Рис. 1. Схема подачи приточного воздуха
Рис. 2. Узел подачи приточного воздуха
Табл. 1. Результаты расчета влажностного режима в помещении плавательного бассейна
Крытые бассейны становятся все более популярным видом спортивных сооружений в России. В технической литературе [1–4, 8] и интернете [5] имеются данные для расчета тепло- и влаговыделений, воздухообмена и способов обработки воздуха. Меньше внимания уделяется способам организации воздухообмена и распределения воздуха и прогнозированию параметров воздуха в обслуживаемых зонах.
А именно это является конечной целью вентиляции. Рассмотрим тепловлажностный режим плавательного бассейна на 120 зрителей и 15 спортсменов площадью F = 1050 м2. По проекту ОАО «Уралгражданпроект» [6] в помещении бассейна предусмотрены две системы приточной вентиляции П1 и П2 производительностью 20 тыс.м3/ч каждая и две системы вытяжной вентиляции В1 и В2 такой же производительности.
Подача приточного воздуха осуществляется вертикальными струями, направленными снизу вверх (рис. 1). Патрубки для подачи приточного воздуха сечением 1500·150 мм размещены вдоль наружной стены ряда К (рис. 2) и отгорожены от дорожки вдоль бассейна щитами высотой 2 м, установленными на расстоянии 0,4 м от стены. Удаление воздуха предусмотрено вытяжными системами В1 и В2 из верхней зоны через решетки над бассейном.
Такое оригинальное решение по организации воздухообмена обеспечивает защиту строительных конструкций от увлажнения. Для прогнозирования возможных параметров тепловлажностного режима нами были выполнены расчеты ожидаемой относительной влажности и подвижности внутреннего воздуха при данной схеме организации воздухообмена и производительности систем вентиляции.
При норме свежего воздуха 80 м3/ч на одного спортсмена и 20 м3/ч на одного зрителя [1, 2] необходимый минимальный воздухообмен составляет 3600 м3/ч для режима соревнований. Как видно, величина принятого в проекте воздухообмена 40 тыс.м3/ч значительно больше значения, рассчитанного по норме свежего воздуха, что обусловлено необходимостью ассимиляции вредных выделений.
Преобладающим видом вредных выделений в помещениях плавательных бассейнов являются водяные пары. Поэтому выполнена проверка достаточности воздухообмена для ассимиляции влаговыделений от людей и с поверхности воды в бассейне (режим соревнований).Поступление влаги составляет 63 г/ч на одного человека при температуре воздуха 28°С, а количество водяных паров, выделяющихся с открытой водной поверхности, определим по [3].
Величина общих влаговыделений приведена в таблице. Оценку эффективности воздухообмена при работе приточных вентиляционных систем П1 и П2 производительностью по 20 тыс.м3/ч выполним с помощью уравнения влаговоздушного баланса помещения: Lρdin + G= Lρdwz, где L — величина воздухообмена,м3/ч; G — влаговыделения от людей и с поверхности воды в бассейне, г/ч; ρ— плотность воздуха, dwz, din — влагосодержание удаляемого и приточного воздуха, г/кг.
Отсюда получим влагосодержание воздуха в помещении dwz. Влагосодержание приточного воздуха принято равным влагосодержанию наружного воздуха и определено из уравнения удельной энтальпии влажного воздуха. Относительная влажность воздуха в помещении φwz определяется из уравнения влагосодержания. Результаты расчета относительной влажности воздуха при проектных воздухообменах для различных периодов года приведены в табл. 1.
Из таблицы видно, относительная влажность воздуха в помещении бассейна во все периоды года практически не будет отличаться от нормируемого значения по [1, 2]. Для оценки параметров приточной струи учтем, что после выпуска из патрубков на уровне верха щитов отдельные струи практически сливаются и формируется плоская настилающаяся на стену струя. Определим начальные параметры такой струи.
Так как патрубки установлены попарно в нишах между колоннами на расстоянии 5 м, начальная площадь струи составляет F0 = 0,4·5·4 = 8 м2. Средняя по площади скорость выпуска воздуха: V0 = L/F0 = 20000/(36008)= 0,7 м/с. Далее расчет выполнен по методике М.И.Гримитлина, приведенной в [7]. Скоростной коэффициент при выпуске воздуха через прямоугольный патрубок с учетом настилания составляет по [7] m= 9,6.
Расстояние от верха ограждающих щитов до трибуны для зрителей по оси струи согласно схеме (см. рис. 1) составляет х = 44,4 м.Расстояние от начала струи до второго критического сечения х2,после которого от струи начинает отсоединяться воздух, находится по формуле x2 = 0,15m2Hп, где Нп — размер помещения в поперечном к струе направлении. Так как Нп = 7,7 м на горизонтальном участке развития струи, расстояние х2 = 106 м, что значительно превышает длину струи.
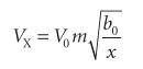
Поэтому на всем пути развития струя является свободной [5].Скорость воздуха на оси плоской свободной струи на расстоянии по оси струи OX от воздухораспределителя до трибун для зрителей определяется соотношением:

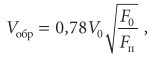
где b0 = 0,4 м — начальная ширина плоской струи. При расстоянии х = 44,4 м осевая скорость настилающейся струи составляет VX = 0,6 м/с. Таким образом, подвижность воздуха в зоне последнего ряда сидений трибун не превышает допустимого значения 0,9 м/с [2]. Проверим скорость воздуха в зоне пребывания спортсменов на отм. 0,00 м. Эта зона омывается обратным потоком и скорость Vобр определяется с помощью уравнения [7]:

где Fп — площадь помещения в поперечном к струе направлении. При Fп = 345 м2 и F0 = 8 м2 скорость воздуха в обратном потоке составит Vобр = 0,08 м/с, что не превышает допустимого значения. В этой статье мы хотели обратить внимание проектировщиков на необходимость детальных расчетов распределения воздуха и определения параметров микроклимата в обслуживаемых зонах.Был рассмотрен один из возможных вариантов организации воздухообмена в помещении бассейна и показана эффективность данного проектного решения, которое реализовано в плавательном бассейне спорткомплекса «Юность» в г.Екатеринбурге.
Выводы
- Проектная величина воздухообмена в плавательном бассейне 40 тыс. м3/ч является достаточной для обеспечения допустимых параметров внутреннего воздуха в соответствии с нормами. В холодный период года в связи со снижением влагосодержания наружного и приточного воздуха возможно использование одной приточной установки производительностью 20 тыс.м3/ч.
- Рекомендуемая норма свежего воздуха на одного спортсмена (80 м3/ч) и на одного зрителя (20 м3/ч) не является достаточной для ассимиляции влаговыделений, поэтому величина воздухообмена должна уточняться на основании влаговоздушного баланса помещения бассейна.
- При использовании помещения бассейна без зрителей тепловоздушный режим практически не меняется, т.к. значительная часть влаговыделений происходит с открытой водной поверхности.
- Схема организации воздухообмена должна предусматривать подачу приточного воздуха в зоны возможной конденсации на ограждающие конструкции с учетом рекомендаций [2, п. 7.5.6].
- Расчеты воздухораспределения показали, что параметры воздуха в обслуживаемой зоне при схеме распределения приточного воздуха «снизувверх» соответствуют требованиям строительных норм [2]. При этом обеспечивается хорошее проветривание внутренних поверхностей наружных ограждений и верхней зоны помещения и защита строительных конструкций от увлажнения.