Шум в СВКВ идет от вентилятора (главного источника шума со своими задачами [4]) и других источников, распространяется по воздуховоду вместе с потоком воздуха и излучается в вентилируемое помещение. На шум и его снижение влияют: кондиционеры, отопительные агрегаты, регулирующие и воздухораспределительные устройства, конструкция, повороты и разветвление воздуховодов [9].
Акустический расчет СВКВ производится с целью оптимального выбора всех необходимых средств снижения шума и определения ожидаемого уровня шума в расчетных точках помещения. Традиционно главным средством снижения шума системы являются активные и реактивные глушители шума [8]. Звукоизоляцией и звукопоглощением системы и помещения [6, 14] требуется обеспечить выполнение норм допустимых для человека уровней шума — важных экологических норм.
Сейчас в строительных нормах и правилах России (СНиП), обязательных при проектировании, строительстве и эксплуатации зданий с целью защиты людей от шума, сложилась чрезвычайная ситуация. В старом СНиП II-12–77 «Защита от шума» метод акустического расчета СВКВ зданий устарел [9, 10, 11, 12] и не вошел поэтому в новый СНиП 23-03–2003 «Защита от шума» [13] (взамен СНиП II-12–77), где он пока вообще отсутствует.
Таким образом, старый метод устарел, а нового нет [16, 17]. Настает пора создания современного метода акустического расчета СВКВ в зданиях, как это уже имеет место быть со своей спецификой в других, ранее более продвинутых по акустике, областях техники, например, на морских судах [3]. Рассмотрим три возможных способа акустического расчета, применительно к СВКВ.
Первый способ акустического расчета . В этом способе, устанавливаемого сугубо на аналитических зависимостях, используется теория длинных линий, известная в электротехнике и отнесенная здесь к распространению звука в газе, заполняющем узкую трубу с жесткими стенками [1, 2]. Расчет производится при условии, что поперечник трубы много меньше длины звуковой волны.
Для трубы прямоугольного сечения сторона должна быть меньше половины длины волны, а для круглой трубы — радиус. Именно такие трубы в акустике называются узкими. Так, для воздуха на частоте 100 Гц труба прямоугольного сечения будет считаться узкой, если сторона сечения меньше 1,65 м. В узкой изогнутой трубе распространение звука останется таким же, как и в прямой трубе.
Это известно из практики применения переговорных труб, например, давно на пароходах. Типовая схема длинной линии системы вентиляции имеет две определяющие величины: LwH — звуковая мощность, поступающая в трубопровод нагнетания от вентилятора в начале длинной линии, а LwK — звуковая мощность, исходящая из трубопровода нагнетания в конце длинной линии и поступающая в вентилируемое помещение.
Длинная линия содержит следующие характерные элементы. Перечислим их: входное отверстие со звукоизоляцией R1, активный глушитель шума со звукоизоляцией R2, тройник со звукоизоляцией R3, реактивный глушитель шума со звукоизоляцией R4, дроссельная заслонка со звукоизоляцией R5 и выпускное отверстие со звукоизоляцией R6. Под звукоизоляцией здесь понимается разность в дБ между звуковой мощностью в падающих на данный элемент волнах и звуковой мощности, излучаемой этим элементом после прохождения волн через него далее [6].
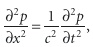
Если звукоизоляция каждого из этих элементов не зависит от всех других, то звукоизоляция всей системы может быть оценена расчетом следующим образом. Волновое уравнение для узкой трубы имеет следующий вид уравнения для плоских звуковых волн в неограниченной среде:

где c — скорость звука в воздухе, а p — звуковое давление в трубе, связанное с колебательной скоростью в трубе по второму закону Ньютона соотношением

где ρ— плотность воздуха. Звуковая мощность для плоских гармонических волн равна интегралу по площади поперечного сечения S воздуховода за период звуковых колебаний T в Вт:

где T = 1/f — период звуковых колебаний, с; f — частота колебаний, Гц. Звуковая мощность в дБ: Lw = 10lg(N/N0), где N0 = 10–12 Вт. В пределах указанных допущений звукоизоляция длинной линии системы вентиляции рассчитывается по следующей формуле:

Число элементов n для конкретной СВКВ может быть, конечно, больше указанных выше n = 6. Применим для расчета величин Ri теорию длинных линий к вышеуказанным характерным элементам системы вентиляции воздуха.
Входное и выходное отверстия системы вентиляции с R1 и R6. Место соединения двух узких труб с разными площадями поперечных сечений S1 и S2 по теории длинных линий — аналог границы раздела двух сред при нормальном падении звуковых волн на границу раздела. Граничные условия в месте соединения двух труб определяются равенством звуковых давлений и колебательных скоростей по обе стороны границы соединения, умноженных на площади поперечных сечений труб.
Решая полученные таким способом уравнения, получим коэффициент прохождения по энергии и звукоизоляцию места соединения двух труб с указанными выше сечениями:

Анализ этой формулы показывает, что при S2 >> S1 свойства второй трубы приближаются к свойствам свободной границы. Например, узкую трубу, открытую в полубесконечное пространство, можно считать с точки зрения звукоизолирующего эффекта как граничащую с вакуумом. При S1 << S2 свойства второй трубы приближаются к свойствам жесткой границы. В обоих случаях звукоизоляция максимальна. При равенстве площадей сечений первой и второй трубы отражение от границы отсутствует и звукоизоляция равна нулю независимо от вида сечения границы.
Активный глушитель шума R2. Звукоизоляцию в этом случае приближенно и быстро можно оценить в дБ, например, по известной формуле инженера А.И. Белова:

где П — периметр проходного сечения, м; l — длина глушителя, м; S — площадь поперечного сечения канала глушителя, м2; αэкв — эквивалентный коэффициент звукопоглощения облицовки, зависящий от действительного коэффициента поглощения α, например, следующим образом:
α 0,1 0,2 0,3 0,4 0,5 0,6 0,7 0,8 0,9 1,0
αэкв 0,1 0,2 0,4 0,5 0,6 0,9 1,2 1,6 2,0 4,0
Из формулы следует, что звукоизоляция канала активного глушителя R2 тем больше, чем больше поглощающая способность стенок αэкв, длина глушителя l и отношение периметра канала к площади его поперечного сечения П/S. Для лучших звукопоглощающих материалов, например, марки ППУ-ЭТ, БЗМ и АТМ-1, а также других широко используемых звукопоглотителей действительный коэффициент звукопоглощения α представлен в [6, 8, 14].
Тройник R3. В системах вентиляции наиболее часто первая труба с площадью сечения S3 разветвляется затем на две трубы с площадями сечения S3.1 и S3.2. Такое разветвление называется тройником: через первую ветвь звук поступает, через две другие проходит дальше. В общем случае первая и вторая труба могут состоять из совокупности труб. Тогда имеем

Звукоизоляция тройника от сечения S3 до сечения S3.i определяется по формуле

Заметим, что из-за аэрогидродинамических соображений в тройниках стремятся обеспечить равенство площади сечений первой трубы сумме площади сечений в разветвлениях.
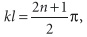
Реактивный (камерный) глушитель шума R4. Камерный глушитель шума представляет собой акустически узкую трубу с сечением S4, переходящую в другую акустически узкую трубу большого сечения S4.1 длиной l, называемой камерой, и затем вновь переходящую в акустически узкую трубу с сечением S4. Воспользуемся и здесь теорией длинной линии. Заменив в известной формуле звукоизоляции слоя произвольной толщины при нормальном падении звуковых волн характеристический импеданс на соответствующие обратные величины площади трубы, получим формулу звукоизоляции камерного глушителя шума [4]

где k — волновое число. Наибольшего значения звукоизоляция камерного глушителя шума достигает при sin(kl)= 1, т.е. при

где n = 1, 2, 3, … Частота максимальной звукоизоляции

где с — скорость звука в воздухе. Если в таком глушителе используется несколько камер, то формула звукоизоляции должна применяться последовательно от камеры к камере, а суммарный эффект рассчитывается применением, например, метода граничных условий. Эффективные камерные глушители требуют иногда больших габаритных размеров. Но их преимущество состоит в том, что они могут быть эффективны на любых частотах, в том числе низких, где активные глушители практически бесполезны.
Зона большой звукоизоляции у камерных глушителей шума охватывает повторяющиеся достаточно широкие полосы частот, но они имеют также периодические зоны пропускания звука, очень узкие по частоте [6]. Для повышения эффективности и выравнивания частотной характеристики камерный глушитель часто облицовывают изнутри звукопоглотителем [4].
Заслонка R5. Заслонка конструктивно представляет собой тонкую пластину площадью S5 и толщиной δ5, зажимаемую между фланцами трубопровода, отверстие в котором площадью S5.1 меньше внутреннего диаметра трубы (или др. характерного размера). Звукоизоляция такой дроссельной заслонки

где с — скорость звука в воздухе. В первом способе главный для нас вопрос при разработке нового метода — это оценка точности и надежности результата акустического расчета системы. Определим точность и надежность результата расчета звуковой мощности, поступающейв вентилируемое помещение — в данном случае величины

Перепишем это выражение в следующих обозначениях алгебраической суммы, а именно

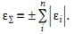
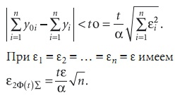
Заметим, что абсолютная максимальная ошибка приближенной величины есть максимальная разность между ее точным значением y0 и приближенным y, то есть ± ε= y0 – y. Абсолютная максимальная ошибка алгебраической суммы нескольких приближенных величин yi равна сумме абсолютных значений абсолютных ошибок слагаемых:

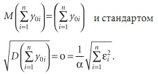
Здесь принят наименее благоприятный случай, когда абсолютные ошибки всех слагаемых имеют один и тот же знак. В действительности частные ошибки могут иметь различные знаки и быть распределены по разным законам. Наиболее часто на практике погрешности алгебраической суммы распределяются по нормальному закону (распределение Гаусса). Рассмотрим эти погрешности и сопоставим их с соответствующей величиной абсолютной максимальной погрешности. Определим эту величину при предположении, что каждый алгебраический член y0i суммы распределен по нормальному закону с центром M(y0i) и стандартом

Тогда сумма также следует нормальному закону распределения с математическим ожиданием

Погрешность алгебраической суммы определится как:

Тогда можно утверждать, что с надежностью, равной вероятности 2Φ(t), погрешность суммы не будет превосходить величины

При 2Φ(t), = 0,9973 имеем t = 3 = α и статистическая оценка при практически максимальной надежности погрешность суммы (формула) Абсолютная максимальная погрешность в этом случае

Таким образом ε2Φ(t)<< ε. Проиллюстрируем это на примере результатов расчета по первому способу. Если для всех элементов имеем εi = ε= ±3 дБ (удовлетворительная точность исходных данных) и n = 7, то получим ε= εn = ±21 дБ, а (формула). Результат имеет совершенно неудовлетворительную точность, он неприемлем. Если для всех характерных элементов системы вентиляции воздуха имеем εi = ε= ±1 дБ (очень высокая точность расчета каждого из элементов n) и тоже n = 7, то получим ε= εn = ±7 дБ, а (формула).
Здесь результат при вероятностной оценке погрешностей в первом приближении более или менее может быть приемлем. Итак, предпочтительной является вероятностная оценка погрешностей и именно ее следует использовать для выбора «запаса на незнание», который предлагается обязательно применять в акустическом расчете СВКВ для гарантии выполнения допустимых норм шума в вентилируемом помещении (ранее этого не делалось).
Но и вероятностная оценка погрешностей результата свидетельствует в данном случае о том, что достичь высокой точности результатов расчета по первому способу затруднительно даже для очень простых схем и низкоскоростной системы вентиляции. Для простых, сложных, низко- и высокоскоростных схем СВКВ удовлетворительной точности и надежности такого расчета можно достигнуть во многих случаях лишь по второму способу.
Второй способ акустического расчета . На морских судах давно используют способ расчета, основанный частично на аналитических зависимостях, но решающим образом — на экспериментальных данных [3]. Используем опыт таких расчетов на судах для современных зданий. Тогда в вентилируемом помещении, обслуживаемом одним j-м воздухораспределителем, уровни шума Lj, дБ, в расчетной точке следует определять по следующей формуле:

где Lwi — звуковая мощность, дБ, генерируемая в i-м элементе СВКВ, Ri — звукоизоляция в i-м элементе СВКВ, дБ (см. первый способ),

величина, учитывающая влияние помещения на шум в нем (в строительной литературе иногда вместо Q используют B). Здесь rj — расстояние от j-го воздухораспределителя до расчетной точки помещения, Q — постоянная звукопоглощения помещения, а величины χ, Φ, Ω, κ— эмпирические коэффициенты [13] (χ— коэффициент влияния ближнего поля, Ω— пространственный угол излучения источника, Φ— фактор направленности источника, κ— коэффициент нарушения диффузности звукового поля).
Если в помещении современного здания размещены m воздухораспределителей, уровень шума от каждого из которых в расчетной точке равен Lj, то суммарный шум от всех них должен быть ниже допустимых для человека уровней шума, а именно:

где LH — санитарная норма шума [13]. По второму способу акустического расчета звуковая мощность Lwi, генерируемая во всех элементах СВКВ, и звукоизоляция Ri, имеющая место быть во всех этих элементах, для каждого из них находится предварительно экспериментально. Дело в том, что за последние полтора-два десятилетия сильно прогрессировала электронная техника акустических измерений, совмещенная с компьютером [5].
В результате предприятия, выпускающие элементы СВКВ, должны указывать в паспортах и каталогах характеристики Lwi и Ri, измеренные в соответствии с национальными и международными стандартами [18, 19, 20]. Таким образом, во втором способе учитывается генерация шума не только в вентиляторе (как в первом способе), но и во всех остальных элементах СВКВ, что для средне- и высокоскоростной систем может иметь существенное значение.
Кроме того, поскольку невозможно рассчитать звукоизоляцию Ri таких элементов системы как кондиционеры, отопительные агрегаты, регулирующие и воздухораспределительные устройства, поэтому их в первом способе нет. Но ее можно определить с необходимой точностью путем стандартных измерений, что и делается теперь для второго способа. В итоге, второй способ, в отличие от первого, охватывает практически все схемы СВКВ.
И, наконец, второй способ учитывает влияние свойств помещения на шум в нем, а также значения допустимых для человека шума согласно в данном случае действующих строительных норм и правил [13]. Основной недостаток второго метода состоит в том, что в нем нет учета акустического взаимодействия между элементами системы — интерференционных явлений в трубопроводах.
Суммирование по указанной формуле акустического расчета СВКВ звуковых мощностей источников шума в ваттах, а звукоизоляции элементов в децибелах справедливо лишь, по меньшей мере, когда интерференции звуковых волн в системе нет. А когда интерференция в трубопроводах есть, то она может быть источником мощного звука, на чем основано, например, звучание некоторых духовых музыкальных инструментов.
Второй метод уже вошел в учебное пособие и в методические указания по курсовым проектам строительной акустики для студентов старших курсов Санкт-Петербургского государственного политехнического университета [14, 15]. Неучет интерференционных явлений в трубопроводах увеличивает «запас на незнание» или требует в ответственных случаях экспериментальной доводки результата до нужной степени точности и надежности.
Для выбора «запаса на незнание» предпочтительной является, как было показано выше для первого способа, вероятностная оценка погрешностей, которую предлагается обязательно применять в акустическом расчете СВКВ зданий для гарантии выполнения допустимых норм шума в помещениях при проектировании современных зданий.
Третий способ акустического расчета . Этот метод учитывает интерференционные процессы в узком трубопроводе длинной линии. Такой учет может кардинально повысить точность и надежность результата. С указанной целью предлагается для узких труб применить «способ импедансов» академика АН СССР и РАН Бреховских Л.М., который он использовал при расчете звукоизоляции произвольного числа плоскопараллельных слоев [1].
Итак, определим сначала входной импеданс плоскопараллельного слоя толщиной δ2, постоянная распространения звука которого γ2 = β2 + ik2 и акустическое сопротивление Z2 = ρ2c2. Обозначим акустическое сопротивление в среде перед слоем, откуда падают волны, Z1 = ρ1c1, а в среде за слоем имеем Z3 = ρ3c3. Тогда звуковое поле в слое, при опущении фактора i ωt, будет представлять собой суперпозицию волн, бегущих в прямом и обратном направлениях, со звуковым давлением

Входной импеданс всей системы слоев (формула) может быть получен простым (n – 1)-кратным применением предыдущей формулы, тогда имеем

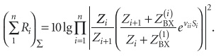
Применим теперь, как в первом способе, теорию длинных линий к цилиндрической трубе [2]. И таким образом, при интерференции в узких трубах имеем формулу звукоизоляции в дБ длинной линии системы вентиляции [6]:

Входные импедансы здесь могут быть получены как, в простых случаях, расчетом [1, 2], так и, во всех случаях, измерением на специальной установке современной акустической аппаратурой [3, 5, 6]. По третьему способу, аналогично первому способу, имеем звуковую мощность, исходящую из воздуховода нагнетания в конце длинной линии СВКВ и поступающую в вентилируемое помещение по схеме:

Далее идет оценка результата, как в первом способе с «запасом на незнание», и уровня звукового давления помещения L, как во втором способе. Окончательно получаем следующую основную формулу акустического расчета системы вентиляции и кондиционирования воздуха зданий:

При надежности расчета 2Φ(t)= 0,9973 (практически высшая степень надежности) имеем t = 3 и величины погрешностей равны 3σLi и 3σRi. При надежности 2Φ(t)= 0,95 (высокая степень надежности) имеем t = 1,96 и величины погрешностей равны примерно 2σLi и 2σRi, При надежности 2Φ(t)= 0,6827 (инженерная оценка надежности) имеем t = 1,0 и величины погрешностей равны σLi и σRi Третий способ, устремленный в будущее, более точен и надежен, но и более сложен — требует высокой квалификации в областях строительной акустики, теории вероятностей и математической статистики, современной измерительной техники.
Его удобно использовать в инженерных расчетах с применением компьютерных технологий. Он, по мнению автора, может быть предложен в качестве нового метода акустического расчета системы вентиляции и кондиционирования воздуха зданий.
Подводя итоги
Решение назревших вопросов разработки нового метода акустического расчета должно учитывать лучшее из уже имеющихся способов. Предлагается такой новый метод акустического расчета СВКВ зданий, который имеет минимальный «запас на незнание'BB, благодаря учету погрешностей методами теории вероятностей и математической статистики и учету интерференционных явлений методом импедансов.
Представленные в статье сведения о новом методе расчета не содержат некоторых необходимых подробностей, полученных дополнительными исследованиями и практикой работы, и которые составляют «ноу-хау» автора. Конечная цель нового метода — обеспечить выбор комплекса средств снижения шума системы вентиляции и кондиционирования воздуха зданий, который увеличивает, по сравнении с существующим, эффективность, уменьшая вес и стоимость СВКВ.
Технические регламенты в области промышленного и гражданского строительства пока отсутствуют, поэтому разработки в области, в частности, снижения шума СВКВ зданий актуальны и должны быть продолжены, по меньшей мере, до принятия таких регламентов [21, 22].