Рис. 1
Табл. 1
- Сделать теплосчетчик единственной измерительной мерой при расчетах за тепловую энергию и теплоноситель.
- Предоставить в распоряжение теплоснабжающих организаций возможность приобретения материальной базы и нормативных документов, позволяющих проводить периодическое обслуживание и контроль за теплосчетчиками с точки зрения их метрологических характеристик под контролем соответствующих служб Энергонадзора и Госстандарта.
- При выполнении условий п. 1 и п. 2 настоящей главы предоставить теплоснабжающим организациям возможность стать владельцами теплосчетчиков с правом их последующего технического обслуживания и закупки для своих узлов учета на конкурсной основе.
Разберем подробно каждое из вышеназванных предложений.
Анализ первого предложения
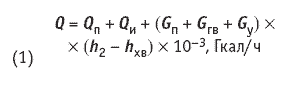
В настоящее время теплосчетчик не является единственным средством, по результатам измерений которого проводятся расчеты между потребителем и продавцом тепловой энергии. Обратимся к формуле (4.1) "Правил учета тепловой энергии и теплоносителя", используемой в качестве принципиального алгоритма при расчетах за тепловую энергию. В общем случае:

где Qп - тепловые потери на участке от границы балансовой принадлежности системы теплоснабжения потребителя до его узла учета (расчетная величина, которая указывается в договоре); Gп, Gгв, Gу - часовые потери массы теплоносителя, связанные с подпиткой независимой системы отопления потребителя, отбором теплоносителя на горячее водоснабжение из системы отопления и несанкционированными утечками в результате неплотности теплосети, т/ч; Gп + Gгв + Gу = G1 - G2 - для узла учета на рис. 1; Qи = G1 h1 - h2-3 - тепловая энергия, израсходованная потребителем, по показаниям теплосчетчика, Гкал/ч; G1, G2 - часовая масса теплоносителя, циркулирующая в прямом и обратном трубопроводе теплоносителя, т/ч; h1, h2, hхв - теплосодержание теплоносителя в прямом и обратном трубопроводе теплоносителя и исходное теплосодержание подпиточной воды, ккал/кг.
Qи - второй член уравнения теплового баланса (1) измеряется теплосчетчиком и обладает показателем, характеризующим качество измерений, т.е. погрешностью, которую присваивают теплосчетчику в процессе экспериментальных исследований его образцов при государственных испытаниях на соответствие типу СИ (при внесении в государственный Реестр СИ).
Qп - первый член уравнения теплового баланса (1) определяется расчетным путем теплоснабжающей организацией по методике СНиП 2.04.11-88 или по методике РД 34.09.225-97 (М СПО ОРГРЭС, 1998). Расхождение результатов расчетов, выполненных по методикам, приведенным в указанных документах, достигает 80 %. По отношению к действительному значению погрешность расчетов может достигать 100% и более, поскольку условия расчетов предполагают идеальное состояние трубопроводов теплосетей. В утвержденных методиках расчета Qп этой величине официально не дана качественная оценка (не нормирована погрешность).
Gп + Gгв + Gиh2 - hхв-3 - третий член уравнения (1) определяется теплоснабжающей организаций расчетным путем по средним значениям Gп, Gгв, Gи, h2, измеренных теплосчетчиком, и hхв, определенной по результатам измерений средней температуры на водозаборе за расчетный период. Эту составляющую уравнения теплового баланса теплосчетчику измерять запрещают в силу невозможности определения hхв на объекте эксплуатации. В силу указанного третий член уравнения также не имеет утвержденных качественных оценок (по оценкам некоторых экспертов погрешность определения указанного члена уравнениятеплового баланса достигает 10 %).
Есть также ряд ситуаций нештатной работы теплосчетчика, когда расчеты отпущенного тепла за него проводит теплоснабжающая организация, а именно:
❏расход теплоносителя находится за пределами диапазона измерений теплосчетчика;
❏разность температур в прямом и обратном трубопроводе меньше нормируемого предела измерений теплосчетчика и т.д.
Таким образом, существующая методика определения количества отпущенной тепловой энергии не позволяет дать надежную оценку качества измерений, т.е. не определяет, с какой погрешностью измерен потребленный продукт. В принципе, только один этот факт ставит ее вне норм отечественного и международного права.
Но, пожалуй, самым главным является то обстоятельство, что указанный метод на самом деле не выгоден ни потребителю, ни производителю тепловой энергии, поскольку не позволяет им четко спрогнозировать результаты своей хозяйственной деятельности.
Примечание. Представьте, что в магазине вам решили продавать мясо по сухой массе. Сначала взвешивают его целиком на весах. Потом вычитают вес костей, определенных расчетным путем посредством линейного обмера контуров выступающих частей. Затем вычитают вес влаги, определенной как усредненная величина для всей партии завезенного мяса. Нет сомнений, что в такой магазин вы больше никогда не пойдете.
На примере двухканального теплосчетчика проиллюстрируем суть предложения.
Основные положения:
❏тепловые потери Qп определяют экспериментальным путем на основании утвержденной методики в соответствии с предложенным ниже алгоритмом;
❏теплосодержание исходной воды учитывают в тарифе на тепловую энергию.
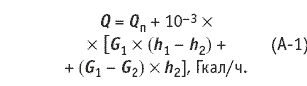
Принципиальное аналитическое выражение для определения тепловой энергии

Тепловые потери на участке от границы балансовой принадлежности системы теплоснабжения потребителя до его узла учета.
Определяются по результатам прямых измерений в среднестатистических условиях на основании методики, утвержденной в установленном порядке (см. рис. 1):

Принципиальные аналитические выражения по определению количества потребленной теплоты при работе теплосчетчика не в штатном режиме (см. рис. 1):
Действительный расход теплоносителя G1 = G2 = 0,0 м3/ч:

Действительный расход теплоносителя: 0 < G1 < Gmin, 0 < G2 < Gmin
При этом на шкале теплосчетчика отображаются действительные значения, а в расчетах принимается:

Действительный расход теплоносителя G1 > Gmax, G2 > Gmax. При этом на шкале теплосчетчика отображаются действительные значения, а в расчетах принимается:

где К — повышающий коэффициент, устанавливаемый в типовом договоре между потребителем и продавцом тепловой энергии.
Примечание. Рекомендуется коэффициент принимать К = 1 в силу того, что проблема ограничения максимального значения расхода теплоносителя решается как частный вопрос в системе обязательных мер по стабилизации гидравлического режима теплосети (например, посредством установки дроссельной шайбы установленного типоразмера - см. рис. 1).
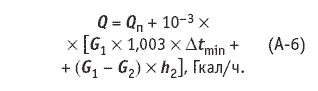
Перепад температур между прямым и обратным трубопроводом теплосети меньше нормируемого значения t1 - t2 ∆tmin. При этом на шкале теплосчетчика отображаются действительные значения, а в расчетах принимается:

Относительная разность расходов (накопленных масс) в прямом и обратном трубопроводе теплосетей меньше нормируемого значения:
|100 ×(G – G )/G | ≤ |d∆M|
где d∆M — предел погрешности измерений накопленной массы теплосчетчиком, нормированный в его НТД, %.
При этом на шкале теплосчетчика отображаются действительные значения, а в расчетах принимается:

Одновременная комбинация условий ситуаций (А-4), (А-6) и (А-7). При этом на шкале теплосчетчика отображаются действительные значения, а в расчетах принимается:

Техническая неисправность теплосчетчика, в т.ч. отключение его электропитания - определение отпущенной тепловой энергии проводится расчетным путем в соответствии с п. 9.9 и п. 9.10 "Правил учета тепловой энергии и теплоносителя".
Примечание. Это, пожалуй, единственная нештатная ситуация, решение которой нельзя доверить прибору учета (теплосчетчику).
Реализация первого предложения позволит:
- Предельно упростить систему расчетов.
- Повысить точность и предсказуемость товарного обмена между производителем и потребителем.
- Экономически заинтересовать потребителя и производителя тепловой энергии в получении качественного средства измерений в лице теплосчетчика.
-
Понизить стоимость коммерческого учета в целом за счет:
- снижения затрат на оборудование и персонал, который в настоящее время выполняет часть работы теплосчетчика;
- понижения стоимости теплосчетчика, вследствие удаления из него 75 % ресурсов, которые задействованы на формирование, хранение и обработку статистики, необходимой для последующих расчетов теплоснабжающим организациям.
Анализ второго предложения
Основой материальной базы для периодической поверки теплосчетчиков и выборочных исследований их метрологических характеристик в реальных условиях эксплуатации должна являться эталонная (поверочная) расходомерная установка с возможностью работы на горячей воде (в дальнейшем по тексту - Установка).
Установка позволит теплоснабжающей организации проводить периодическую поверку и ремонт теплосчетчиков, которые используются на ее узлах учета для целей коммерческихрасчетов с потребителями тепловой энергии. Наличие установки также позволит освидетельствовать в установленном порядке с требуемой точностью эксплуатационное эталонное средство измерений. (Например, переносной ультразвуковой расходомер-счетчик воды с накладными датчиками (Gк - см. рис. 1) как наиболее простой из десятка способов реализации эталонного СИ для контроля, градуировки и поверки канала измерений расхода теплосчетчика на объекте эксплуатации.)
Примечание.
- Вопреки расхожему мнению погрешность лучших образцов ультразвуковых расходомеров в диапазоне скоростей 1-10 м/с укладывается в пределах ±0,5 % при определенных условиях измерений.
- Определенными условиями измерений является наличие калиброванной трубной вставки из нержавеющего материала с известными геометрическими размерами и системой для создания симметричной эпюры скоростей (ВТК со струевыпрямителем - см. рис. 1).
- Наличие контрольных СИ (по сути эксплуатационных эталонов) при необходимости позволит вносить коррективы в результаты измерений теплосчетчика (поверять его) не снимая его с места эксплуатации. Последнее крайне важно при поверке СИ большого типоразмера на источниках тепловой энергии, поскольку позволит надежно отградуировать их с относительной погрешностью в пределах ±1,5 %.
- Для указанных целей следует выбирать ультразвуковой расходомер с повторяемостью (случайной погрешностью) его результатов измерений в пределах ±0,5 %. Перед покупкой реальные качества ультразвукового расходомера следует проверить экспериментальными исследованиями на Установке.
- Стоимость многоканального ультразвукового расходомера требуемого класса точности находится в пределах $ 8000-15 000.
- Стоимость горячеводной поверочной расходомерной установки (Установки) в зависимости от класса точности, степени автоматизации и диапазона измерений находится в пределах $ 80 000-150 000.
Эталонный расходомер-счетчик требуемого класса точности (в дальнейшем - контрольное СИ) необходим в первую очередь для определения метрологического брака теплосчетчика в первом приближении на узле коммерческого учета.При возникновении хозяйственного спора теплосчетчик можно снимать и проверять на Установке. Результаты проверки теплосчетчика на Установке являются последним аргументом в споре сторон о его качестве. Оплачивает указанные работы виновная сторона, если иное не предусмотрено условиями двухстороннего договора.
Примечание. Последнее является распространенной процедурой в странах ЕЭС. Там в подавляющем большинстве теплосчетчик принадлежит теплоснабжающей организации, которая взимает с потребителя арендную плату за пользование им. Потребитель в любое время имеет право поверить теплосчетчик и выставить теплоснабжающей организации счет за понесенные убытки в случае, когда его погрешность вышла за нормируемые пределы.
Очень важно понимать, что контрольные СИ должны быть также у соответствующих служб Энергонадзора и Госстандарта, которые наряду с теплоснабжающей организацией в установленном порядке проводят периодический перекрестный надзор за качеством узлов учета по собственной инициативе или по инициативе потребителя. Указанные меры должны сопровождаться периодическими испытаниями использующихся и вновь разрабатываемых теплосчетчиков по утвержденной программе на Установке в условиях максимально приближенных к эксплуатационным режимам работы. Целью указанных испытаний должно являться объективное определение оптимальных типов СИ по критерию "цена-качество". Данные, полученные по результатам указанных натурных исследований, должны лечь в основу критериев конкурса на право применения теплосчетчиков в составе коммерческих узлов учета. Следует особо отметить, что в целях экономии средств и организации эффективной хозяйственной работы Установка не обязательно должна принадлежать теплоснабжающей организации. Указанные работы теплоснабжающая организация может поручить на условиях договора субъектам хозяйственной деятельности, которые уже имеют должную материальную базу. Главным при этом является наличие установленной процедуры сличения между их эталонными средствами измерений. Указанная мера позволяет эффективно добиваться реального единства измерений.
Примечание. Опыт эксплуатации эталонных СИ позволяет утверждать, что как бы скрупулезно не была продумана программа их исследований, всегда существует вероятность грубых просчетов. Другими словами, всегда существует вероятность неучета физических факторов, которые в действительности могут привести к грубым промахам при проведении измерений эталонными СИ. Вот почему основным критерием отсутствия грубых промахов является процедура их сличения. В подтверждение сказанному можно привести примеры, когда на Установках с пределом относительной погрешности ±0,1 % получают разницу в результатах измерений при поверке одного и того же счетчика воды в пределах ±5 %.
Реализация второго предложения позволит:
- Внедрить эффективную систему надзора за метрологическими характеристиками теплосчетчиков, которые эксплуатируются либо планируются к применению на узлах коммерческого учета.
- Существенно уменьшить финансовые потери, связанные с некачественными измерениями теплосчетчиков на узлах коммерческого учета (по некоторым оценкам, на 10-20 %).
Анализ третьего предложения
Рассмотренные меры обретут реальность только в лице эффективного собственника приборов учета в лице теплоснабжающей организации. Как уже указывалось выше, в промышленно развитых странах приборы учета стоят на балансе теплоснабжающих организаций, которые обеспечивают их ремонт, периодическое обслуживание и эффективный надзор за метрологическими характеристиками. Потребитель тепловой энергии платит арендную плату продавцу за пользование указанными СИ.
Примечание. Действительно трудно представить, что каждый покупатель приходит в продовольственный магазин со своими весами.
Логичным следствием указанного положения является передача права проведения конкурсов на применение теплосчетчиков той теплоснабжающей организации,на узлах учета которой они будут применяться. Теплосчетчики, которые уже стоят на балансе других субъектов хозяйствования, должны быть переданы теплоснабжающей организации в установленном порядке с соответствующей компенсацией, если их метрологические характеристики удовлетворяют установленным требованиям.
Подведем итог сказанному. Для реализации корректного учета тепловой энергии и теплоносителя необходимо следующее:
1. Нормативные документы (НД).
1.1. Нормативные документы, утверждаемые в установленном порядке на федеральном уровне с соответствующими изменениями:
❏правила учета тепловой энергии и теплоносителя;
❏методика расчета тарифов на тепловую энергию.
1.2. Нормативные документы, утверждаемые в установленном порядке соответствующими экспертными центрами Госстандарта.
❏программа и методика испытаний контрольного эталонного расходомера-счетчика воды на горячеводной поверочной расходомерной установке;
❏программа периодических испытаний счетчиков воды в составе теплосчетчиков на горячеводной поверочной расходомерной установке;
❏методика контроля метрологических характеристик счетчиков воды в составе теплосчетчиков и их периодическая поверка на объектах эксплуатации с помощью эталонного (контрольного) расходомера-счетчика. Утверждается соответствующим экспертным центром Госстандарта.
2. Материально-техническая база.
2.1. Горячеводная поверочная расходомерная установка, освидетельствованная в установленном порядке соответствующим экспертным центром Госстандарта.
2.2. Система эталонных расходомеровсчетчиков воды высокого класса точности (например на базе ультразвуковых или электромагнитных счетчиков воды высокого класса точности, которые присоединяются к тепловому узлу стационарными либо передвижными средствами).
3. Источник финансирования.
3.1. При разработке нормативных документов федерального значения предлагается использовать финансовые средства, направляемые для удовлетворения общегосударственных потребностей.
3.2. Создание материальной базы по надзору за метрологическимихарактеристиками теплосчетчиков и разработка соответствующей нормативной документации должна осуществляться теплоснабжающей организацией из специального фонда. Финансовые средства фонда определяются установленным размером налоговых льгот, которые поступают целевым назначением для создания требуемого уровня развития материальной базы и закупки приборов учета.
>>> Также читайте по теме Еще раз о коммерческом учете тепловой энергии, или Что продается в системах теплоснабжения? в журнале СОК 2004 №12