Со строительством офисных зданий класса «А» требования к комфортности микроклимата значительно увеличились, что вызывает необходимость установки профессиональных в техническом отношении систем кондиционирования воздуха. В зависимости от объемно-планировочных решений и характера тепловых нагрузок современные системы кондиционирования воздуха можно разделить на три основные группы по схемным решениям: центральные, зональные и местно-центральные, и на две по способу воздухо-распределения: перемешивающие и вытесняющие.
Одна из задач проектирования современного офисного здания состоит в определении возможного теплового режима при различных мерах его обеспечения и в выборе экономически целесообразного варианта, поддерживающего оптимальный воздушно тепловой режим всех помещений с учетом коэффициента обеспеченности. Выбор системы кондиционирования воздуха в здании должен проводиться на основании тщательно проработанного технического задания.
В задании содержатся конкретные требования в отношении микроклимата: тепловая комфортность, минимальное количество наружного воздуха и подвижность воздуха в обслуживаемом помещении, уровень шума и другие параметры, имеющие значение в контексте целевого назначения каждого помещения. При этом необходимо принять во внимание желательный срок службы системы, произвести оценку будущих затрат на обслуживание и эксплуатацию.
Также нельзя пренебречь эстетическими требованиями дизайнера, заказчика и пользователя. Архитектура здания и его планировка имеют непосредственное влияние на выбор системы кондиционирования воздуха. Наряду с климатическими характеристиками они являются исходными данными для определения наружных теплопоступлений, значительную долю которых в теплый период года составляет солнечная радиация.
Очевидно, что конструктивные мероприятия по солнцезащите способны в значительной степени снизить нагрузку на систему кондиционирования воздуха. Суточная периодичность солнечной радиации приводит к нестационарности всех процессов теплообмена в каждом помещении. Это следует учитывать при определении наружных теплопоступлений. Целесообразно индивидуальное или зональное регулирование систем кондиционирования воздуха, что достигается применением местно центральных систем с вентиляторными конвекторами (фанкойлами или сплит системами).
Вентиляторные конвекторы имеют индивидуальное регулирование температуры воздуха, достаточную мощность для быстрого нагрева или охлаждения помещения и низкие энергозатраты. Но есть и существенный недостаток — высокая скорость движения воздуха и недопустимо низкая (при охлаждении) температура в воздушной струе на входе в обслуживаемую зону. Поэтому при проектировании вентиляторные конвекторы следует размещать в помещении таким образом, чтобы в зоне их непосредственного воздействия не находились постоянные рабочие места.
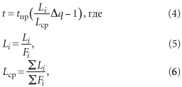
Одним из существенных показателей при выборе схемных решений системы кондиционирования воздуха является неравномерность распределения тепловых нагрузок по обслуживаемым помещениям. Неравномерность нагрузок можно характеризовать понятием «градиент тепловой нагрузки», определяемым отношением относительной тепловой нагрузки отдельных помещений qi к средней расчетной по всей площади здания, обслуживаемой системой кондиционирования воздуха qср:

Очевидно, что чем больше отклонения значений градиентов от единицы, тем большими регулирующими возможностями должна обладать система кондиционирования воздуха. Следует также учитывать, что величина градиента в общем случае меняется во времени, например, в зависимости от инсоляции. Важным показателем является заданная допустимая величина неравномерности температуры воздуха по обслуживаемым помещениям здания — Δt, которую можно выразить через градиент тепловой нагрузки:

tпр — температура приточного воздуха, °С; Li и Lcp — относительный расход приточного воздуха, соответственно, в рассматриваемом помещении и средний по кондиционируемым помещениям здания, м3/(ч⋅м2). В большинстве случаев в офисных зданиях величина неравномерности температуры Δt задается в диапазоне 1,0–1,5 °C. Одной из наиболее сложных проблем представляется раздача приточного воздуха по обслуживаемому помещению.
Перепад между температурой приточного воздуха tпр для ассимиляции теплоизбытков, равных 60 Вт/м2, при удельном расходе наружного приточного воздуха 15 м3/(ч⋅м2) и температурой в обслуживаемой зоне составляет не менее 12 °С. Очевидно, что при этом затруднительно выполнить требование СНиП, ограничивающее допустимое отклонение температуры воздуха в струе от нормируемой температуры воздуха в обслуживаемой зоне 1 °C в зоне прямого воздействия струи и 1,5 °C вне этой зоны.
Температуру приточного воздуха можно повысить, используя рециркуляцию. Однако, учитывая рост энергетических затрат при увеличении воздухообмена свыше санитарной нормы, а также санитарно-гигиенические ограничения применения рециркуляции воздуха, регулирующие возможности воздухообмена невелики. Решив обратную задачу, можно определить удельную тепловую нагрузку, при которой система центрального кондиционирования воздуха обеспечит оптимальные параметры микроклимата обслуживаемого помещения без применения рециркуляции.
Для обеспечения перепада между температурой приточного воздуха и температурой воздуха в обслуживаемой зоне помещения в 5 °C средняя удельная тепловая нагрузка равна 25 Вт/м2. Как правило, такая холодильная нагрузка не может обеспечить компенсацию тепловыделений от людей, освещения и оргтехники в офисных помещениях при величине воздухообмена, соответствующей санитарной норме, что приводит к необходимости применения дополнительных мер: рециркуляции воздуха, установки фанкойлов, VRF или сплит-систем.
В ряде случаев возможно увеличение перепада температуры приточного воздуха и воздуха в обслуживаемой зоне помещения при условии входа приточной струи вне зоны постоянного пребывания людей. Анализ ряда проектов систем кондиционирования воздуха позволяет сделать следующие выводы. Регулирующие возможности системы центрального кондиционирования воздуха ограничены величиной градиента тепловой нагрузки от 0,8 до 1,2 при заданной неравномерности температуры воздуха в помещении Δt = ± 1 °C и величиной 0,7–1,3 для неравномерности температуры ± 1,5 °С, при этом средняя удельная тепловая нагрузка не должна превышать 25–30 Вт/м2.
Увеличение регулирующих возможностей системы кондиционирования воздуха можно обеспечить увеличением воздухообмена, в т.ч. рециркуляционного. Если отдельные помещения имеют большое отличие по показателю теплового градиента, либо удельная тепловая нагрузка превышает 40 Вт/м2, то следует, наряду с системой центрального кондиционирования воздуха, установить в них локальные системы охлаждения (фанкойлы, VRF или сплит-системы).
Если помещения можно конструктивно сгруппировать в зоны с близкими показателями градиента тепловых нагрузок, целесообразно рассмотреть возможность применения зональной местно-центральной схемы кондиционирования воздуха. Этот же вариант, как правило, проектируется по этапной системе строительства shell & corr («шел энд кор»), т.е. когда строится коробка здания со всеми центральными системами, а затем отдельными фрагментами продается или сдается в аренду.
Затем под индивидуальные проекты внутреннего дизайна проектируются внутренние инженерные системы (разводка воздуховодов, фанкойлы и т.д.) — fit off («фит офф»). Такая схема позволяет вводить в эксплуатацию отдельные этажи и зоны офисных зданий независимо друг от друга.