Системы отопления, вентиляции и кондиционирования (ОВиК) занимают значительную долю в общей структуре энергопотребления здания. Для определения годовых расходов энергоресурсов существуют специальные методики, а также разрабатываются новые подходы к их определению с учётом современных требований [1]. Зачастую именно с систем ОВиК начинают оптимизировать энергопотребление здания. Комплексная оптимизация систем промышленной вентиляции (СПВ) — сложная научно-техническая проблема [2, 3]. В данной работе рассмотрена возможность оптимизации воздухообмена в СПВ только для схемы, изображённой на рис. 1.

Допущения, принятые для расчётной схемы СПВ (рис. 1), учитываемые при составлении и решении системы уравнений, следующие:

  • минимальный расход приточного (наружного) воздуха больше, чем необходимый для ассимиляции теплои влагоизбытков и по санитарной норме;
  • процесс выделения и распространения вредности стационарный;
  • помещение с незначительными избытками явной теплоты;
  • онцентрация вредного вещества в приточном (наружном) воздухе много меньше предельно допустимой (сн << ПДК);
  • коэффициент воздухообмена KL = 1 (например, подача воздуха осуществляется сосредоточенно, выше рабочей зоны с использованием направляющих сопел при любой кратности воздухообмена либо при любой схеме организации воздухообмена при кратности 15 и более [4, 5]);
  • все источники одноимённой вредности (Gвр. 1 = Gвр. 2 = … = Gвр.n) оборудованы местным вытяжным устройством (МВУ) одинакового типа с одинаковой характеристикой kул (a1 = a2 = … = an и n1 = n2 = … = nn), подробнее см. [6].

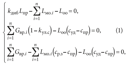
Система балансов расходов воздуха и потоков вредностей для данного случая:

где Lпр — расход приточного воздуха, м³/с; Lмо — расход МВУ, м³/с; Lоо — расход общеобменной вытяжки, м³/с; kдиб > 1 — коэффициент дисбаланса при выделении в производственном помещении вредных веществ, учитывающий превышение вытяжки над притоком; Gвр — расход вредного вещества, выделяющегося от источника, оборудованного местным вытяжным устройством, мг/с; суд — концентрация вредного вещества в воздухе, удаляемом общеобменной вытяжной системой, мг/м³.

Общая теоретическая экспоненциально-степенная зависимость коэффициента улавливания вредности МВУ была предложена в работе [6] для описания многочисленных опытных данных:

kул = 1 — exp[-(avмо)n] = f(vмо, Fмо, …) = 0…1, (2)

где а [с/м] и n — соответственно, множитель и показатель степени, согласующие экспериментальные данные испытаний с гипотетической экспоненциально-степенной зависимостью (2) и обеспечивающие выражение в круглых скобках безразмерным; vмо — скорость всасывания в рабочем сечении МВУ, м/с; Fмо — площадь рабочего сечения МВУ, м².

Выберем три основных типа МВУ: бортовой отсос 1, вытяжной зонт 2 и подъёмно-поворотное устройство 3 (рис. 2а). Для них определим зависимость общего расхода удаляемого из цеха воздуха при различных значениях aivмо.i и ni в формуле (2). Расход приточного воздуха с учётом принятых допущений, необходимый для разбавления вредных веществ, не уловленных МВУ при cр.з = ПДК:

Концентрация вредных веществ в уходящем воздухе МВУ:

Вытяжные устройства выбраны для условия равных расходов удаляемого воздуха vмо1Fмо1 = vмо2Fмо2 = vмо3Fмо3 = 0,2 м³/с при равном коэффициенте улавливания вредности МВУ kул = 0,6, при скоростях vмо1 = 5 м/с, vмо2 = 0,25 м/с и vмо3 = 2,5 м/с показатели степени n1 = 1,2, n2 = 1,5 и n3 = 2,0, соответственно.

Из зависимости для коэффициента улавливания (2) найдём коэффициенты a1 = 0,186, a2 = 3,77 и a3 = 0,383. Изменяя скорость всасывания, вычисляем kул каждого МВУ и расход приточного воздуха для него, после чего наносим их на график (рис. 2б). Коэффициент улавливания, соответствующий случаю Lпр = Lмо [2], для трёх МВУ имеет разное, хотя и близкое значение kул.опт ≈ 0,75 в условиях данного примера и может быть однозначно определён по методике, приведённой в [6].

Концентрация вредного вещества в уходящем от МВУ воздухе определена по зависимости (4), в которой принимают ср.з = ПДК.

Максимальная концентрация вредного вещества, которую возможно определять по методике, представленной в работе [7], то есть смо.max1 ≈ 0,43 мг/м³ (точка А), смо.max2 ≈ 0,4 мг/м³ (точка B) и смо.max3 ≈ 0,41 мг/м³ (точка C), достигается при коэффициентах улавливания вредности kул1 ≈ 0,3, kул2 ≈ 0,54 и kул3 ≈ 0,72, соответственно.

Выводы

При одинаковом воздухообмене выгоднее конструкция, у которой показатель степени n больше, так как в этом случае оба коэффициента эффективности kэф и улавливания kул будут больше, чем у других МВУ. Наименьший воздухообмен позволит обеспечить МВУ с бóльшим показателем степени n.