Рис. 1. Характер изменения параметров взаимодействующих сред при их движении по варианту А
Рис. 2. Схемы регенеративного косвенно-испарительного охлаждения
Рис. 3. Процессы обработки воздуха при косвенно-испарительном охлаждении (а) и при регенеративном косвенно-испарительном охлаждении (б)
Для получения упрощенных зависимостей для расчета процессов тепловлажностной обработки воздуха в теплообменниках с орошаемой поверхностью теплообмена считаем, что:
- поверхность теплообмена орошается водой с образованием на поверхности сплошной водяной пленки;
- скорость стекания пленки значительно меньше скорости соприкасающегося с ней воздушного потока и не влияет на процессы тепло- и массообмена;
- отношение Льюиса α/σ= cp соблюдено;
- термическими сопротивлениями стенки теплообменника и стекающей по ней водяной пленки пренебрегается;
- температуры поверхности раздела и водяной пленки равны;
- количество испаряющейся влаги мало по сравнению с общим количеством воды, орошающей поверхность.
Предположим, что теплообмен в теплообменнике (косвенно-испарительном) происходит между воздушными потоками. Поток воздуха, не соприкасающийся с водяной пленкой, будем называть основным, а поток воздуха соприкасающийся с водой — вспомогательным. Вообще в качестве основного потока может быть использована жидкая среда.
Возможны четыре варианта теплового взаимодействия основного, вспомогательного потоков воздуха и водяной пленки: А –все взаимодействующие среды движутся в одном направлении; Б–основной поток и водяная пленка движутся в одном направлении, а вспомогательный поток— навстречу им; В–основной и вспомогательный потоки движутся в одном направлении, а водяная пленка— навстречу; Г –вспомогательный поток и водяная пленка движутся в одном направлении, а основной поток— навстречу им.
На рис. 1 представлена, в качестве примера, схема теплового взаимодействия теплообменивающихся сред А. Система дифференциальных уравнений, описывающая тепло- и массообмен для различных вариантов, в общем виде может быть записана:

Начальные и конечные значения функций tw; t0 и Iв при F = 0 и F = Fк обозначены на рисунках, соответствующих рассматриваемой схеме. Решение данной системы дифференциальных уравнений имеет вид: t0 = A0 + B0exp(S1F) + C0exp(S2F) tw = Aw + Bwexp(S1F) + Cwexp(S2F) Iв = AB + BBexp(S1F) + CBexp(S2F) Коэффициенты Ai; Bi; Ci определяются по формулам: Ai = Aiwtw(0) + Ai0t0(0) + AiBIB(0) Bi = Biwtw(0) + Bi0t0(0) + BiBIB(0) Ci = Ciwtw(0) + Ci0t0(0) + CiBIB(0)
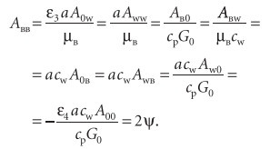
Входящие в данные зависимости коэффициенты определяются только гидродинамическими условиями движения взаимодействующих сред, отношением их водяных эквивалентов. Коэффициенты Aij связаны между собой следующими соотношениями:

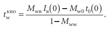
Коэффициенты Вij и Сij находятся из зависимостей (cм. врезку). При орошении поверхности обмена рециркуляционной водой должно соблюдаться равенство tw(0)= tw(Fк). В этом случае значение температуры воды, подаваемой на поверхность, определяется по формуле:

Анализ данного уравнения показывает, что при орошении поверхности теплообмена рециркуляционной водой температура последней перед орошением обусловлена, помимо гидродинамического режима, начальной температурой воздуха основного потока и энтальпией воздуха вспомогательного потока Iв(0). На практике для целей косвенного испарительного охлаждения воздуха кроме схем, приведенных на рис. 1. используются более сложные схемы движения взаимодействующих сред (рис. 2).
Одной из отличительных особенностей этих схем является предварительное охлаждение вспомогательного потока воздуха перед подачей его в теплообменник со стороны орошаемой поверхности вместе с воздухом основного потока. Этот прием позволяет охлаждать основной поток воздуха теоретически до его температуры точки росы (рис. 3). При расчете параметров воздушных потоков в этом случае могут быть использованы приведенные выше зависимости. Однако следует иметь в виду:
- при определении величины G0 числитель подставляется сумма расходов основного и вспомогательного потоков воздуха;
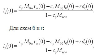
- энтальпия вспомогательного потока воздуха находится из соотношений (рис. 2). Для схем а и в: Для схем б и г:

Приведенные зависимости могут быть использованы для сопоставительного сравнения различных схем косвенного испарительного охлаждения воздуха, а также для расчета теплообмена двух взаимодействующих сред через поверхность теплообмена, орошаемую со стороны одной из сред.
Принятые сокращения:

Условные обозначения:
L — расход воздуха,м3/ч;
W— расходводы смачивающей поверхность обмена, кг/ч;
α, σ— соответственно коэффициенты явного и полного теплообмена, Вт/(м2 ֹС); кг/(м2 ֹч);
ср, сw — теплоемкости воздуха и воды, кДж/ (кг ֹ°С);
g — удельный вес, кг/м3;
t, I — температура и энтальпия, соответственно, °С и кДж/кг;
а — коэффициент пропорциональности;
F — поверхность теплообмена,м2;
ε— коэффициент равный единице, за исключением схем, указанныхв подстрочных индексах, для которых он равен (–1).
Индексы:
О— основной поток;
В — вспомогательный поток;
w — орошаемая жидкость;
i — w, 0, в;
j — w, 0, в.