Тепловая схема вентустановки
Воздух, забираемый с улицы с температурой −27…+40°C, попадает в вентиляционную установку (рис. 1), находящуюся, как правило, на последнем этаже здания [1–3].
Рис. 1. Принципиальная схема вентиляционной установки
С целью предотвращения негативных последствий воздух, попадая в установку, проходит фильтры, в которых очищается от внешних загрязнений (пыль, песок, пыльца, пух).
После фильтров воздух проходит через электрический воздухонагреватель первой ступени. Воздушный поток контактирует с нагретыми элементами и поглощает тепловую энергию. Датчики температуры отслеживают температуру воздуха до и после нагревателя и передают информацию в автоматизированную систему управления приточной вентиляционной установкой (АСУ ПВУ). При достижении заданного значения температуры обрабатываемого воздуха нагрев уменьшается или отключается.
Пройдя центробежный вентилятор воздух попадает в подогреватель второй ступени — калорифер, теплообменное устройство типа «вода — воздух». Для предотвращения обмерзания теплообменного аппарата используется автоматический контроль температуры приточного воздуха после фильтра. Регулировка температуры воздуха после калорифера выполняется посредством изменения расхода теплоносителя из сети теплоснабжения на калорифер в зависимости от сигналов датчиков измерения температуры воздуха. Следующая секция увлажнения требует применения двух датчиков влажности — до и после секции, регулирование увлажнённости воздуха происходит за счёт изменения расхода воды в увлажнителе. Последний этап подготовки воздуха — снижение уровня шума с учётом восприятия звуком человека. Мониторинг производится за счёт установки шумомеров на выходе после глушителя.
Приборы измерения для АСУ ПВУ
В воздушном тракте на обратном и подающем трубопроводах системы теплоснабжения и ГВС устанавливаются датчики температуры. Это могут быть термометры сопротивления, принцип действия которых основан на изменении электрического сопротивления медного чувствительного элемента (50М) в зависимости от измеряемой температуры. Сопротивление чувствительного элемента линейно возрастает при увеличении температуры, что фиксируется измерительной системой и преобразуется в аналоговый сигнал (4–20 мА).
Очевидными преимуществами датчика для нашей схемы является его температурный диапазон −50…+200°C, класс допуска B обеспечивает высокую точность измерения (отклонение ±0,3°C). Стоит отметить, что в схеме используется датчик с трёхпроводной схемой подключения, что увеличивает точность измерения температуры. Альтернативным вариантом являются термоэлектрические термометры, принцип действия которых основан на возникновении термоэлектродвижущей силы в замкнутой системе, состоящей из двух проводников с разными термоэлектрическими свойствами. Преимущества: экономичность (дешевле термометров сопротивления) и быстрый отклик на изменения температуры. Недостатки: низкая точность (погрешность ±2°C в системе ГВС может привести к нарушению нормативных значений нагрева горячей воды, например, +58°C вместо +60°C, отсюда возникает риск развития бактерий); низкая стабильность показаний, требующая дополнительных проверок датчика. В рассматриваемой системе отсутствуют резкие скачки температур. Выбраны термометры сопротивления.
Мониторинг давления в трубопроводах выполняется преобразователем давления. Датчик представляет собой преобразователь избыточного давления с керамической измерительной мембраной и сенсором типа «тензодатчик-на-керамике» (ТНК) с выходным сигналом 4–20 мА. Преимущества: класс точности 1,0, низкая стоимость и долговечность. Альтернативным вариантом измерения давления является датчик с ёмкостным сенсором, который работает по принципу изменения ёмкости при деформации мембраны. При подаче давления на сенсор мембрана деформируется, и ёмкость между обкладками изменяется. Данный вариант обеспечивает более точные измерения (до 0,1% от диапазона измерений), однако датчик имеет более сложную конструкцию и, соответственно, бóльшую стоимость по сравнению с преобразователями давления тензорезистивного типа.
Для измерения значения влажности используется датчик влажности с выносным зондом ПВт100-H5.2. И. 2 производства «ОВЕН» [4]. Прибор состоит из электронного блока и измерительного зонда. Зонд состоит из защитного цилиндрического корпуса и чувствительного элемента (однокристального цифрового сенсора относительной влажности). Прибор масштабирует измеренные значения влажности и температуры, преобразовывая их в унифицированный аналоговый сигнал 4–20 мА. Преимущество: высокая точность измерения ±3% от измеренного значения относительной влажности. Помимо ручных психрометров, альтернативой для ёмкостного датчика служат резистивные датчики. Такие датчики состоят из двух электродов, которые расположены на подложке из полимерных компонентов, а сверху покрыты слоем оксида алюминия. Рост уровня влажности изменяет её параметры электрического сопротивления, в результате напряжение пропущенного через электроды тока также меняется. Преимущество: дешевизна, недостаток: низкая точность.
Мониторинг электрических параметров на электронагревателе осуществляется амперметром ИТС-Ф1. Щ и вольтметром ИНС-Ф1.2. Щ3. Для измерения скорости воздуха приняты вихревые накладные канальные датчики скорости потока.
Измерение расхода воздуха выполняется ультразвуковым расходомером [5]. Необходимость использования данного расходомера обусловлена большим номинальным расходом воздуха 11700 м³/ч на объекте. Преимущества: выходной сигнал 4–20 мА; устойчивость к загрязнениям, чувствительные элементы не забиваются пылью; высокая надёжность. Также могут быть использованы термоанемометры, трубки Пито с дифференциальными датчиками (для больших сечений); ультразвуковые датчики (в условиях высокой запылённости). Альтернативным вариантом является крыльчатый (тахометрический) расходомер. Преимущество: дешевизна. Недостатки: механический износ, необходимость частых калибровок, создают дополнительное сопротивление в воздуховоде.
Для контроля уровня шума в систему устанавливается датчик шума ICB300–06 производства компании «АйСиБиКом» [6], в котором ёмкостный микрофон преобразует звуковые волны в электрический сигнал (звуковое давление колеблет мембрану, расстояние между обкладками конденсатора меняется, ёмкость изменяется). Результаты передаются через интерфейс RS-485 (Modbus) на контроллер АСУ ПВУ.
Таким образом, к применению приняты датчики температуры ДТС035–50М. В3.80, давления ПД100-ДИ1.0–371–1.0, влажности ПВт100-H5.2. И. 2, амперметра ИТС-Ф1. Щ, вольтметра ИНС-Ф1.2. Щ3, мультиметра ИМС-Ф1, а также ультразвукового расходомера «Взлёт РГ» и датчика шума ICB300–06. Это позволяет автоматизировать управление системой, обеспечивая точное и непрерывное измерение необходимых параметров.
Пути устранения недостатков АСУ
Отметим некоторые проблемы эксплуатации автоматизированных систем управления:
1. Информация, поступающая от полевого уровня АСУ, может быть неполной или недостоверной [7].
2. Невозможность предусмотреть все сценарии работы АСУ.
3. Входящая в состав MES-системы автоматизированная система оперативно-диспетчерского управления энергоресурсами (АСОДУЭ) может работать неэффективно по критериям экономичности и минимума эксплуатационных затрат.
4. Часто на объекте установлено несколько АСУ для разных подсистем, программное обеспечение которых несовместимо.
5. ERP-система требует длительной настройки пространства кодов системы с привязкой к определённой технологии, что требует высокооплачиваемых специалистов, долго и дорого [8].
Нивелировать некоторые из перечисленных проблем возможно с применением ряда мероприятий по:
- стандартизации процедур сбора данных — необходимо определить данные, необходимые для сбора, периодичность сбора данных, точность, синхронность сбора данных;
- внедрению систем мониторинга и оценки качества данных с использованием прецедентов и проверки по аномалиям;
- использованию систем для верификации и анализа информации для выявления закономерностей и трендов с последующей разработкой краткои среднесрочных сценариев объёмов теплопотребления приточной вентиляционной установкой и выбора наиболее энергоэффективного алгоритма функционирования.
К некоторым способам достижения поставленной цели могут относиться: формирование на объекте гибридной системы LIMS + Edds + Compufdig; внедрение цифровых фильтров и автоматической валидации для отсева заведомо ложных значений (например, выход за диапазон); прогнозирование недостающих данных; установка резервных и контрольных датчиков с последующим сравнением данных с нескольких датчиков (кросс-валидация); автоматический опрос данных при пропуске; динамическая приоритезация (передача только значимых измерений); использование цифрового двойника здания в части модели его теплового баланса.
Расчёт одноконтурной автоматической системы регулирования температуры воздуха с ПИ-регулятором
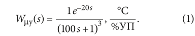
Система регулирования температуры воздуха на выходе из калорифера представляет собой один из базовых элементов в системах подготовки воздуха. Рассмотрим эксплуатацию АСУ ПУВ стандартной комплектации системы в составе с цифровым контроллером. Система автоматического регулирования (АСР) — одноконтурная система с ПИ-регулятором. Одноконтурная система состоит из объекта регулирования (температура воздуха), ПИ-регулятора и отрицательной обратной связи. Передаточная функция сформирована на основании расчётных данных по объекту:

Рис. 2. Годограф КЧХ объекта управления
Отклик системы при изменении частоты входного сигнала приведён на годографе коэффициент частотной характеристики (КЧХ) объекта управления (рис. 2). Переходные процессы в системах с цифровым и аналоговым регуляторами при изменении задания в программе SimInTech приведены на рис. 3. Проведённый анализ современного состояния систем регулирования температуры воздуха в тепломассообменном оборудовании показал, что наиболее эффективными являются системы с качественным и количественно-качественным регулированием.
Рис. 3. Переходные процессы в системах с цифровым и аналоговым регуляторами при изменении задания в программе SimInTech
Заключение
Построена математическая модель объекта в виде передаточной функции с учётом запаздывания. Рассчитана одноконтурная автоматизированная система регулирования температуры воздуха с ПИ-регулятором, найдены параметры регулятора так, чтобы частотный показатель количества колебаний не превышал заданного значения, а именно M = 1,55: kp = 0,622%УП/%УС; ki = 0,012. Методом подбора определен оптимальный интервал квантования T = 7 с.
Построены переходные процессы, по которым можно сделать вывод: теорема Котельникова — Шеннона выполняется, система с цифровым регулятором ведёт себя подобно системе с аналоговым регулятором. Данная система обладает достаточной устойчивостью и может быть рекомендована к практическому применению в системах вентиляции.