Рис. 1. Схема установки для циркуляционного подогрева мазута
Рис. 2. Температурное поле в резервуаре в момент выхода на стационарный режим
Рис. 3. Температурное поле в резервуаре с направляющим элементом в форме цилиндрической трубы с донным отражателем глухого типа в момент выхода процесса на стационарный режим
Рис. 4. Схема дрейфа рабочей точки циркуляционного насоса в процессе разогрева мазута
Типичная для России система теплоснабжения — это наружные тепловые сети и источник теплоснабжения. Причем при выходе из строя отдельных участков тепловой сети возможна их быстрая замена либо резервирование на время ремонтных работ (в случае кольцевых сетей). При аварии на источнике теплоты без теплоснабжения остаются все потребители и может возникнуть угроза размораживания всей системы.
Таким образом, к оборудованию в составе котельной техники предъявляют повышенные требования в отношении надежности работы. Основным элементом котельной установки является система топливоснабжения, которая обеспечивает подачу основного и хранение аварийного топлива. При перебоях в подаче основного система должна обеспечить подачу к котлам аварийного топлива на период ликвидации аварии.
Поэтому склад аварийного топлива должен всегда находиться в рабочем состоянии. Для газовых котельных аварийным видом топлива, как правило, является жидкое. Наиболее распространен в качестве жидкого топлива мазут, а его склад и топливоподача — самые затратные в плане эксплуатации и энергоемкости, т.к. рабочее состояние мазута поддерживается путем постоянного его разогрева в резервуарах-хранилищах.
Наиболее распространенная схема подогрева мазута — циркуляционная, а для мазута марки М100 и выше единственно применимая схема приведена на рис. 1. В паромазутном теплообменнике 5 осуществляется подогрев мазута до температуры 70–120°С, в зависимости от марки мазута. Горячий мазут подается в резервуар-хранилище 3 по мазутопроводу 1, ось которого совпадает с осью резервуара. Нагретый мазут отводится с помощью системы трубопроводов 2, расположенных вблизи дна.
Циркуляция мазута в системе осуществляется с помощью насоса 4. Существующие методы расчета процессов циркуляционного разогрева не дают требуемого представления о тепловых и гидравлических процессах внутри резервуара. Поэтомутребуются математические модели, свободные от этого недостатка, позволяющие получить полную физическую картину работы установки, а также найти оптимальные по энергозатратам режимы эксплуатации.
Автором для описания процессов в резервуаре предложена математическая модель установки для разогрева жидкого топлива, состоящая из следующих расчетных элементов:
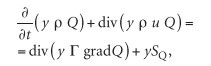
1. гидродинамика и теплообмен в резервуаре с топливом моделируются на основе двухмерных нестационарных уравнений Навье-Стокса, записанных в обобщенном виде:

где Q — обобщенная переменная, вектор зависимых переменных задачи; Г— коэффициенты переноса, учитывающие диффузию и теплоперенос; SQ — источниковые члены, соответствующие компонентам вектора Q.

где u — проекция вектора скорости на ось ОХ, n — проекция вектора скорости на ось ОY, t — температура, μ — коэффициент динамической вязкости, p— давление, λ— коэффициент теплопроводности жидкости, c — теплоемкость жидкости, β— коэффициент температурного расширения жидкости, ν= t – t∞— повышение температуры нагретой частицы жидкости по сравнению с температурой частиц, оставшихся не нагретыми, p— плотность жидкости.
Замыкающими соотношениями для этой системы уравнений являются температурные зависимости теплофизических характеристик мазута. Расчетной областью для системы исходных уравнений является 6 (рис. 1).Получение разностных уравнений основано на методе контрольного объема. В данной работе используется шахматное расположение сетки, когда компоненты скорости рассчитываются на гранях контрольных объемов, а давление в узлах сетки.
Решение разностных уравнений производится методом SIMPLE [2]. 2. Работа насосной установки описывается с помощью насосной характеристики. Причем, изменение вязкости мазута в процессе его разогрева приводит к изменению, как рабочей характеристики насоса, так и характеристики сети. Поэтому рабочая точка насоса будет меняться, а вместе с ней будет меняться энергопотребление насоса.
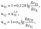
Пересчет характеристик центробежных насосов с воды на вязкую жидкость (мазут) выполняется с помощью известных соотношений [3]: H= kHHB, Q= kQQB, η= kηηB, где HB,QB, ηB — напор, подача и КПД насоса при работе на воде; H, Q, η— напор, подача и КПД насоса при работе на вязкой жидкости; kH, kQ, kη — коэффициенты пересчета соответственно напора, подачи и КПД насоса с воды на вязкую жидкость, которые зависят от зоны гидравлического сопротивления, в которой работает насос. В качестве определяющего параметра используется число Рейнольдса:

где n — число оборотов ротора насоса; D2 — наружный диаметр лопаток рабочего колеса. Пересчет характеристик насоса необходим в том случае, когда Re не превышает величину переходного числа Рейнольдса ReП = 316000nS–0,305, где nS — коэффициент быстроходности насоса. Для вычисления коэффициентов пересчета напора, подачи и КПД с воды на вязкую жидкость используются следующие соотношения:

где ReГР — граничное число Рейнольдса, вычисляемое по cледующей формуле: ReГР = 22400nS–0,384; Reв — число Рейнольдса при работе насоса на воде, an— поправочный коэффициент, an= 1,33nS –0,326. 3. Теплопотери в грунт определяются путем решения уравнения теплопроводности для грунта, записанного в цилиндрической системе координат.
Причем, в качестве граничных условий на нижней границе (на глубине 8 м) принятатемпература грунта, равная 6°С, которая остается постоянной в течение года для Предуралья. На боковых границах изменение температуры от поверхности земли в глубину задано по линейному закону. 4. Теплообмен на внешних поверхностях резервуара учитывается путем решения задачи теплообмена на внешней поверхности резервуара при его обдувании ветром.
Коэффициент теплоотдачи на внешней поверхности определяется из критериального уравнения. 5. Гидравлическое сопротивление топливопроводов 2 и теплообменника 5 рассчитывается с помощью известных соотношений гидродинамики.В расчетах система отводящих трубопроводов заменяется эквивалентной кольцевой щелью, что позволяет рассматривать расчетную область в цилиндрической системе координат, симметричной относительно оси OХ.
Важно, что, скорость на входной границе для уравнений (1) определяется после расчета гидравлического сопротивления топливопроводов. На данном этапе задача моделирования работы склада жидкого топлива решена без учета турбулентности. На рис. 2 представлены температурные поля в резервуаре в момент выхода на стационарный режим. Из анализа следует (см. рис. 2), что в случае классической конструкции до требуемой температуры (80°С) разогрето только 5,2% объема резервуара.
Причиной этого является локализация зоны разогрева вблизи дна резервуара. В случае установки резервуара на грунт без теплоизоляции, такая локализация приводит к возрастанию теплопотерь через дно. Для исключения этого недостатка автором предложено использовать так называемые направляющие элементы, изменяющие направление струй разогретого мазута в резервуаре.
На рис. 3 представлено температурное поле в резервуаре с направляющим элементом в форме цилиндрической трубы с донным отражателем глухого типа в момент выхода процесса разогрева на стационарный режим. Применение направляющего элемента позволило значительно увеличить долю разогретого мазута. Так, доля разогретого до требуемой температуры мазута к моменту выхода на стационарный режим для классической установки составляет 5,2%.
В случае применения донного отражателя глухого типа, доля разогретого мазута составляет 47%. Время выхода на стационарный режим возрастает всего на 2,5 ч. Особенности зависимости потребляемой насосом мощности от времени объясняются дрейфомрабочей точки насоса, вызванным температурным изменением коэффициента кинематической вязкости, что иллюстрируется схемой на рис. 4. Точка А соответствует началу разогрева мазута, характеризующемуся низкой температурой мазута в районе отводящего патрубка.
В результате развития циркуляционного процесса в резервуаре температура в районе отводящего патрубка возрастает, что приводит к повышению характеристики насоса при одновременном понижении характеристики сети. Этому состоянию соответствует точка В. Дальнейшему разогреву соответствует точка С. Так как мощность насоса:

то значения N в процессе разогрева могут проходить через точки экстремума, особенно заметные при изменении схемы циркуляции за счет направляющих элементов. Здесь nH, nM, nЭ — КПД насоса, механической передачи и электродвигателя соответственно. Таким образом, расчетная детализация процесса разогрева мазута позволяет выработать наиболее экономичные схемы организации циркуляционных процессов в резервуаре. Такой численный подход к решению задачи расчета установок для хранения и разогрева топлива позволяет получить детальную картину процесса, а также разработать вторичные модели, пригодные для использования в проектной работе.