
Рис. 1. Схема звукоизолирующего покрытия на канализационной трубе
Современные частные малоэтажные дома, невозможно представить без систем вентиляции и кондиционирования воздуха, канализации и водостока и, конечно, без систем водоснабжения и отопления. Все эти системы являются неотъемлемыми частями единой системы жизнеобеспечения и комфортного пребывания человека. Вместе с тем, эти скрытые от глаз системы при работе могут негативно воздействовать на среду обитания и здоровье — излучать повышенный шум.
В настоящий момент в современном жилищном строительстве активно и динамично развивается кластер частного домостроения. В большинстве случаев в качестве заказчика и генерального подрядчика строительства выступает сам будущий владелец коттеджа, и все согласования по проекту ведутся именно с ним. В результате взаимодействия с различными проектными, монтажными и дизайнерскими организациями заказчик обрастает многочисленными строительными познаниями. Убеждённый, что попал в руки настоящих профессионалов, он доверчиво отправляется в рискованное предприятие по осуществлению мечты — обрести комфортный, энергоэффективный, уютный дом.
В тот момент, когда строительство уже закончилось, и интерьер уже сформирован, счастливый обладатель дома-мечты предвкушает насладиться покоем и тишиной, возникает проблема акустического дискомфорта, шума [1].
Причиной сложившейся ситуации может являться целый ряд факторов, вносящих свой вклад в общую звуковую картину. Это работа систем водоснабжения и отопления, вентиляции и климат-контроля, канализации и водостока, дымоходов каминов, лифтового оборудования и прочих элементов жизнеобеспечения здания. Основная причина проникновения в жилые помещения и распространения нежелательных звуков — это отсутствие или неправильный подбор вибродемпфирующих развязок, изолирующих элементы оборудования от ограждающих конструкций.


Основная причина проникновения в жилые помещения и распространения нежелательных звуков — это отсутствие или неправильный подбор вибродемпфирующих развязок
При работе оборудования — насосов, вентиляторов, компрессоров и т.п. шум и вибрации распространяются от оборудования по элементам крепежа или непосредственно на стены, потолок или пол, постепенно угасая. Чем более тяжёлая и многослойная конструкция встречается на пути его распространения, тем быстрее ослабнет передаваемый шум. Учитывая, что лёгкие быстровозводимые и удобные в монтаже ограждающие конструкции из вспененных силикатных материалов или же гипсокартонные перегородки применяются достаточно часто, а массивные стены из кирпича и перекрытия из бетона шириной 220 мм заказчик возводить не готов, во многих случаях проблемы шума неизбежны.
Кроме передаваемого по конструкциям структурного шума, не меньшее внимание должно быть уделено шуму аэродинамического происхождения, распространяющемуся по системам вентиляции.
В частном домостроении внесение изменений в проект по мере монтажа — не редкость. Также максимальное использование пространства при отсутствии возможности разнести на необходимое расстояние технические и жилые помещения, усложняют решение акустических задач. Особое место занимает вопрос выбора наружных стен, окон и дверей предназначенных оградить хозяев не только от холода, дождя и ветра, но и от проникновения шума извне.
В табл. 1 указаны допустимые уровни звукового давления (УЗД) с учётом поправки 5 дБ(А), установленной Строительными Нормами 2.2.4/2.1.8.562-96 для шума систем ОВиК и холодоснабжения.
Для достижения требуемого результата все задачи, связанные с инженерной акустикой, должны решаться на этапе проектирования [3]. Для проведения акустических расчётов следует руководствоваться основным регламентирующим документом СНиП 23-03-2003 «Защита от шума», а также рядом документов, таких как: Стандарт НИИСФ РААСН СТО 02495359-6.001-2011 «Расчёт и проектирование шумоглушения систем вентиляции, кондиционирования воздуха, холодоснабжения и воздушного отопления»; ГОСТ Р ИСО 15665-2007 «Проектирование звукоизоляции ограждающих конструкций жилых и общественных зданий» Свода Правил 23-103-2003; ГОСТ Р ЕН 12354-3-2012 «Методы расчёта акустических характеристик зданий по характеристикам их элементов».
Остаётся открытым вопрос о нормировании шума в помещении частного строения, в котором расположен бассейн. Рассматривать персональный бассейн в качестве спортивного сооружения, к которому применимы акустические нормы, вряд ли возможно. Но ставить его в один ряд с другими помещениями также нельзя. Помещение с бассейном обычно довольно шумное из-за обилия всевозможного технического оборудования, и лучше, что бы заказчик об этом знал заранее, идя на определённые жертвы акустического комфорта.
Стандартов, учитывающих шум в санузле от водосточного или канализационного оборудования, нет ни на территории РФ, ни за рубежом. С точки зрения акустических норм рассматриваются лишь жилые помещения. Но шум, спровоцированный данными системами, может оказаться существенным. При высоте строения три и более этажей шум от систем водоотведения, выполненных из полимерных материалов, при расходе более 3 л/с может доходить до 55 дБ(А), что сопоставимо с уровнем разговора трёх человек [2].
На вопросе расчёта звукоизоляции труб остановимся более подробно. Каким же образом происходит звукоизоляция при облицовке двуслойным покрытием, состоящим их звукопоглощающего и изолирующего слоя?
Звуковая энергия, распространяющаяся внутри трубы, проникает через её тонкую стенку в область звукопоглощающего слоя, где она, многократно отражаясь от изолирующего слоя, частично затухает. Другая её часть проникает через стенку двуслойного покрытия в окружающее пространство (рис. 1).
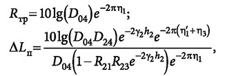
Величина собственной звукоизоляции стенки трубы Rтр и эффективность применения звукоизолирующего покрытия ΔLп могут быть определены по следующим формулам [4]:

где D и R — локальные коэффициенты прохождения звуковой энергии через стенки (1) и (3) и отражения на их границах; h — толщина слоя; η и γ — коэффициенты потерь в стенке трубопровода и защитного кожуха при наличии на них покрытия; η — коэффициенты потерь в стенке трубопровода без покрытия.
При отсутствии информации о значениях всех коэффициентов произвести расчёт невозможно, а, следовательно, выбор звукоизолирующего покрытия на трубопроводы приходится делать, основываясь на практическом опыте либо доверяя альбомам готовых решений для материалов в каталогах производителей.
Звукоизолирующую способность материалов хорошо иллюстрирует рис. 2, полученный на основе данных лаборатории защиты от шума вентиляционного и инженерно-технологического оборудования Научно-исследовательского института строительной физики и ограждающих конструкций (НИИСФ РААСН, город Москва).
Анализируя полученные результаты, можно отметить, что лёгкие пены и волокнистые материалы обладают слабой звукоизолирующей способностью по сравнению с эластичными материалами повышенной массы. Акустический расчёт в данном случае сводится к подбору ограждающих конструкций [4]. Приходится учитывать, что планировка санузлов, технических помещений и т.п. часто осуществляется на усмотрение заказчика и принципа максимального удаления «шумного» и «тихого» помещения не соблюдается. Но, даже произведя акустический расчёт и получив результат, не превышающий требований по шуму к помещениям различного назначения, нельзя утверждать, что заказчик погрузится в тишину, где будет слышно только его собственное дыхание. Ощущение акустического комфорта в помещении у всех разное. В нормируемом диапазоне от 31,5 Гц до 8 кГц требуемое снижение по шуму лучше производить с дополнительным запасом от 5 дБ(А) [5].

Лёгкие пены и волокнистые материалы обладают слабой звукоизолирующей способностью по сравнению с эластичными материалами повышенной массы. Акустический расчёт в этом случае сводится к подбору ограждающих конструкций
К сожалению, акустические расчёты при проектировании частных зданий — большая редкость. Чаще всего подобный раздел либо выполнен весьма поверхностно, либо отсутствует вовсе. У заказчика наиболее часто возникают вопросы, связанные с энергоэффективностью, обслуживанием дорогостоящего оборудования или ценой, а вот вопрос акустического комфорта остаётся в тени, и актуальность его назревает, когда что-либо перестраивать уже поздно.
При работе на готовом объекте для предложения мер по улучшению акустической обстановки приходится проводить довольно трудоёмкие и дорогостоящие исследования для определения причин избыточного шума. Для жизнеобеспечения здания необходима совокупная работа многочисленного инженерного оборудования, в общем шуме которого определить вклад отдельных источников часто невозможно. Поэтому для решения поставленной задачи необходимо производить последовательное отключение отдельных систем и, анализируя данные по акустическому спектру, выявлять источники тех или иных превышений.
Величина собственной звукоизоляции стенки трубы R^ и эффективность применения звукоизолирующего покрытия ДЬп могут быть определены по следующим формулам [4]:

Следование критерию удобства использования насосов, позволяющих устраивать принудительную систему канализации в любом удобном месте, может приводить к увеличению показателей шума до 40 дБ(А)
Характер шума, распространяющегося по зданию, в основном структурный, и он связан обычно со слабым демпфированием насосного оборудования и систем трубопроводов, жёстко закреплённых на ограждающих конструкциях недостаточной массы. Часто хозяева частных домов жалуются на шум насосов, который прослушивается при прикладывании уха к стене или даже к подушке на кровати. При плотном примыкании органов слуха к связанной структуре передача шума происходит по акустическим мостикам с наибольшей интенсивностью. Следование критерию удобства использования насосов, позволяющих устраивать принудительную систему канализации в любом удобном месте, может приводить к увеличению показателей шума до 40 дБ(А). То есть необходимо рассматривать насос как источник повышенного шума, передаваемого непосредственно и воздушным путём. Шумовые параметры оборудования далеко не всегда представляются производителем в акустическом спектре, а, следовательно, результирующая картина остаётся непонятной. Такой шум может не превышать нормативных требований, но создавать неудобства заказчику.
Особенное внимание следует уделять расположению системы водоотведения. При расположении стояков, проходящих через помещения как жилого, так и технического назначения, весь шум проникает через стенки трубы и, как по волноводу, распространяется по всем помещениям. То же самое происходит и с трубопроводами любого другого назначения.
Проблема борьбы с шумом подобна битве с многоголовым драконом. После устранения одной из причин неблагоприятной акустической обстановки ситуация может не только не улучшиться, но и ухудшиться. Существует явление маскирования шума, когда общий фон сглаживает восприятие отдельных звуков. При снижении шума от отдельных источников прочие «участники концерта» становятся более явными и раздражающими. Следовательно, при рекомендации технических решений нужно постараться учесть все возможные пути распространения шума и его источники.
Существуют наиболее типичные технические решения по устранению шума:
1. Устройство «плавающих полов» под насосное, компрессорное и вентиляционное оборудование, где в качестве «плавающего» слоя используются технические пены типа K-Fonik 240, K-Flex St, Silomer и подобные им.
2. Звукоизоляция канализационных, вентиляционных, водосточных трубопроводов материалами высокой плотности типа «K-Фоник» ST GK 072 AD на самоклеящейся основе или использование массивных чугунных трубопроводов. Следует отметить, что попытки избавиться от шума простым оборачиванием труб волокнистыми материалами и лёгкими вспененными полимерами не принесут никакого ощутимого результата.
3. При крепеже на стены различного рода коммутирующих устройств типа частотных преобразователей желательно использование вибродемпфирующих прокладок либо виброопор.
4. Все проходы через ограждающие конструкции не должны выполняться через жёсткую заделку, а также монтажную пену, хорошо передающих шум по структуре, но только через слой вибродемпфирующего материала.
5. Использование в качестве ограждающих конструкций максимально тяжёлых материалов [5].
Выбор материалов для вибродемпфирования и звукоизоляции должен основываться не только на ценовой категории, но и на акустических данных. Материал должен быть эффективен в той области акустического спектра, в которой необходимо убрать шум.
Институтом строительной физики в планах на 2016 год стоит обновление существующего документа для акустических расчётов и создание каталога материалов, рекомендуемых для борьбы с шумом, где будут представлены независимые характеристики материалов, испытанных на уникальных стендах лаборатории акустики инженерных систем.

