Проектирование внутренних систем водоснабжения и водоотведения (ВСВВ) зданий представляет собой задачу, от точности решения которой зависят не только бесперебойное обеспечение потребителей водой и отвод сточных вод, но и эффективность использования энергетических и трудовых затрат по их эксплуатации. Ключевым этапом проектирования ВСВВ является их гидравлический расчёт, целью которого является определение расчётных расходов подачи и отвода воды. Поскольку процесс водопотребления носит стохастический характер, все современные методы расчёта ВСВВ в той или иной степени опираются на аппарат теории вероятностей и математической статистики.

Современные методы расчёта ВСВВ в нашей стране и за рубежом начали формироваться с 1930-х годов и развивались параллельно, демонстрируя в первые десятилетия значительное сходство [1–5], однако с конца XX века наметилась существенная дивергенция. Отечественная нормативная база (СНиП, а затем СП) подверглась ряду изменений, которые, как показывает анализ, не всегда имели строгое теоретическое обоснование и привели к появлению внутренних противоречий [6]. До сих пор балансы расходов воды для наружных и внутренних систем водоснабжения и водоотведения, которые оцениваются с учётом нормативных требований [7, 8], различаются в два раза и более, присутствуют неточности оценки случайных событий, характеризующих режимы потребления и бесперебойности подачи воды на объектах.

В настоящее время максимальный секундный расход воды на расчётном участке сети объекта, согласно требованиям [7], оценивается по формуле:

q = 5qoα, (1)

где qo(qotot, qoh, qoc) — секундный расход воды (общий, горячей, холодной), л/с; α — коэффициент, определяемый в зависимости от общего числа приборов N на расчётном участке сети и вероятности их действия P(Ptot, Ph, Pc) на участке сети.

Вероятности событий действия санитарно-технических приборов на отдельных участках сети оцениваются по перечисленным ниже формулам.

1. Для случая, когда условия отбора воды одинаковые, без учёта изменения соотношения U/N:

2. Для случая, когда на объектах различного назначения условия отбора воды не одинаковы:

3. Для случая, когда приборы не одинаковые и условия отбора воды на конкретном объекте различаются:

Здесь Pi — вероятность действия санитарно-технических приборов для i-й группы потребителей; Ni — число санитарно-технических приборов i-й группы; qoitot — расход воды общий (холодной, горячей) поступающий из санитарно-технического прибора для i-й группы, л/с; i — количество групп потребителей; U — число потребителей воды; qhr,u — норма расхода воды в час наибольшего потребления, л/ч.

Из анализа формул (1)-(4) следует, что в формуле (2) при оценке расхода воды qo учитывается вероятность действия приборов, а вероятность присутствия потребителей Ui на объекте не принимается во внимание. В час максимального хозяйственного водопотребления в одной квартире может находиться один человек, а проживать шесть.

Потребитель может одновременно включить несколько приборов: посудомоечную машину, смеситель для наполнения ванны, смеситель раковины и т. д. Возможны и противоположные события, когда все жители работают в ночную смену, а днём отдыхают, при этом санитарные приборы не используются. Подобных случаев множество, предугадать сложно, но математически отражать при описании процесса водопотребления на объекте необходимо.

Событие включения санитарного прибора А условно зависит от события В присутствия человека (потребителя) на объекте (квартире, здании, клубе, театре, больнице и т. д.). Вероятность события А, вычисленная при условии, что имело место событие В, называется «условной вероятностью события А» и обозначается P(A|B). Условие независимости события А от события В можно записать [10] в виде P(A|B) = P(A). В итоге можно установить, что события А и В могут быть как зависимыми, так и независимыми; произведение вероятностей этих событий (включение крана А и присутствия человека на объекте В) имеет вид

P(AB) = P(A)P(A|B).

Закономерность или устойчивость проявления случайного события А оценивается методами математической статистики с использованием законов распределения случайных величин [11], которые подразделяют на дискретные и непрерывные. Непрерывные случайные величины, в отличие от дискретных величин, могут принимать любые значения в границах известного интервала. Событие, связанное с включением или отключением санитарного прибора, относится к дискретным случайным величинам, а расход воды потребителем или санитарным прибором — к непрерывным. Методы оценки рассматриваемых событий принципиально различаются. Например, распределение дискретных величин подчиняется биноминальному, гипергеометрическому закону, закону Пуассона, а непрерывные величины — нормальному, равномерному, χ2-распределению и т. д.

Для каждого однородного потока случайных событий используются определённые формулы оценки, в том числе и вероятности исследуемого события. Однородность потока событий включения санитарных приборов соблюдается, если приборы одинаковые или приведены к единому эквиваленту. Данное правило выполнялось инженерами всех стран при оценках расходов воды на объектах. Исключение различий между приборами при оценке расходов воды на участках сети может приводить к небольшим ошибкам, но с инженерной точки зрения — формирует пренебрежение к постулатам в науке, в частности, в водоснабжении. В формулах (2)-(4) приводятся параметры случайных событий i-й группы потребителей, явно неоднородных и разных по виду (дискретные и непрерывные). Потребителями питьевой воды являются люди, которые могут находиться в жилом доме, на заводе, в театре, а потому не подразделяться по группам, росту, культуре. Меняются условия их пребывания на объектах.

На этапе формирования методов гидравлического расчёта систем ВСВВ отмеченные выше условия оценки параметров отбора воды на участках сетей принимали во внимание и отражали в виде функциональных зависимостей или табличных справочных показателей [1, 4, 5, 11, 12].

Например, расчётный расход qmax определялся в зависимости от коэффициента секундной неравномерности, числа приборов и расхода воды [4]:

где Kc = 30/КОРЕНЬ(S) — коэффициент секундной неравномерности; S — суточный расход воды в здании, м³.

Процент одновременного действия приборов для производственных, научно-исследовательских и общественных зданий приводился в таблицах, а для потребителей жилых зданий расход воды q принимался по формуле:

где N — число приборов, приведённое к общему эквиваленту; α — показатель степени, зависящий от нормы водопотребления на одного человека в сутки (приводится в таблицах и номограммах [1, 4, 5]); 0,2 — расход прибора с эквивалентом 1,0 (водоразборный кран у раковины), л/с; k — коэффициент, принимаемый в зависимости от количества эквивалентных единиц приборов N.

В США для определения расчётных расходов принимаются следующие допущения:

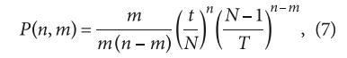
  • вероятность одновременного действия количества m санитарных приборов из числа n, установленных на расчётном участке, вычисляется на основании биноминального закона распределения случайных величин по формуле:

где t — продолжительность работы водоразборной арматуры; T — продолжительность пользования санитарным прибором;

  • вероятность нарушения расчётного режима принимается 0,01, то есть в течение максимального водоразбора вероятность включения в работу m + 1 водоразборных точек не превышает F ≤ 0,01, где F = 1 — P.

Учитывая, что внутренний водопровод объединяет санитарные приборы различного назначения, вводится понятие «веса» того или иного санитарного прибора в системе (эквивалента санитарно-технического оборудования).

Для вычисления расчётных расходов на участках сети пользуются эмпирической формулой:

q = 1,5N0,561, (8)

где q — расчётный расход, q = 3,79 л/мин. = 0,063 л/с; N — количество санитарных приборов, выраженных в эквивалентах.

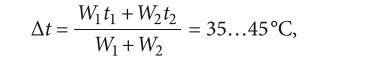
За эквивалентный расход принимается подача воды смывным краном унитаза. Соотношение по расходам горячей и холодной воды принимается равным 0,25/0,75 = 0,33 (для сравнения, по условиям [7] имеет место qoc/qoh = 0,5/0,5 = 1); поток холодной и горячей воды qoc = qoh = 0,2 л/с с температурой:

где W1 и W2 — расходы воды, л/с; t1 = +5…+15°C и t2 = +65…+75°C.

Расход q общего количества приборов, выраженный в эквивалентах, умножается на снижающий коэффициент, который отображает одновременность отбора холодной и горячей воды. По мнению американских инженеров [2, 3], рекомендованный метод определения расчётных расходов в большей мере отвечает требованиям эксплуатации систем водоснабжения в общественных зданиях. Расчётные расходы воды в жилых зданиях, оснащённых большим количеством санитарно-технического оборудования, получаются завышенными, поэтому их корректируют. Рекомендуется оценивать потери напора до «центра тяжести нагрузки стояка», затем выполнять поверочный расчёт, выявляющий достаточность напора (без учёта потерь в трубопроводах) для подачи воды в главную точку. То обстоятельство, что в расчётах энергетических параметров систем ВСВВ применяются понятия «центра тяжести» и понижающих коэффициентов, позволяет признать изложенную методику незавершённой.

Во Франции и Италии расчёт и проектирование внутренних водопроводов выполняется более упрощённо. Основные расчётные параметры, характеризующие гидравлический режим работы санитарно-технических приборов, приводятся в таблицах нормативных документов. Расчётный расход воды на участке сети вычисляется по формуле:

где qр — расчётный расход, л/с; qi — нормативный расход воды санитарным прибором конкретного типа, л/с; ni — количество санитарно-технических приборов одного наименования; k — коэффициент одновременного действия санитарных приборов на расчётном участке, принимаемый в зависимости от n.

Для вычисления коэффициента одновременности действия санитарных приборов используется следующая эмпирическая формула:

либо графики зависимости k = f(n), построенные с учётом упомянутой формулы, для зданий с различным уровнем благоустройства.

В обширной англоязычной технической литературе по проектированию внутренних систем водоснабжения представлено множество разнообразных методов, которые описываются в деталях [2] и могут использоваться для уточнения методов проектирования ВСВВ. Подход к расчёту коэффициента синхронности работы водоразборных устройств подобен методам, которые применяются не только в зарубежных странах, но и в РФ. Тем не менее, вычисление вероятности действия санитарных приборов с использованием закона биномиального распределения случайных событий требует значительных усилий, что ограничивает эффективность подобных расчётов в практической работе.

В соответствии с официально утверждёнными нормативными документами, а также в учебных и справочных материалах, которые широко используются в профессиональной практике, представлены специально разработанные таблицы, предназначенные для точного расчёта пропускной способности внутренних водопроводных систем, применяемых для подачи как холодной, так и горячей воды в различные здания. Однако в процессе проведения более детального анализа и оценки потребностей в водоснабжении, многие специалисты отдают предпочтение более точным и детализированным методикам расчёта. Такие методы предполагают не только использование стандартных таблиц, но и проведение комплексного расчёта общей нормированной потребности воды, которая включает в себя учёт потребностей всех водоразборных точек, которые находятся на определённом расчётном участке. Это позволяет добиться максимальной точности в определении необходимых параметров пропускной способности системы, что, в свою очередь, обеспечивает оптимальное функционирование и большую экономию водных ресурсов. Кроме того, в процессе анализа расчётного потребления воды в системе внутреннего водоснабжения применяются различные графические методы и инструменты, которые усиливают возможности специалистов и позволяют достичь более высокого уровня точности в расчётах и проектировании инженерных систем.

Когда использование таблиц или графиков не является удобным, предлагается использовать эмпирическую формулу:

q = 1,5КОРЕНЬ(Q), (11)

где q — расчётный расход, q = 0,3048 м³/мин. = 5 л/с; Q — общий расход воды при одновременной работе всех санитарных приборов, л/с.

Очевидно, что случайные события должны оцениваться методами, которые подробно изложены в литературе по теории вероятностей. В 1930-е годы отечественные инженеры имели квалификацию не ниже современного уровня, но прошедший с тех лет период времени повлиял на завершение начатых работ. В справедливости рекомендаций по проектированию ВСВВ авторов работ [4, 5] можно убедиться, если выполнить даже элементарные замеры расходов воды, которые наблюдаются (табл. 1, 2) при отборе воды в квартире из смесителя для умывальника.

Согласно требованиям п. 5.2.2.1 свода правил [7], общий расход воды (холодной и горячей), отбираемый из системы с помощью санитарно-технического прибора, по которому отсутствуют сведения, допускается принимать величиной qotot = 0,3 л/с (общий расход горячей и холодной воды). По данным выполненных замеров, с учётом минимального образования брызг и экономии воды, достаточно струи диаметром d = 7 мм, то есть qoΣ = 0,059 ≈ 0,06 л/с, что в пять раз меньше общего нормируемого расхода вода (qotot/qoΣ = 0,3/0,06 = 5). В настоящее время системы ВСВВ оборудованы арматурой со смесителями, поэтому можно допустить, что параметр qoΣ = 0,06–0,07 л/с, поскольку вероятность среднего значения расхода воды у потребителя имеет наибольшее значение, по мнению специалистов многих стран [1–4].

Анализируя рассмотренные выше методы расчёта расходов воды в зданиях, целесообразно остановиться на следующих теоретических положениях, которые лежат в основе проектирования систем водоснабжения.

Во-первых, любой внутренний водопровод здания является элементом системы водоснабжения конкретного объекта (города, населённого пункта, промышленного предприятия и т. д.). Если формируется теория расчёта расходов воды, то она должна быть единой, как для системы, так и для её элемента. Требования, которые регламентируют правила оценки расходов воды для них, должны быть взаимосвязаны, а не противоречить друг другу. В настоящее время в действующих нормативных документах [7–9] подобные противоречия существуют.

Требованиями п. 5.2 свода правил [8] регламентируется, что расчётный расход воды на хозяйственно-питьевые нужды в населённом пункте надлежит определять в сутки наибольшего и наименьшего водопотребления; расчётные часовые расходы воды — в часы максимального и минимального потребления воды. В п. 5.1 свода правил [7] указывается, что: «системы водоснабжения и водоотведения зданий должны обеспечивать пропуск воды и отведение стоков с расходами, соответствующими расчётному числу водопотребителей или числу установленных санитарно-технических приборов»; в п. 5.3 свода правил [7] указано, что «максимальный расчётный расход на расчётном участке сети q(qtot, qh, qc), л/с, следует определять по формуле…».

Спрашивается: где системы, балансы воды, кто потребитель (люди или приборы), где логика? Внутренние системы ВСВВ являются элементами наружных систем водоснабжения и водоотведения. Расчётные расходы элементов Σqi должны балансироваться с расчётными расходами системы (водоснабжения или водоотведения) Q = Σqi, где i — количество элементов в системе. Нелогично назначать, согласно п. 5.2 свода правил [7], одинаковые расходы горячей и холодной воды для одной точки водоразбора qh = qc = 0,2 л/с. Если в смеситель данной точки водоразбора подаётся равное количество горячей и холодной воды, то qtot = (0,2 + 0,2) ≠ 0,3 л/с.

Целесообразно обратиться к методикам расчёта расходов воды, которые ранее использовались в нашей стране [4, 5] и за рубежом [2, 3], но с частичной доработкой. В первую очередь необходимо исследовать вероятности действия санитарно-технических приборов на объектах. Частным лицам с подобной работой не справиться. Сбор статистических данных о расходах воды в квартирах, лабораторных, научных помещениях или каких-либо других объектов населённых пунктов и промышленных предприятий без правительственной поддержки выполнить достоверно невозможно.

Выводы

1. Существующие отечественные методы расчёта внутренних систем ВСВВ требуют пересмотра в связи с наличием противоречий по балансированию расходов и отводу воды наружными и внутренними системами.

2. Для реализации изменений необходима координированная работа профильных технических комитетов по стандартизации, научно-исследовательских институтов и образовательных учреждений по организации масштабного сбора статистических данных о фактических режимах водопотребления.

3. На основе натурных замеров необходимо оценить и снизить значения расчётных расходов воды для современных санитарно-технических приборов, что позволит увязать нормируемые параметры суточных и часовых расходов воды на хозяйственно-питьевые нужды потребителями объектов жилой местности и обеспечить экономию пресной воды.