Рис. 1. Схема отклонения струи завесы
Рис. 2. Зависимость dq = q/qp – 1 от l/B для одно- и двухсторонних завес по материалам работы [2]
Рис. 3. Сопоставление модели с экспериментальными данными работ [2] и [3] в виде dQ = f (dq)
Для принятия решения о пригодности той или иной модели завесы для конкретных условий необходим поверочный расчет — возможность рассчитать, по меньшей мере, температуру потока воздуха, проникающего через проем в помещение при работающей завесе для заданных климатических условий и характеристик помещения. Все опубликованные в настоящее время методы расчета воздушных завес не позволяют произвести поверочный расчет.
Это обусловлено, в первую очередь, тем, что имеющиеся экспериментальные данные о тепловых и массовых потерях струи завесы в конкретных условиях ее работы представлены виде, не позволяющем использовать их при расчете такого рода. В работе [1] была рассмотрена модель взаимодействия струи завесы и поперечного потока через проем, при которой результатом взаимодействия является поворот струи на угол α, тангенс которого равен отношению количеств движения отклоняющего потока и струи завесы на выходе из щели N (рис. 1).
Удалось показать, что эта модель достаточно хорошо описывает обширный экспериментальный материал работы [2] (рис. 2). Из рис. 1 следует, что α = δ + β + γ, где δ — угол раскрытия струи; β — угол отклонения от нормали струи на выходе из завесы в сторону проема; γ = arctg(l/B). Выражение l/B, в свою очередь, обозначает смещение точки соприкосновения от оси щели.
Величина l определяет расстояние от проекции наружного края щели на ограждение проема или плоскость симметрии проема до соприкосновения наружной границы завесы в сечении струи завесы с ограждением проема либо с встречной струей при двухсторонней завесе; B — размер проема вдоль направления струи. Обозначим относительный расход через проем:
q = Gз/Gпр, (1)
где Gз — расход воздуха, подаваемого завесой; Gпр — расход воздуха, проходящего через проем. Отношение площадей защищаемого проема Fпр и проходного сечения щели завесы Fз равно
Fo = Fпр/Fз. (2)
По значению Fo вычисляется относительный расход в конце струи qс:
qc = Gз/Gc = 1,89Fo –0,5, (3)
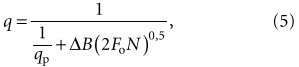
где Gс — количество воздуха, проходящего через сечение струи завесы и первым соприкасающимся с противоположным от завесы краем проема. Если через проем проходит только струя завесы без потерь и дополнений, то можно определить значение отношения расхода воздуха qр, подаваемого завесой, к количеству воздуха, проходящему через проем:

Очевидно, что при работе завесы могут иметь место соотношения: q = qр; q > qр; q < qр, или dq = q/qp – 1 = 0; dq > 0; dp < 0. Как уже было сказано, при dq = 0 через проем проходит только струя завесы без потерь, а при dq > 0 часть воздуха из струи завесы попадает наружу. Далее, при dq < 0 в проем, кроме струи завесы, попадает наружный воздух.
Для двухсторонних боковых и верхних завес при соприкосновении струи завесы с противоположной струей или с ограждением проема, перпендикулярным плоскости проема, происходит осреднение скоростей и температур, по меньшей мере, в сечении соприкосновения струи завсесы с противоположной струей. Это позволяет аналитически определить значение dq = f (l/B).
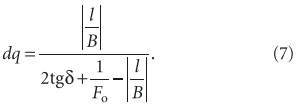
Для случая dq < 0 расход через проем складывается из расхода воздуха в сечении струи завесы, пересекающем проем, и расхода наружного воздуха, протекающего в проем через площадь проема между наружным краем струи и наружным краем противоположной струи или с ограждением проема. Если принять, что скорость протекания наружного воздуха Vпр определяется коэффициентом расхода открытого проема и перепадом давления воздуха на проеме:

где ΔB — относительный размер проема между наружным краем струи и наружным краем противоположной струи или ограждением проема. В свою очередь:

Для случая dq > 0 расход через проем является частью расхода воздуха в сечении струи завесы, пересекающем проем. Для двухсторонних боковых и верхних завес будем считать, что внутрь попадает часть расхода струи, пропорциональная доле площади струи, расположенной с внутренней стороны проема. Причем линией деления считаем значение l/B при dq = 0. В этом случае

При односторонних боковых завесах считать, что при соприкосновении струи с ограждением проема происходит осреднение скоростей и температур, не совсем корректно. Поэтому принимаем, что внутрь попадает часть расхода струи, пропорциональная доле площади струи, расположенной с внутренней стороны проема, с учетом распределения скоростей по продольному сечению струи.
Зависимость dq = f (l/B), рассчитанная на основании изложенной модели, показана для 0 ≤ β ≤ 30° и 10 ≤ Fo ≤ 30 на рис. 2. Как видно из рис. 2, предложенная модель очень хорошо описывает зависимость dq = f (l/B) для двухсторонних завес и приемлемо для односторонних. Расхождение в расчетных моделях объясняется краевым эффектом взаимодействия струи с симметричной струей в первом случае и с ограждением проема во втором.
Можно принять, что характер взаимодействия струи завесы с ограждением проема у верхних завес при распространении струи вне помещения (отрицательные значения l/B) ближе к двухсторонним завесам. Уравнение теплового баланса в соответствии с [2] выглядит следующим образом:
Qз(1 – dQ) = Gпр(tс – tн), (8)
Qз = Gз(tз – tн); dQ = ΔQ/Qз,
где ΔQ — теплопотери струи завесы; tс — температура смеси струи завесы и наружного воздуха, проходящей через проем; tз — температура воздуха, выходящего из завесы; tн — температура воздуха вне защищаемого помещения. На основании приведенных выше допущений определяем зависимость dQ = f (dq). В случае dq ≥ 0:

Коэффициент k = 0,57 учитывает неполное осреднение температуры в сечении струи завесы при соприкосновении с противоположной струей или с ограждением проема. В случае dq < 0:
dQ = 0,03, (10)
т.к. практически все количество теплоты, подаваемое завесой, проходит через проем в помещение. Для проверки адекватности зависимости (8) обратимся к экспериментальным данным по тепловому балансу завесы, приведенным в работах [2] и [3]. В этих работах указаны экспериментальные зависимости dQ от значений q и Fо. Данные работ [2] и [3], преобразованные в соответствии с ранее указанными формулами и обозначениями, представлены на рис. 3.
Полученные зависимости (рис. 2 и 3) позволяют провести поверочный расчет завесы при заданных параметрах завесы Gз, Fз, tз, угле выхода струи из сопла завесы относительно плоскости проема β, размерах проема, аэрационных условиях здания и температурах tв, tн и определить tс — температуру смеси струи завесы и наружного воздуха, проходящей через проем.