Сантехника Отопление Кондиционирование

Вентиляционные клапаны для канализации — как применять?

39230 0
Опубликовано в журнале СОК №2 | 2007

Уважаемые коллеги: проектировщики ВК, сантехники и снабженцы, заказчики и инвесторы! Написать эту статью заставили неоднократные вопросы: можно или нельзя применять вентиляционные клапаны для канализационных стояков?

Табл. 1 из приложения Б СП 40 107-2003

Табл. 1 из приложения Б СП 40 107-2003

Ответ на тот вопрос достаточно обширен и затрагивает очень много тем. Если говорить с самого начала, то вы должны четко представлять себе, что применяя воздушные клапаны, вы проектируете НЕВЕНТИЛИРУЕМЫЕ канализационные стояки. Регламенты по проектированию систем канализации с невентилируемыми стояками впервые были включены в СНиП II-30–76 «Внутренний водопровод и канализация зданий», а затем повторены в СНиП 2.04.01–85 и СНиП 2.04.01–85*. В 2002 г. в НИИ «Санитарная техника» (г.Москва) были проведены испытания по определению пропускной способности невентилируемых канализационных стояков оборудованных вентиляционными клапанами фирмы HL Hutterer & Lechner GmbH.

По результатам испытаний регламенты по применению вентиляционных клапанов в практике проектирования и строительства жилых и общественных зданий приведены в СП 40-107–2003 «Проектирование, монтаж и эксплуатация систем канализации из полипропиленовых труб» (дата введения 01.05.2003), а именно п. 4.13: «При невозможности устройства вытяжной части и невентилируемого канализационного стояка допускается применение вентиляционного клапана (приложение Б)…».

В приложении Б приведена табл. 1. Как пользоваться этой таблицей? Вы определяете расчетный расход стоков для канализационного стояка и сравниваете полученное значение расчетного расхода с приведенным в табл. 1 значением пропускной способности стояка в строке, соответствующей диаметру вашего стояка и углу присоединения поэтажных отводов. Если расчетный расход канализационного стояка меньше значения приведенного в табл. 1, вы можете применять вентиляционный клапан.

Примечание — пропускная способность стояка рассчитана для гидравлических затворов высотой 60 мм, при высоте гидрозатворов 50 мм (или вы не знаете высоту гидрозатворов) пропускная способность стояка уменьшается в 1,1 раза. Когда А.Я.Добромыслов* на семинарах рассказывает о вентиляционных клапанах, он всегда просит обратить внимание на следующие моменты, а именно в табл. 1: 1.

Нет ссылки на материал стояка и поэтажных отводов. 2. Нет ссылки на высоту канализационного стояка. В табл. 1 указан только диаметр канализационного стояка и угол присоединения поэтажногоотвода! ВСЁ! Только от этого зависит пропускная способность невентилируемого канализационного стояка оборудованного вентиляционным клапаном!

Где и как устанавливать вентиляционные клапаны?

  1. Вентиляционный клапан устанавливается вертикально в верхней части невентилируемого канализационного стояка (стояк должен заканчиваться вентиляционным клапаном) на высоте не менее 300 мм от места присоединения к стояку наиболее высоко расположенного поэтажного отвода (А.Я.Добромыслов рекомендует устанавливать вентиляционный клапан выше уровня борта сантехприбора присоединенного к поэтажному отводу). Это обусловлено тем, что основным рабочим элементом клапана является уплотнительная мембрана, и необходимо исключить возможность попадания под мембрану грязи или брызг.
  2. Вентиляционный клапан можно устанавливать в жилых помещениях (в санузлах), т.к.мембрана гарантированно запирает загрязненный воздух в канализационных трубопроводах.
  3. Если клапан устанавливается в штробах, нишах, коробах, шахтах и т.п., необходимо предусмотреть беспрепятственное поступление воздуха к вентиляционному клапану, т.к. вода обладает большой способностью увлекать за собой воздух (1 л/c сточной жидкости стремиться увлечь за собой 25 л/с воздуха, т.е. в 25 раз больше!).
  4. Если вентиляционный клапан устанавливается в холодном чердаке, необходимо выполнить утепление канализационного стояка. Клапан можно не утеплять, так как он имеет съемную крышку (не путать со съемной сеткой от насекомых),между съемной крышкой и корпусом клапана остается воздушная полость— воздух плохой проводник тепла, и выполняет роль утеплителя.

Касательно правомерности использования при проектировании жилых и общественных зданий СП 40-107– 2003 как обязательного нормативного документа надо отметить следующее: Правительство РФ утвердило Положение об осуществлении государственного строительного надзора в Российской Федерации (постановление Правительства РФ от 01.02.2006 №54), в п. 4 которого говориться: «…в предмет государственного строительного надзора входит проверка соответствия выполняемых работ требованиям строительных норм и правил, федеральных норм и правил в области использования атомной энергии, правил безопасности, государственных стандартов, других нормативных правовых актов РФ и нормативных правовых актов федеральных органов исполнительной власти, подлежащих обязательному исполнению при строительстве, реконструкции, ремонте объектов капитального строительства (далее нормы и правила)».

Другими словами, если государственный строительный надзор руководствуется строительными нормами и правилами, то и мы при проектировании объектов жилых и общественных зданий должны руководствоваться этими документами. Следующий не менее важный вопрос— это вентиляция наружных сетей канализации, которая осуществляется через вытяжные части канализационных стояков внутридомовой системы канализации зданий. По этому вопросу мы консультировались с А.Я.Добромысловым и он предлагает несколько вариантов.

1. Если вы проектируете здание, уплотнения городскую застройку, и подключаетесь к существующим наружным сетям канализации. Так как существующие наружные сети вентилировались без вашего здания, они будут вентилироваться и с вашим зданием (если все стояки вы проектируете невентилируемыми или оборудованными вентиляционными клапанами).

2. Если вы проектируете здание и новый участок наружной сети до подключения к существующим наружным сетям. В этом случае вы можете выполнить расчет: сколько вам необходимо предусмотреть вентилируемых канализационных стояков, а сколько вы можете сделать невентилируемыми или оборудованных вентиляционными клапанами. Формула по расчету вентиляции наружных сетей приведена в СНиП 2.04.03–85 «Канализация. Наружные сети и сооружения».Так, количество вентилируемых канализационных стояков рассчитывается по формуле:

где W— емкость вновь проектируемых наружных сетей,м3; n — кратность воздухообмена, т.е. сколько раз меняется воздух в наружных сетях, сут–1; 320 м3/сут — это минимальное количество воздуха выходящее через одну вытяжную часть канализационного стояка в сутки (получено экспериментально).

Примечание:

1. Величина кратности воздухообмена — n, нормами не регламентируется, но А.Я.Добромыслов говорит, что воздух в туалетах должен обновляться четыре раза в час, следовательно, в сутки — 96 раз.Поэтому при расчетах А.Я.Добромыслов принимает n = 100. Вы можете принимать любое значение.

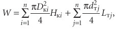
2. Формула для расчета емкости наружной сети:

где Dк — внутренний диаметр канализационных колодцев, м; Hк — глубина канализационных колодцев, м; dт— внутренний диаметр наружных канализационных труб, м; Lт — длина наружных канализационных труб, м;

3. Для уменьшения емкости проектируемого участка наружной канализационной сети вы можете применять торцевой выпуск канализации из вашего здания, тем самым вы отказываетесь от дворовой сети, т.е. значительно сокращаете количество канализационных колодцев и протяженность наружных трубопроводов (чем экономите значительные капитальные средства). Дополнительно вы сокращаете количество канализационных затворов с электроприводом согласно п. 17.27 СНиП 2.04.01–85* (уменьшение капитальных затрат), увеличиваете наполнение труб, тем самым добиваясь условий незасоряемости и самоочищения канализационных трубопроводов.

4. Если вы проектируете отдельно стоящее здание с невентилируемыми канализационными стояками (или оборудованными вентиляционными клапанами) и новый участок наружной канализационной сети, в этом случае вы обязаны предусмотреть мероприятия для обеспечения вентиляции наружных канализационных сетей.

В заключение необходимо затронуть еще одну тему, которая самым непосредственным образом связана с ответом на вопрос: можно или нельзя применять вентиляционные клапаны для невентилируемых стояков?

Во-первых, регламенты по применению воздушных клапанов для невентилируемых стояков, приведенные в СП 40-107–2003, получены после испытаний конкретного клапана типа HL900N (HL900NECO) фирмы HL Hutterer & Lechner GmbH. Следовательно данные, которые приведены в табл. 1 Приложения Б СП 40-107–2003 могут быть использованы (и должны быть использованы) только при применении вентиляционных клапанов HL900N (HL900NECO).В настоящее время в России предлагаются вентиляционные клапаны более десяти фирм-производителей, все они разные по конструкции и, что гораздо важнее, по техническим характеристикам! В России (на сегодняшний день) испытан только один клапан HL900N (HL900NECO),и именно он рекомендован для применения при проектировании и строительстве жилых и общественных зданий!

Во-вторых, при покупке вентиляционного клапана вы можете купить подделку. Это касается не только России, но и других стран (в частности подделку под клапан HL900N делают в Италии, а теперь и в Турции). Самым важным является даже не то, что никто не знает технических характеристик подделок, а то, что подделки не препятствуют проникновению запахов из канализации в жилые помещения! (Так как фирмы, подделывающие наш продукт,не являются его разработчиками (изобретателями), они скопировали его только внешне.) Для того, что бы вы были полностью уверены в том, что вам предлагают высококачественный клапан, мы приводим здесь фотографии вентиляционногоклапана HL900N и его подделку. Вентиляционный клапан HL900N (HL900NECO) защищен патентом на изобретение и, к счастью,имеет ряд существенных отличий (которые легко определяются визуально), а именно:

  1. Защитная сетка от насекомых— насыщенного синего цвета, с логотипом HL (сам клапан, съемная крышка и переходник имеют серый цвет).
  2. Защитная сетка от насекомых легко снимается и также легко уставится на место.
  3. Клапан имеет съемную крышку,которая, соответственно, легко снимается и также легко ставится на место.
  4. Если снять крышку, то на верхней части клапана выполнена маркировка: «HL900».

Надеюсь, что настоящая статья поможет Вам в решении некоторых вопросов проектирования систем канализации и выражаем свою признательность А.Я.Добромыслову за наше обучение и хорошее отношение к нашей фирме.

* А.Я. Добромыслов, к.т.н., руководитель Учебно-методического центра по подготовке специалистов в области пластмассовых трубопроводных систем МИПК МГТУ им.Н.Э. Баумана.

Комментарии
  • В этой теме еще нет комментариев
Добавить комментарий

Ваше имя *

Ваш E-mail *

Текст комментария