоянию объекта реконструкции [2].
В каждом конкретном случае рассмотрению подлежат материал изготовления трубопровода и степень его износа, определяемая по остаточной толщине стенки, протяженность ремонтного участка, его диаметр, вид транспортируемой среды, окружающая наземная и подземная инфраструктура, тип грунтов, наличие подземных вод и ряд других факторов. Следует отметить, что, несмотря на наличие определенного опыта и ряда полезных наработок по использованию полимерных рукавов для ремонта трубопроводов систем водоснабжения и водоотведения городов России, в настоящее время отсутствует унифицированная методика и нормативная документация по прочностному расчету трубопроводов для определения параметров реконструкции полимерным рукавом.
![]() |
Основу прочностного расчета полимерного рукава составляет оценка допустимых растягивающих напряжений в лотковой части трубы и предельных прогибов в своде при воздействии собственного веса трубы |
Материал и толщина стенки полимерного рукава часто подбирают интуитивно без детального рассмотрения и учета прочностных, эксплуатационных и дестабилизирующих надежность труб факторов (напоры, наполнения, глубины залегания, негативное воздействие окружающих грунтов и подземных вод и т.д.). С учетом этого, в МГСУ совместно с ОАО «МосводоканалНИИпроект» и ВГАСУ разработаны базовые критерии и основные методические подходы к расчету и проектированию восстановительных работ по реконструкции инженерных сетей полимерным рукавом.
Основу прочностного расчета полимерного рукава, работающего как одно целое с ремонтным участком старого трубопровода независимо от материала его изготовления, составляет оценка допустимых растягивающих напряжений в лотковой части трубы и предельных прогибов в своде при воздействии собственного веса трубы, напряжений от внутреннего наполнителя. Необходимо отметить, что прочностной расчет двухслойных конструкций весьма трудоемок, т.к. оценка несущей способности зависит от множества обстоятельств, связанных не только с прочностными показате¬лями полимерного рукава и конкретного состояния трубопровода, но и с учетом ряда внешних дестабилизирующих факторов (глубины залегания трубы, уровня грунтовых вод, наличия транспортной нагрузки и т.д.).
![]() |
....... |
Программа позволяет специалистам |
Все это требует создания специальных программ для ЭВМ. Такая программа «Рукав» разработана на кафедре во-доснабжения МГСУ и нашла применение в МГУП «Мосводоканал».
Ниже в качестве примера приведен алгоритм прочностного расчета двухслойной конструкции «чугун + полимерный рукав» (напорный режим) и примеры реализации программы «Рукав» по расчету данной конструкции для двух эксплуатационных состояний (ненару- шения и нарушения несущей способности трубопроводов).
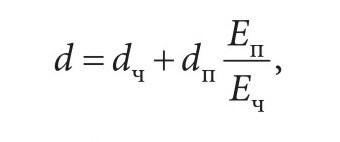
В первом эксплуатационном состоянии конструкция «чугун + полимерный рукав» деформируется, не разделяясь по слоям, имея расчетную толщину стенки d [м], приведенную к толщине стенки чугунной трубы dч [м], диаметром D [м], по формуле

где dп — толщина полимерного рукава, м; Еч — модуль деформации чугунной трубы, МПа; Еп — модуль деформации рукава, МПа.
Величины dп и Еп должны определяться из условия прочности чугунной трубы Кч [МПа], с приведенной толщиной стенки d по формуле:

где Р — внутреннее давление жидкости, МПа; р — нормировочный множитель [МПа], учитывающий нагрузки от горного давления и транспорта, передаваемые чугунной трубой на полимерный рукав, и определяемый по формуле:

где Н — глубина заложения трубопровода, м;
— безразмерный параметр напряженного состояния трубной конструкции, рассчитываемый по эмпирической формуле:

в зависимости от величины безразмерного параметра а, рассчитываемого по следующей формуле:

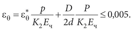
Во втором эксплуатационном состоянии конструкция «чугун + полимерный рукав» представляет изношенную чугунную трубу с уменьшенной по сравнению с первоначальной толщиной стенки Kd и с пониженными деформативной К2Еч и прочностной характеристиками К3В.ч, где К1, К2, К3 — коэффициенты износа трубы, меньшие единицы и определяемые по результатам диагностического обследования трубопровода. Величины dH и Еп определяются из условия проч¬ности с учетом «старения» трубопрово¬да: полимерный рукав проверяется из условия его деформативности в предпо¬ложении, что он, будучи плотно прижатым к чугунной трубе, испытывает деформации внутренней поверхности трубы £q, которые не должны превышать 0,005 (или 0,05 %), по формуле:

где — эмпирический безразмерный параметр, определяемый по формуле:

в зависимости от величины а, рассчитанной ранее по формуле (5).
С использованием программы по расчету двухслойных трубных конструкций «Рукав», проанализированы различные варианты исходного состояния чугун¬ного трубопровода и выявлены зависимости толщины полимерного рукава от глубины залегания трубопровода и горизонта подземных вод. Рассмотрим два из данных варианта.
Исходные данные для случая ненарушения несущей способности чугунного трубопровода: внутренний диаметр трубопровода D = 0,6 м; глубина залегания трубопровода H = 3,5 м; высота грунтовых вод над лотком трубы НТБ — 1 м; модуль упругости полимерного рукава Еп = 100 000 т/м2; проектная толщина стенки полимерного рукава dH = 0,001 м; внутреннее давление Р = 20 т/м2 (или м водн. ст.).
Для случая нарушения несущей способности к исходным данным добавляется информация о следующих коэффициентах снижения, например: первоначальной толщины стенки трубы К1 — 0,6; степени деформации трубы К2 — 0,6; прочности трубы К3 — 0,6.
Результаты прочностных расчетов двухслойной конструкции «чугун + полимерный рукав» для этих вариантов приведены ниже.
Пример 1
Материал труб — чугун. Напорный режим, несущая способность не нарушена. Исходные данные: внутренний диаметр трубопровода — 0,6 м; глубина залегания трубопровода — 3,5 м; высота грун¬товых вод над лотком трубы — 1,0 м; модуль упругости полимерного рукава — 100 000 т/м2; проектная толщина стенки полимерного рукава — 0,001 м; внутреннее давление — 20 т/м2; модуль упругости материала трубы — 10 000 000 т/м2; проектная толщина стенки трубы — 0, 0158 м; предел прочности материала трубы — 26 тыс. т/м2.
Вывод по расчету: надежность конструкции обеспечена!
Пример 2
Материал труб — чугун. Напорный режим, несущая способность нарушена. Исходные данные: внутренний диаметр трубопровода — 0,6 м; глубина залегания трубопровода — 3,5 м; высота грунтовых вод над лотком трубы — 1,0 м; модуль упругости полимерного рукава — 100 тыс. т/м2; проектная толщина стенки полимерного рукава — 0,001 м; внутреннее давление — 20 т/м2; модуль упругости материала трубы — 7,5 млн т/м2; проектная толщина стенки трубы — 0, 01185 м; предел прочности материала трубы — 19,5 тыс. т/м2; коэффициент снижения первоначальной толщины стенки трубы — 0,6; коэффициент снижения степени деформации трубы — 0, 6; коэффициент снижения прочности трубы — 0,6.
Вывод по расчету: надежность конструкции не обеспечена! Необходимо увеличить толщину стенки полимерно¬го рукава: требуемая толщина стенки полимерного рукава не менее 14 мм.
Проводя анализ и интерпретацию полученных расчетных данных, следует отметить, что в первом случае для обеспечения несущей способности конструкции «чугун + полимерный рукав» толщина полимерного рукава dH при модуле упругости Еп = 100 тыс. т/м2 составляет минимальную величину 1 мм, а при нарушении несущей способности при том же модуле упругости она возрастает в 14 раз.
Если в варианте нарушения несущей способности принять модуль упругости полимерного рукава 200 000 т/м2 (т.е. в два раза больше), то требуемая толщина рукава уменьшится до 7 мм, а при 400 000 т/м2 она составит 4 мм. При этом изменение диапазона грунтовых вод не отражается на параметрах рукава. С помощью автоматизированной программы отслеживались диапазоны изменения параметров рукава при увеличении глубины залегания Н, но с постоянным модуле упругости Еп = 400 000 т/м2 и была установлена зависимость dH = f(H), dH = 0,0582H + 3,2849 при неизменном модуле упругости.

Выводы
1. Использование автоматизированной программы прочностного расчета двухслойных конструкций «материал трубопровода + полимерный рукав» предоставляет возможность широкого перебора параметров полимерного рукава с выявлением закономерностей при изменении исходной информации, а также выбора наиболее приемлемого с технической и экономической точек зрения варианта с установленным проектом диапазоном прочностных характеристик.
2. Программа позволяет специалистам делать заключение о возможности применения метода бестраншейного ремонта «полимерный рукав» для конкретного объекта с учетом местных условий и состояния трубопровода, а также предъявлять подрядным организациям требования, выполнение которых позволит обеспечить надлежащее качество выполняемых работ и надежность восстанавливаемых участков трубопровода.
1. Храменков С.В., Орлов В.А., Харькин В.А. Оптимизация восстановления водоотводящих сетей. — М.: Стройиздат, 2002.
2. Орлов В.А., Харькин В.А. Стратегия и методы восстановления подземных трубопроводов. — М.: Стройиздат, 2001.

