Рис. 1. Изменение температуры воды (1) и наружной поверхности (2) по высоте чугунного секционного радиатора при движении теплоносителя по схеме «сверху вниз» в двухтрубной системе отопления
Рис. 2. Зависимость сопротивления теплообмену Rв на внутренней поверхности стенки трубы от расхода теплоносителя G и внутреннего диаметра
Рис. 3. Основные схемы присоединения радиаторов к теплопроводам систем водяного отопления
Рис. 4. Способы размещения отопительных приборов
Рис. 5. Схема циркуляции воздуха в помещении при различных расположениях отопительного прибора
Рис. 6. Размещение высокого и короткого отопительного прибора под окном
Рис. 7. Секция, вид сбоку
Табл. 1. Усредненные значения показателей степени m и n и коэффициента c при различных схемах движения теплоносителя в чугунных секционных радиаторах
Табл. 2. Усредненные значения поправочного коэффициента b
Табл. 3. Усредненные значения коэффициента b3, учитывающего влияние количества секций в радиаторе на его тепловой поток
Табл. 4. Усредненные значения поправочного коэффициента p при движении теплоносителя по схеме «снизу вверх»
Понятие «чугунные секционные радиаторы» состоит из трех слов, каждое из которых несет определенную смысловую нагрузку, раскрывает некоторые существенные признаки этого материального предмета. Рассмотрев все слова по отдельности, можно определить не только случаи, в которых данный отопительный прибор более предпочтителен, но и получить ответы на вопросы: почему реальная теплоотдача прибора отличается от номинальной, какой конкретно чугунный радиатор предпочесть, где его монтировать и почему.
Радиатор
Теплоперенос от жидкого теплоносителя через твердую стенку отопительного прибора к газообразному воздуху — процесс достаточно сложный, что видно уже хотя бы по полному спектру задействованных в нем агрегатных состояний вещества (разве что кроме плазмы). Поэтому во время обогрева помещения можно наблюдать все элементарные виды передачи тепла: теплопроводность, конвекция и тепловое излучение.
Теплопроводность наиболее ярко выражена при переносе тепла внутри стенки и в меньшей степени от теплоносителя к стенке. Что касается воздуха, то в нем основную роль играет конвективно-лучистый перенос тепла (совместный перенос тепла излучением и конвекцией).По доле того и другого способов теплоотдачи все отопительные приборы условно разделяют на группы:
- конвективные (конвекция не менее 75 %);
- конвективно-радиационные (конвекция от 50 до 70 %);
- радиационные (излучение не менее 50 %).
Радиаторы, приборы с гладкой, т.е. без оребрения, поверхностью относятся ко второй группе. За конвективную составляющую отвечает развитость поверхности теплообмена. У радиаторов этот показатель достаточно средний: с одной стороны, отсутствие ребер, с другой — некоторый рельеф все же имеется (если сравнивать с гладкотрубными приборами).
На теплоперенос конвекцией влияет множество факторов среды, в числе которых температура, скорость и схема движения теплоносителя, температура и подвижность воздуха в помещении, местоположение отопительного прибора, наличие и форма ограждающих конструкций. Увеличение температуры воды на входе в радиатор повышает равномерность температурного поля на внешней поверхности прибора, а также среднюю температуру внутри прибора tср, а, следовательно, увеличивается температурный напор tпр, рассчитываемый по формуле (1), что, в свою очередь, положительно влияет на коэффициент теплопередачи kпр, характеризующий, собственно, интенсивность переноса тепла от прибора в помещение:
tпр = 0,5(tн + tк) – tв = tср – tв, (1)
где tн — температура входящего в радиатор теплоносителя; tк — температура теплоносителя на выходе из радиатора; tв — температура окружающего радиатор воздуха; tср — средняя температура внутри прибора. Что интересно, номинальным температурным напором tном считается 70 °C при tср = 90 °C и tв = 20 °C, т.е. средняя температура фактически подменяется входящей, поэтому нет ничего удивительного в том, что реальная мощность отопительного прибора нередко оказывается ниже заявленной.
Насколько ниже, можно узнать, умножив паспортное значение теплоотдачи Qном на частное от деления tпр на tном. Во время теплопереноса в чугунном секционном радиаторе теряется в общей сложности около 7–8 °C. Каких изменений температуры наружной поверхности чугунного радиатора следует ждать с понижением температуры теплоносителя, показано на рис. 1.
Увеличение скорости протекания теплоносителя снижает сопротивление теплообмену на внутренней поверхности прибора, другими словами, повышается коэффициент внутреннего теплообмена (большее количество тепла передается от воды к стенкам радиатора). Зависимость, правда, не линейная, а гиперболическая (см. рис. 2). Стандартным расходом Gном, для которого в заводской документации на радиатор указывается номинальный тепловой поток, считается 360 кг/ч (0,1 кг/с), в связи с чем фактический расход Gпр в итоговой формуле необходимо разделить на Gном.
Схема движения теплоносителя зависит от места присоединения подающего и отводящего теплопроводов к отопительному прибору. Три основные схемы: тупиковые «сверху вниз», «снизу вверх» и проходная «снизу вниз» показаны на рис. 3.Наиболее высоким коэффициент теплопередачи kпр получается, если подключать радиатор по схеме а, наименьшим — по схеме в.
Способ подсоединения учитывается при теплотехническом расчете введением поправочного коэффициента c, на который умножается расчетная мощность радиатора, а также эмпирических показателей степени m и n при, соответственно, протоке и температурном напоре. На теплопередачу конвекцией влияют различные ограждения, расположенные вокруг отопительного прибора: подоконник, ниша, декоративные решетки.
К слову, радиационную составляющую описанные конструкции в любом случае ослабляют, что однозначно уменьшает общий тепловой поток. Поэтому, чтобы сохранить или даже приумножить расчетную мощность, рекомендуется не разделять эстетические и инженерные вопросы, чтобы дизайн не мешал эффективному обогреву. Любые внешние помехи учитываются в расчете с помощью коэффициента b4.
На рис. 4 представлены некоторые распространенные примеры установки радиаторов в помещениях. Декоративный шкаф со стандартными прорезями по 100 мм сверху и снизу (см. рис. 4а) снижают теплоотдачу на 12 % (b4 = 1,12). Отопление также станет менее эффективным в случае размещения радиатора в нише (см. рис. 4б, b4 = 1,05). Если же подойти к вопросу индивидуально, по-научному, исходную мощность можно сохранить (см. рис. 4в, b4 = 1) или даже увеличить (см. рис. 4г, b4 = 0,9).
На подвижность воздуха влияет периодическое или постоянное пребывание в помещении людей, расположение общеобменной и местной вентиляции. Индивидуальный вентилятор, нередко встречающийся в конвекторах, радиаторам обычно не полагается, по крайней мере, в заводской комплектации. Сам радиатор рекомендуется размещать не у внутренней стены помещения (см. рис. 5б), как может показаться логичным (ведь так сокращается количество стояков, да и теплоотдача увеличивается на 5–8 %), а у наружной, под окном (см. рис. 5а), с перекрытием не менее 3/4 ширины оконного проема (т.е. длинные и низкие отопительные приборы предпочтительнее высоких и коротких).
При таком расположении поток теплого воздуха от радиатора препятствует движению воздуха с пониженной температурой у пола помещения (вспоминаем пословицу насчет того, что в тепле надо держать как раз ноги). Слишком короткий отопительный прибор (см. рис. 6) провоцирует активный подъем мощной струи теплого воздуха к потолку, что является причиной излишнего перегрева верхней части помещения, в то время как по обеим сторонам такого прибора в нижнюю часть помещения поступает холодный воздух.
В результате, несмотря на правильно подобранную мощность радиатора, людям все равно некомфортно из-за холодного сквозняка на полу и жары в районе головы. На коэффициент теплопередачи kпр также оказывает влияние атмосферное давление. Дело в том, что указанные в технической документации параметры рассчитаны для стандартного давления 760 мм ртутного столба (101 325 Па).
При пониженном атмосферном давлении коэффициент теплопередачи также немного снизится из-за уменьшения плотности воздуха, для этого вводится поправочный коэффициент b (см. табл. 2).Теперь рассмотрим радиационную составляющую. Теплоперенос излучением зависит от материала, цвета, формы и площади внешней поверхности радиатора, взаимного расположения, материала и формы предметов в помещении.
Тепло есть энергия, поэтому может принимать форму длинноволновой электромагнитной радиации. Любая радиация распространяется по прямой с одной и той же скоростью (300 000 км/с),но имеет разные длины волн. Лучистая теплота представляет собой длинноволновую низкоэнергетическую форму радиации. При падении радиации на какое-либо тело она отражается, пропускается или поглощается этим телом.
Каждый материал отражает, пропускает или поглощает падающую радиацию по-разному в зависимости от его абсолютной температуры, физических и химических характеристик и длины волны падающей радиации. Коэффициент теплопередачи kпр растет с повышением излучательной способности отопительных приборов, т.е. у приборов с гладкой стенкой он выше, чем у ребристых.
Для учета теплопередачи излучением в тепловой расчет мощности вводится коэффициент излучения Cпр, зависящий от материала и окраски, и коэффициент облученности , учитывающий, какой процент излучения оказывается полезным. Для двухколончатых секционных радиаторов характерно, что в помещение попадает около 50 % излучения, прочее поглощается близко расположенными, взаимно перекрывающими друг друга секциями, поэтому здесь = 0,5.Как уже упоминалось, любые ограждения препятствуют попаданию излучения в помещение.
В том числе и при размещении двух радиаторов один над другим. В этом случае, при отсутствии прочих загородок, описанный выше коэффициент b4 = 1,05.Коэффициент излучения для чугунного радиатора с гладкой поверхностью Cпр = 5,1 Вт/(м2°C). Состав и цвет краски могут несколько изменять коэффициент теплопередачи, увеличивая или уменьшая Cпр. Краски, обладающие высокой излучательной способностью, усиливают теплоотдачу прибора, и наоборот.
Например, окраска цинковыми белилами повышает теплопередачу чугунного секционного радиатора на 2,2 %, а нанесение алюминиевой краски, растворенной в нитролаке, уменьшает ее на 8,5 %.
Чугунный
Для изготовления чугунных радиаторов обычно используют серый чугун, в котором углерод присутствует в виде пластинчатого графита. Серым он назван по цвету излома, который обуславливается структурой углерода в чугуне. В расплавленном чугуне углерод находится в растворенном состоянии и равномерно распределяется по всей массе расплава. При медленном охлаждении расплавленного чугуна часть углерода выделяется в виде пластинок графита, что придает излому отливок серый цвет.
Чем крупнее включения графита, тем ниже прочность чугуна. Количественный состав углерода в сером чугуне, используемом для изготовления радиаторов, варьируется 3,2–3,5 %.Сварные чугунные конструкции не практикуются: сварочный нагрев и последующее охлаждение настолько изменяют структуру и свойства чугуна в зоне расплавления и околошовной зоне, что получить сварные соединения без дефектов с необходимым уровнем свойств оказывается весьма затруднительно.
В связи с этим чугун относится к материалам, обладающим плохой технологической свариваемостью. Вместе с этим, серый чугун характеризуется высокими литейными свойствами (низкая температура кристаллизации, текучесть в жидком состоянии, малая усадка), поэтому радиаторы из этого материала изготавливаются методом литья в песчано-глинистые формы в современных индукционных печах.
Причем отливают их, как правило, не целиком, а отдельными секциями, реже — блоками, одинаковой мощности, которые потом соединяют ниппелями из ковкого (содержащего хлопьевидный графит) или высокопрочного (с графитовыми включениями шарообразной формы) чугуна или углеродистой стали [4]. Герметичность обеспечивается за счет уплотнителя из теплостойкой резины.
Одно из положительных качеств чугуна — высокая коррозийная стойкость, обусловленная интересным свойством: в процессе эксплуатации поверхность чугунного изделия покрывается так называемой сухой ржавчиной, и в дальнейшем коррозия практически не идет. Большая толщина стенки также способствует долговечности (потребуется много времени, чтобы стенка проржавела насквозь).
Это значит, что радиаторы из этого материала подходят для отопительных систем с высоким содержанием кислорода (открытые) и для периодически опорожняемых систем (в городских многоэтажках воду из батарей сливают на лето). Радиаторы из тонкостенной низкоуглеродистой стали для этих целей не годятся — проржавеют за два-три сезона и лопнут в самый неподходящий момент. Высокая антикоррозионная стойкость этих чугунных радиаторов позволяет применять их и в паровых системах отопления с температурой пара до 150 °C.
Чугун вообще невосприимчив к плохому качеству теплоносителя: сильнощелочная среда с водородным показателем pH более 9,5, камешки, частицы ржавчины не вызывают сильных повреждений внутренней поверхности: чугун не так-то просто растворить или поцарапать, потому абразивный износ также весьма невелик. Единственное слабое место — уплотнения, которые могут разъедаться агрессивными антифризами.
Чугунные радиаторы обладают хорошей теплоаккумулирующей способностью и большой тепловой инерционностью: остаточная теплоотдача через 1 ч после выключения равна 30 %, в то время как, к примеру, у стальных радиаторов данный показатель вдвое меньше (15 %). Этот факт свидетельствует о том, что чугунные радиаторы хороши для систем отопления с нерегулярным нагревом (например, система с твердотопливным отопительным котлом или в условиях периодического отключения электроэнергии, необходимой для работы оборудования системы).
Радиаторы из чугуна не способны послужить причиной электрохимической коррозии (как в случае с цинком и медью или алюминием и медью, например), поскольку, как и сталь, состоят из железа и неметаллов, т.е. конфликта со стальными или пластиковыми трубами, стальным или чугунным теплообменником котла не возникнет.
Срок службы чугуна велик — хотя производители и указывают осторожно «10–30 лет», на практике даже 50летний стаж еще не является поводом для «ухода на пенсию»: качественно собранные радиаторы в заполненной чистой водой системе способны справить даже вековой юбилей.Из минусов можно отметить большой вес чугунного радиатора, который затрудняет транспортировку и монтаж: требуется два или несколько человек для переноса и навешивания, стена должна выдержать вес радиатора, да еще и с водой (а ее внутри может быть до нескольких десятков литров).
Для недостаточно прочных стен некоторые производители предлагают ножки для напольного монтажа. Наличие графита делает чугун довольно хрупким. Сильные механические (в результате неосторожного обращения) и термические удары (резкие перепады температур, имеющие место, например, при попадании в неостывший радиатор холодной воды во время подпитки) могут привести к образованию трещин и последующей разгерметизации.
Секционный
Секционная конструкция является оптимальной с точки зрения особенностей чугуна:
- нет необходимости в замене отливочной формы и перенастройке линии на заводе для изготовления радиаторов разных мощностей: ведь требуемая мощность достигается добавлением секций;
- при разгерметизации или появлении деформаций не требуется замена всего радиатора, достаточно заменить дефектные секции;
- очистка секционного радиатора проходит быстрее, проще и эффективнее. А чистить, возможно, придется, поскольку мусор, присутствующий в системе отопления, особенно централизованного, снижает теплообмен из-за уменьшения теплопроводности стенок и затрудняют циркуляцию теплоносителя;
- сборная чугунная конструкция позволяет немного компенсировать отсутствие упругости, т.к. обеспечивает подвижность секций друг относительно друга, а наличие графита обеспечивает высокий коэффициент поглощения колебаний при вибрациях деталей и дополнительную смазку поверхностей трения.
Внешняя поверхность секции имеет плоскую или округлую поверхность с вертикальным ребром и/или узором. Внутри секции проходят два сквозных канала сверху и снизу, соединенных двумя, реже одним или тремя колонками (рис. 7).Расстояние между центрами сквозных каналов называют межосевым. Внутри каждого канала имеется резьба, в которую вкручиваются проходные ниппели (при соединении секций между собой), проходные пробки (для подсоединения радиатора к подводящим теплопроводам) или глухие пробки (заглушки).
Для герметизации всех соединений обязательно используют кольцевые уплотнения. Чугунные секции имеют довольно внушительный внутренний объем (до нескольких литров). Связано это, в первую очередь, с трудоемкостью отливки чересчур узких каналов из чугуна ввиду значительной шероховатости готового изделия и большой толщины стенки (3–4 мм), эффективная теплопередача через которую возможна только при подведении адекватного количества тепла. Минусом данной особенности является дополнительное повышение тепловой инерции, что затрудняет местное регулирование (радиатор реагирует на изменяющиеся температурные условия с огромным запозданием).
К плюсам же можно отнести низкое гидравлическое сопротивление: коэффициент местных сопротивлений, допустим, для двухканальных радиаторов с пятью и более секциями при номинальном расходе теплоносителя через радиатор (0,1 кг/с) и условном диаметре подводок Ду15 и Ду20 мм составляет: z = 1,5 или 1,8 соответственно. Для сравнения, в гладкотрубном полотенцесушителе-лесенке (Ду15 мм) z = 2,5, в стальных панельных радиаторах (Ду15 мм) z = 8,5.
Коэффициент местных сопротивлений зависит от скорости протекания теплоносителя через прибор (меньше скорость — меньше сопротивление) и от диаметра подводящей трубы (меньше диаметр — меньше сопротивление). Указанное преимущество чугунных радиаторов позволяет использовать их в гравитационных отопительных системах, что весьма актуально для российской сельской местности, где наблюдаются перебои с электричеством.
Стандартные модели чугунных радиаторов имеют межосевое расстояние 300 или 500 мм, но встречаются и более высокие модели (например, 600 или 800 мм), а также промежуточные значения (например, 350 мм).Глубина и ширина секции тоже бывают разные и зависят от количества и диаметра колонок. В конечном счете, чем уже радиатор, тем меньше его объем, и тем, во-первых, хуже теплоотдача, во-вторых, ниже тепловая инерция.
Радиаторы нередко поставляются с завода в собранном виде, но лишь для удобства транспортировки: изделия можно раскручивать, добавляя или убавляя секции. Главное — соблюдать соосность: допускаемое отклонение смещения соединяемых плоскостей секций (одна относительно другой) в верхней части чугунного радиатора не должно превышать 2 мм [4].
Номинальный тепловой поток, указываемый в технической документации, находят опытным путем: тепловые испытания прибора проводят при движении теплоносителя сверху вниз и площади поверхности теплоотдачи около 2 м2, т.е. в составе 9–12 секций для низких радиаторов и 7–8 секций — для средних. Поэтому полученные результаты справедливы только для отопительных приборов именно таких размеров.
При меньшем числе секций коэффициент теплопередачи повышается благодаря влиянию усиленного теплового потока крайних секций, торцы которых свободны для теплообмена излучением с помещением, поэтому размеры радиатора могут быть несколько сокращены. При большем числе секций влияние крайних секций на коэффициент теплопередачи уменьшается, и размеры радиатора должны быть несколько увеличены, как и при подсоединении теплопроводов по схеме «снизу вверх».
Для коррекции отклонений вводятся коэффициенты b3, учитывающий влияние количества секций в радиаторе на его тепловой поток (см. табл. 3), и дополнительно p, если теплоноситель подводится снизу и отводится сверху отопительного прибора (см. табл. 4). При прочих способах подсоединения p = 1.
Итоговый расчет
В современной литературе встречается довольно большое количество методик расчета реальной мощности отопительного прибора: по площади поверхности, по температуре, по коэффициенту теплоотдачи. Буквенные обозначения коэффициентов и их единицы измерения также весьма различны. Что, однако, не мешает инженерам получать в итоге один и тот же результат, потому что все формулы являются по сути одним и тем же, т.е. легко выводятся одна из другой.
А буквы… что ж, каждый волен вводить такие обозначения, которые считает удобными, единых норм на этот счет не разработано.Предлагаем читателям один из вариантов, позволяющий выполнить подбор чугунного секционного радиатора по стандартным данным и учитывающий разнообразные факторы, снижающие или повышающие теплоотдачу. Идти лучше от простого к сложному, а потому для начала определиться с дизайном, чтобы потом не оказалось, что внешний вид прибора, пусть и превосходно отапливающего помещение, не гармонирует с обоями и занавесками.
Из инженерных соображений на этом этапе рекомендуется не забывать, что белый и вообще светлый и матовый цвет обладает большей излучающей способностью, а большое количество колонок в секции и наличие ниш и ширм рядом с прибором, напротив, ее ухудшают. Ну и, конечно, не стоит даже смотреть в сторону радиаторов, не подходящих по максимально допустимому давлению.
Здесь больших проблем возникнуть не должно, поскольку, согласно [3], в зданиях с системами центрального водяного отопления температура и давление теплоносителя на выходе из индивидуального теплового пункта не должны превышать 90 °C и 1,0 МПа соответственно, а большинство секционных чугунных радиаторов рассчитаны на избыточное рабочее давление до 0,9 МПа.
Далее попробуем прикинуть минимально допустимое количество секций исходя из ширины оконного проема. Например, если ширина окна — 1,2 м, радиатором должно быть занято не менее 0,8 м. При ширине секции 100 мм нам потребуется как минимум 8 секций, при ширине секции 80 мм — 10 секций и т.д. Это очень важно для последующего определения высоты радиатора, ведь обычно производитель предлагает низкие, средние и даже иногда высокие варианты в одном и том же дизайне.
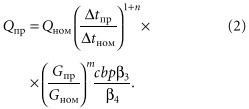
Теперь предварительно выбираем конкретную модель радиатора, пользуясь номинальными данными производителя. После этого считаем, какова же будет теплоотдача этой модели в реальных (Qпр), а не стандартных (Qном) условиях эксплуатации:

Все присутствующие в формуле (2) переменные и коэффициенты были описаны выше. Разберем пример: чугунный секционный радиатор МС140, 4 секции, межосевое расстояние 500 мм. Номинальная теплоотдача Qном = 640 Вт, подключение «сверху вниз», установка в нише, Gпр = 300 кг/ч (хотя в данном случае это неважно), tн = 90 °C, tк = 70 °C, tв = 20 °C (т.е. Δtпр = 60 °C), атмосферное давление 730 мм ртутного столба (дом в горах):

что составляет лишь 78,5 % от номинальной теплоотдачи. В связи с чем, по всей видимости, придется добавить еще одну секцию. При расчетах необходимо руководствоваться СНиП [3], согласно которому номинальный тепловой поток отопительного прибора не следует принимать меньше, чем на 5 % или на 60 Вт требуемого по расчету, а оптимальные отклонения температуры при восполнении недостатков теплоты в помещении не должны превышать 1–1,5 °C при допустимых 3–3,5 °C (для жилых, общественных и административно-бытовых зданий) или 5–6 °C (для производственных помещений).