Рис. 1. Расчетная схема стены с окном
Рис. 2. Термическое сопротивление теплопередаче окна с двойным остеклением
Рис. 3. Термическое сопротивление теплопередаче тройного остекления
Дискомфорт проявляется как в увеличении интенсивности «холодного» излучения поверхности окна в сторону человека, так и повышении влажности в помещении. Уменьшение передачи теплоты через окна может быть достигнуто при повышении термического сопротивления прослойки между стеклами и снижении теплового потока, передаваемого излучением.
Уменьшение радиационного потока теплоты возможно за счет увеличения толщины воздушной прослойки, за счет применения многослойных конструкций (трехслойное остекление, многокамерные стеклопакеты) и использования селективного (теплоотражающего) покрытия, отражающего излучение в инфракрасной области спектра. Сложность и многофакторность задачи исследования и прогнозирования теплотехнических характеристик окон определяет и методы их исследования.
Поскольку экспериментальные исследования являются длительными и дорогостоящими, то их следует использовать на завершающем этапе разработки конструкции, а для проведения предварительных исследований и проведения сравнительной оценки эффективности оконных конструкций целесообразно использовать методы математического моделирования процессов в светопрозрачных ограждающих конструкциях зданий на базе современных компьютерных систем, позволяющих с высокой степенью достоверности и приближения к реальным условиям прогнозировать качественные характеристики как ограждающих конструкций в целом, так и отдельных узлов.
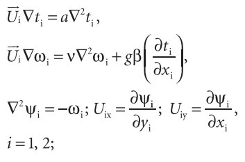
Процесс теплопередачи через окна включает перенос теплоты теплопроводностью через стекла, а также теплопроводностью, конвекцией и излучением через воздушные прослойки. На формирование температурного поля в воздушных прослойках оказывает влияние конструкциястены (рис. 1). Поэтому задачу необходимо рассматривать как сопряженную, а система уравнений, описывающая процесс теплопередачи через стену с окнами, должна включать:
- уравнения конвективного теплообмена в воздушных прослойках (внутренняя прослойка i = 1 и наружная i = 2):

- уравнения теплопроводности стекол (внутреннее стекло j = 1, среднее j =2 и наружное j = 3) —λ∇2 ϑj = 0, j =1,2,3;
- уравнение теплопроводности оконной рамы, оконного переплета и участка стены —λ∇2 θ = 0.
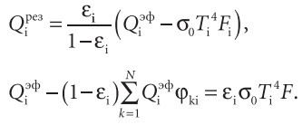
На границах газонаполненной полости задаются условия сопряжения температурных полей воздушных прослоек, стены, оконного переплета и стекол. На внутренней и наружной поверхности стены, окна и переплета задается конвективный теплообмен. Результирующий поток теплового излучения на поверхностях Fi, участвующих во взаимном облучении, вычислялся в результате решения системы уравнений:

Задача записана для окон с тройным остеклением. Для прогнозирования теплотехнических характеристик окна с двойным остеклением из формулировки задачи следует исключить уравнения конвективного теплообмена одной из прослоек. На рис. 2 приведено термическое сопротивление теплопередаче через окна с двойным остеклением высотой 1 м с различной толщиной воздушной прослойки и при различной температуре наружного воздуха.
Для окон с толщиной воздушной прослойки до 8–10 мм теплопередача происходит в основном теплопроводностью и излучением (прослойка докритической толщины). Конвекция в таких прослойках либо отсутствует, либо пренебрежимо мала. С увеличением толщины увеличивается доля лучистой составляющей, т.к. увеличивается разность температуры на поверхностях внутреннего и наружного стекол, но вследствие того, что термическое сопротивление теплопроводности из-за увеличения толщины прослойки увеличивается в большей степени, термическое сопротивление теплопередачи увеличивается. При воздушных прослойках толщиной больше 8–10 мм начинает развиваться конвективное течение и возникает неравномерность распределения температуры по высоте стекол.
Теплота в этом случае передается кондуктивно-конвективным способом и излучением. Вклад конвекции в кондуктивно-конвективное сопротивление начинает увеличиваться. Суммарное кондуктивно-конвективное термическое сопротивление оказывается меньше, чем термическое сопротивление при отсутствии конвекции. Термическое сопротивление теплопередачи начинает уменьшаться.
Таким образом, при толщине воздушной прослойки приблизительно 16–20 мм термическое сопротивление теплопередачи достигает максимума. Снижение термического сопротивления теплопередачи происходит до значения толщины 30 мм, затем оно начинает увеличиваться. Лучистый тепловой поток при этом уменьшается вследствие увеличения неравномерности распределения температуры по высоте окна.
Конвективный теплообмен увеличивается из-за перехода одноячейкового режима к многоячейковому режиму течения [1]. При дальнейшем увеличении толщины воздушной прослойки степень увеличения конвективного теплообмена и увеличения кондуктивного термического сопротивления выравниваются, и кондуктивно-конвективный тепловой поток изменяется незначительно.
Термическое сопротивление теплопередачи при этом увеличивается из-за увеличения толщины воздушной прослойки. В воздушной прослойке более 70 мм (окна со спаренными и раздельными переплетами) происходит смена многоячейкового течения течением в режиме пограничного слоя. При этом соотношение между конвективно-кондуктивной и лучистой составляющей изменяется незначительно, но начинает сказываться отвод теплоты через оконный переплет и стену — с увеличением толщины прослойки термическое сопротивление сначала увеличивается, а затем уменьшается.
Кроме того, на термическое сопротивление заметное влияние оказывает температура наружного воздуха. Тройное остекление применяется в виде двухкамерных стеклопакетов различной толщины, а также в виде комбинации однокамерного стеклопакета малой (докритической) толщины и одинарного стекла в рамах со спаренными или раздельными переплетами.
Поэтому в отличие от двухслойного остекления предусматривается меньшая толщина прослоек между стеклами трехслойного остекления. В подобных конструкциях окон важно правильно установить прослойку докритической толщины (снаружи или изнутри). Для остекления принято обозначение Fδc1 – δ1 – Fδc2 – δ1 – F δc3, где δc— толщина стекла; δ— толщина воздушной прослойки.
Толщина внутреннего стекла δc1, среднего стекла δc2 и наружного стекла δc3 принималась одинаковой — 4 мм. Расчеты проведены для стекол, полученных флоат-методом (Fδc1 = Fδc2 = Fδc3 = F4). Термическое сопротивление теплопередаче тройного остекления имеет максимальное значение для окон с воздушными прослойками равной толщины (рис. 3). Для остекления с воздушной прослойкой докритической толщины, расположенной изнутри, термическое сопротивление меньше термического сопротивления остекления с воздушными прослойками равной толщины меньше на 2,2–3,4%.
Для остекления с воздушной прослойкой докритической толщины, расположенной снаружи, термическое сопротивление меньше термического сопротивления остекления с воздушными прослойками равной толщины на 3,7–4,9%. Снижение термического сопротивления в этом случае обусловлено выравниванием лучистого теплового потока по поверхности внутренней воздушной прослойки.
Максимальное значение термического сопротивления получено при толщине воздушных прослоек с конвективным теплообменом 22–23 мм (отметим, что для двухслойного 16–20 мм), а минимальное при толщине ~~35 мм. Дальнейшее увеличение толщины воздушных прослоек приводит к увеличению термического сопротивления, как и для окна с двойным остеклением. Если сравнить термическое сопротивление окна с обеими прослойками докритической толщины (до 10 мм), то термическое сопротивление увеличивается:
- при толщине 22 мм на 11% и при толщине 35 мм на 9,7% для варианта с равной толщиной;
- при толщине 22 мм на 7,4% и при толщине 35 мм на 6,7% для варианта с прослойкой докритической толщиной изнутри;
- при толщине 22 мм на 5,7% и при толщине 35 мм на 5,1% для варианта с прослойкой докритической толщиной снаружи.
Положительное влияние конвекции обусловлено наравномерностью температуры и плотности теплового потока по высоте окна, в результате чего интегральный тепловой поток, проходящий через окно с тройным остеклением, уменьшается.