Рис. 1. Построение в поле i–d-диаграммы процессов обработки при проектировании «на две точки» (жирные линии) и на основе представлений о термодинамической модели СКВ с рециркуляцией по зонам [1, 2]
Леонид Константинович Рамзин
А.А. Рымкевич, д.т.н., профессор
Нанеся на i–d-диаграмму расчетные наружные и внутренние параметры, учитывая заранее вычисленные расходы наружного и приточного воздуха, строят процессы тепловлажностной обработки воздуха и их последовательность (рис. 1). Подчеркнем, что разделение области параметров наружного воздуха на зоны предпочтительнее, поскольку выявляет все режимы обработки воздуха в течение года. Этим оно отличается от традиционного проектирования «на две точки», как неоднократно указывал профессор А.А. Рымкевич [1, 2] и др.
Задумаемся, всегда ли правильно такое проектирование? Не таят ли такие построения и выводы из них потенциальные ошибки? Приведем только лишь один пример. На рис. 1 нагрев смеси С1СХ кажется безопасным с точки зрения замерзания воды в трубках, если средняя температура tC1 положительна. При этом забывают, что в диаграмме указывают только средние значения параметров, без учета, например, плохого перемешивания потоков воздуха. Основная же ошибка заключается в том, что при построениях забывают об изменениях нагрузок и их влиянии на выбор аппаратов. Рассмотрим далее предлагаемую аналитическую альтернативу использованию графических построений.
Выбор технологической схемы СКВ (СВ) и расчетные мощности ее аппаратов можно выполнять чисто аналитически, не зная i–d-диаграммы и используя разработки профессора, д.т.н. А.А. Рымкевича [1, 2] (рис. 2) о комплексе исходных данных для проектирования. Они, в частности, положены в основу книги автора этой статьи [5].Преимущества такой методики заключаются в том, что при выборе нагревателя и увлажнителя (подвод теплоты и массы) учитывают минимальные тепло и влагоизбытки, а при подборе охладителя-осушителя (отвод теплоты и массы) — соответствующие максимальные.
Кроме того, во всех расчетах учитывают минимальный расход наружного воздуха и его возможное изменение, например, при сокращении числа людей в общественных зданиях. Такая методика не требует наличия i–dдиаграммы и исключает ошибки при подстановке «псевдопостоянных» тепло и влагоизбытков, хотя они, как правило, переменны.
Для объекта с заданными тепловлагоизбытками (Qизб.max, Qизб.min, Gвл.max, Gвл.min)минимальным расходом наружного воздуха (Gн.min), заданных параметрах в помещении (tв.min, ϕв.min, dв.min, iв.min, tв.max, ϕв.max, dв.max, iв.max) и расчетных параметрах наружного воздуха (tнрх, dнрх, tнрт, dнрт, iнрт) можно записать неравенства, определяющие потребность проектируемой системы в нагреве, охлаждении-осушении и увлажнении воздуха. Рассмотрим эти неравенства подробнее:
- нагревание наружного воздуха необходимо, если выполняется неравенство:

при отсутствии увлажнения или изотермическом (паровом) увлажнении; - нагревание наружного воздуха в СКВ (СВ), совмещенной с воздушным отоплением при отсутствии увлажнения или изотермическом (паровом) увлажнении необходимо, если выполняется следующее неравенство:

где q0 = ∑kF — удельные теплопотери помещений [кВт/ °C], обслуживаемых данной системой и отнесенные к разности температур tв.min – tн; - нагревание наружного воздуха при изоэнтальпийном (водяном) увлажнении воздуха необходимо, если выполняется неравенство:

в случае воздушного отопления к слагаемым Qизб.min + GпрсвΔtпр включают следующий сомножитель:

- увлажнение наружного воздуха при любом способе необходимо, если выполняется неравенство:

- охлаждение наружного воздуха необходимо, если выполняется неравенство:

- осушение наружного воздуха необходимо при выполнении неравенства:

Здесь предполагают, что максимальные влаговыделения совпадают с максимальными теплоизбытками или, по крайней мере, между Qизб и Gвл имеется высокий и положительный коэффициент корреляции, например, rQизбGвл > 0,8.В соответствии с неравенствами (1–6) несложно вычислить расчетные расходы нетто (без учета потерь в коммуникациях) теплоты, влаги и холода, требуемые для СКВ и СВ, для случаев (1) и (2):
Qt.расч = Gн.mincв(tн.гран1 – tнрх), (7)
для случая (3):
Qt.расч = Gн.min(iн.гран1 – iнрх), (8)
Gувл.расч = Gн.min(dн.гран1 – dнрх), (9)
для сухого охлаждения:
Qх.расч = Gн.mincв(tнрт – tн.гран2), (10)
для охлажденияосушения:
Qх.расч = Gн.min(iнрт – iн.гран2), (11)
где iн.гран2 определяют по взаимоувязанным сочетаниям tн.гран2 и dн.гран2. Общий нагрев воздуха, определенный по формуле (8), обычно разделяют на первый и второй; границу между ними часто принимают i ≈ 30 кДж/кг, что соответствует t ≈ 10 °C. Поясним описанную выше аналитическую (бездиаграммную) методику выбора технологической схемы СКВ (СВ) на основе комплекса исходных для проектирования данных примером.
Пример
Предложить (обосновать, выбрать) технологическую схему центральной системы кондиционирования без использования i–dдиаграммы и расчетные расходы теплоты, холода и влаги СКВ для трех помещений при следующих исходных данных.Расчетные внутренние параметры: tв.min = 20 °C, ϕв.min = 45 %, dв.min = 6,5 г/кг; iв.min = 36,2 кДж/кг, tв.max = 25 °C; ϕв.max = 60 %, dв.max = 11,8 г/кг; iв.max = = 54,5 кДж/кг.
Расчетные наружные параметры в Санкт-Петербурге: tнрх = –26 °C, dнрх = 0,3 г/кг; iнрх = –25,3 кДж/кг; tнрт = = 24,8 °C; iнрт = 51,5 кДж/кг; dнрт = 11,6 г/кг.Теплоизбытки Qпом = 10–15 кВт; влаговыделения Gвл = 1–1,5 кг/ч, удельные теплопотери q0 = ∑kF = 0,05 кВт/°C, СКВ совмещена с воздушным отоплением, минимальный расход наружного воздуха Lн.min = 1800 м3/ч = 0,50 м3/с, Gн.min = 0,6 кг/с. Расчетный воздухообмен помещений при Δtp = 8 °C составит:

Нагрев приточного воздуха в вентиляторе, двигателе и воздуховодах можно принять Δtпp = 1,5 °C.Рассмотреть варианты применения центральной воздушной VAVсистемы и водовоздушной СКВ; отношение:

предполагает целесообразным применение как воздушной, так и водовоздушной СКВ [3]. При необходимости увлажнения воздуха применить изоэнтальпийное увлажнение (водой).
Вариант 1. В центральной воздушной VAV-системе при исходных данных примера определяем необходимые аппараты СКВ, подставляя в неравенства, соответственно, максимальные или минимальные значения тепло и влагоизбытков. Нагрев наружного воздуха при отсутствии или изотермическом (паровом) увлажнении воздуха нужен, начиная с tн < tн.гран1:

Величина 0,65 означает учет управляемого расхода приточного воздуха в VAV-системе, пропорционального следующему отношению:

Нагрев наружного воздуха при изоэнтальпийном (водяном) увлажнении необходим, при iн < iн.гран1:Увлажнение наружного воздуха необходимо при dн < dн.гран:

т.е. большую часть года.
Не смотря на такой результат, необходимость применения увлажнения подлежит уточнению с учетом:
- высокой начальной стоимости увлажнителя и сложности эксплуатации;
- уточнения требований к минимальной влажности [4];
- реально наблюдаемой десорбции наружных ограждений;
- продолжительности низких температур и соответствующих влагосодержаний наружного воздуха и др.
Необходимость охлаждения наружного воздуха определяется следующим условием tн > tн.гран2:

Эту «непонятную» на первый взгляд температуру нужно относить к расходу наружного воздуха (а не приточного), что соответствует условному состоянию воздуха ниже линии насыщения. Если рассматривать Gн = Gпp = 1,9 кг/с, то охлаждение неизбежно при:

и выше. Проверяем необходимость осушения наружного воздуха, для этого вычисляем:

значит, осушение не нужно.
В результате выполненных расчетов при переменных тепловлажностных нагрузках помещений, переменных параметрах наружного и внутреннего воздуха получаем следующий результат — установлено, что в технологической схеме СКВ при Gпp = 1,9 и Gн.min = 0,6 кг/с должно быть применено следующее оборудование: воздухонагреватель, увлажнитель (обсуждается) и охладитель.
Расчетные характеристики оборудования нетто:
Qt.max = Gн.mincв(tн.гран1 – tнрх) = 0,6 × [0 – (–26)] ≈ 16 кВт —при отсутствии увлажнения или паровом (изотермическом) увлажнении,
Qt.max = Gн.min(iн.гран1 – iнрх) = 0,6 × [16 – (–25,2)] ≈ 25 кВт —это уже при водяном (изоэнтальпийном) увлажнении;
Gувл.max = Gн.min(dн.гран – dнрх) = 0,6 × (6 – 0,3) ≈ 0,35 г/с = 1,3 кг/ч;Qх.max = Gн.mincв(tнрт – tн.гран2) = 0,6 × [25 – (–5)] ≈ 18 кВт.
Вариант 2. Повторим расчет для водовоздушной СКВ данного объекта, принимая Gн.min = Gпр = 0,6 кг/с, ассимилирующей воздухом около 30 % выделяемой теплоты и всю выделяемую влагу; остальную теплоту компенсируют местные вентиляторные кондиционеры-доводчики (fancoil). Расчетные часовые расходы теплоты и холода в такой системе будут близки вычисленным для центральной VAV-системой с некоторыми различиями.
Первое — это отличающаяся на следующую величину:
cвΔtпр(Gпр – Gн.min) = 1 × 1,5 × (1,9 – 0,6) = 2,0 кВт
теплота (будет больше) и холод (будет меньше), чем в варианте 1.
Второе — при низкой температуре холодной воды, подаваемой в местные доводчики помещений (tв = 24–25 °C, ϕв = 50–60 %, tв.росы = 13–17 °C) будет происходить осушение — конденсация водяного пара из воздуха и соответствующий перерасход холода. Доводчики наружной (периметральной) зоны в холодный период года могут работать в режиме нагрева для компенсации теплопотерь, достигающих:
Qtн = q0(tв – tнрх) = 0,05 × [20 – (–26)] = 2,3 кВт,
что существенно меньше теплоизбытков остальной зоны Qизб.min = 10 кВт. Доводчики внутренней зоны круглогодично ассимилируют теплоизбытки, режим работы обоих групп доводчиков должен быть строго согласован с учетом всех возмущающих воздействий.
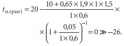
Определим, из каких аппаратов должен состоять кондиционер, обрабатывающий только наружный воздух и ассимилирующий около 30 % теплоизбытков. Нагрев наружного воздуха потребуется при tн < tн.гран1 (без увлажнения или с изотермическим увлажнением) и компенсации теплопотерь доводчиками:

Нагрев наружного воздуха при изоэнтальпийном увлажнении воздуха потребуется при iн < iн.гран:

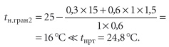
В данном случае граница режимов увлажнения (dн.гран = 6 г/кг) не будет меняться. Граница же режима охлаждения наружного воздуха при tн > tн.гран2:

В результате расчета определено, что центральный кондиционер водовоздушной СКВ должен состоять из воздухонагревателя, увлажнителя (обсуждается) и воздухоохладителя.
Вывод. Предложенная методика выбора технологической схемы СКВ и расчетной мощности ее аппаратов не требует знания и применения i–d-диаграммы влажного воздуха и одновременно позволяет избежать ошибок, связанных с неучетом диапазона изменения тепловой и влажностной нагрузок помещений.