Табл. 1. Основные характеристики труб из полиэтилена ПЭ-32
Табл. 2. Основные характеристики труб из полиэтилена ПЭ-63
Табл. 3. Основные характеристики труб из полиэтилена ПЭ-80
Табл. 4. Показатели труб из полиэтилена ПЭ-100
Табл. 5. Сравнительные параметры для труб диаметром 110 мм на рабочее давление 1 МПа из полиэтиленов различных классов
Табл. 6. Масса*, M, кг/м3, труб из полиэтилена для SDR
Табл. 7. Сравнительные параметры для труб из ПЭ 80 диаметром 225 мм
Значительная часть бестраншейных технологий связана с применением полиэтиленовых труб [2].Такие трубы производятся отечественными предприятиями по ГОСТ 18599–2001 («Трубы напорные из полиэтилена. Технические условия») и по ГОСТ Р 50838–95 («Трубы из полиэтилена для газопроводов. Технические условия»).Трубы производятся до наружного диаметра de = 1200 мм из различных классов полиэтиленов — ПЭ-32, ПЭ-63, ПЭ-80 и ПЭ-100.
В этой связи, для проведения эффективной — производительной, надежной и малозатратной реконструкции любого трубопровода весьма важным является правильный выбор полиэтиленовых труб. А с помощью полиэтиленовых труб бестраншейно реконструируются как самотечные трубопроводы канализации и ливнестоков, так и напорные трубопроводы — канализации, водоснабжения [3] и газопроводы.
Что касается выбора полиэтиленовых труб для реконструкции подземных газопроводов, то для этого предусмотрены специальные гидравлические, прочностные и др. процедуры. Они скрупулезно описаны в специальном нормативе— Своде правил СП 42-103– 2003 «Проектирование и строительство газопроводов из полиэтиленовых труб и реконструкция изношенных газопроводов», действующим с 27 ноября 2003 г.
Что касается выбора полиэтиленовых труб для реконструкции подземных трубопроводов водоснабжения и водоотведения, то на сегодня в России аналогичного норматива еще не разработано.Как показывает практический опыт, для реконструкции подземных трубопроводов водоснабжения и водоотведения должны использоваться полиэтиленовые трубы, соответствующие [4] ГОСТ 18599–2001 (табл. 1–4).
Выбор полиэтиленовых труб для реконструкции подземных трубопроводов водоснабжения и водоотведения, в общих случаях, следует осуществить, во-первых, по наружному диаметру de, так как их ранжирование в ГОСТ принято, именно, по наружному диаметру. Во-вторых, должна быть выбрана толщина стенки e, от величины которой зависит прочность труб относительно внутреннего давления p грунта, грунтовых вод, транспортных и др. поверхностных нагрузок.
И, наконец, в-третьих, необходимо выбрать класс полиэтилена, прочностные показатели которого строго соотносятся с конкретным классом. Для правильного выбора наружного диаметра de полиэтиленовой трубы вначале надо грамотно выбрать внутренний диаметр dв. Внутренний диаметр нового трубопровода из полиэтиленовых труб следует принимать на основании гидравлических расчетов с учетом расхода Q, который должен пропускать реконструированный трубопровод, с ограниченными значениями потерь напора или гидравлического уклона I.
Гидравлические расчеты следует производить по формулам, приведенным в СП 40-102–2000 «Проектирование и монтаж трубопроводов систем водоснабжения и канализации из полимерных материалов. Общие требования». Следует использовать для гидравлического расчета трубопроводов: напорных — формулы (1–6), а для самотечных — формулы (18–25).
Толщина стенки e, для труб с рассчитанным внутренним диаметром выбирается, исходя из внутреннего давления p, в реконструированном трубопроводе (напорном) либо с учетом всех нагрузок, воздействующих на реконструированный трубопровод. На данном этапе разработанности рассматриваемого вопроса для такого выбора следует использовать методику, приводимую в приложении Д СП 40-102–2000.
Учет остаточного прочностного ресурса трубопровода, подвергаемого реконструкции, с целью выбора полиэтиленовых труб с меньшей толщиной стенки, к сожалению, все еще рассматривается. Что касается выбора полиэтилена по классу, то, трубы из указанных полиэтиленов по основным потребительским свойствам (диаметрам и рабочим давлениям) являются практически идентичными.
Все они сконструированы с учетом одного и того же критерия— долговечность напорных трубопроводов. Для трубы любого диаметра нормирована такая толщина стенки, которая должна будет обеспечить прочность (восприятие растягивающих напряжений в стенках труб от действия в трубопроводе внутреннего давления) в течение всего срока эксплуатации, т.е. 50 лет при условии транспортирования среды с температурой > 20°С.
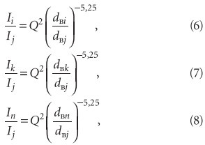
Так какие же трубы следует выбрать, если независимо от класса полиэтилена ПЭ-32,ПЭ-63,ПЭ-80,ПЭ-100 или даже ПЭ-112 [6] при одном и том же наружном диаметре de трубы будут обеспечивать надежную работу трубопровода в течение одного и того же срока эксплуатации. С целью ответа на этот вопрос была произведена оценка труб из полиэтиленов различных классов на основании сравнения величин потерь напора I и пропускаемых расходов Q в зависимости от значений их внутренних диаметров dв. При этом использовались полуэмпирические зависимости, полученные в ГУП «НИИ Мосстрое» [7] в соответствии с гидравлической теорией акад. Н.Н.Павловского:

Соотношение расходов (при величине I = const):

и гидравлических уклонов (при Q = const):

где i, j, k и n — индексы ПЭ-32, ПЭ-63, ПЭ-80 и ПЭ-100, соответственно. После подстановки в (3–8) значений dв для всех указанных труб (табл. 1–4), были вычислены соотношения пропускных способностей и гидравлических потерь напора (табл. 5). Аналогичным образом были вычислены соотношения показателей с учетом ранжирования труб по величине SDR (табл. 7).
Анализ данных табл. 1–5 и 7 однозначно убеждает в следующем.
1. Учитывая долговременную прочность, для реконструкции напорных трубопроводов целесообразно применять трубы из полиэтиленов более высоких классов. Это будет способствовать повышению их надежности. К тому же, меньшие денежные затраты на электроэнергию, необходимую для прокачки жидкости по трубопроводу с большим внутренним диаметром, будут как-то компенсировать большую стоимость таких полиэтиленов.
2. Для реконструкции безнапорных трубопроводов, с учетом кольцевой жесткости, применение труб следует ограничить из ПЭ-63 — до SDR = 17,6, из ПЭ-80 — до SDR = 21. Ввиду большей стоимости труб из ПЭ-100 применять их для реконструкции безнапорных трубопроводов не следует. Указанные данные частично носят приблизительный характер.
По мере накопления опыта применения труб из полиэтиленов различных классов для бестраншейной реконструкции ветхих напорных и самотечных трубопроводов они подлежат уточнению и, естественно, последующему регламентированию в том или ином нормативе. В заключение следует отметить, что производимые в стране экструдированием полиэтиленовые трубы со сплошными гладкими стенками диаметром до 1200 мм могут быть широко использованы для бестраншейной реконструкции трубопроводов водоснабжения и водоотведения.
Выбор полиэтиленовых труб можно осуществлять с использованием действующего норматива— СП 40-102–2000. Однако имеющихся в нем сведений недостаточно. В частности, в нем не указано, каким образом можно учесть остаточный прочностной ресурс реконструируемого подземного трубопровода. Этот вопрос требует срочного решения. В статье не рассмотрены технологические вопросы, влияющие на выбор полиэтиленовых труб для бестраншейной реконструкции трубопроводов водоснабжения и водоотведения.
Они могут быть связаны со способами соединения полиэтиленовых труб между собой [8, 9], с технологическими схемами размещения полиэтиленового трубопровода в полости старого трубопровода, предварительно разрушенного [10] либо сохраненного в прежнем виде [11] и т.д. Этим вопросам, в случае заинтересованности научно-технической общественности, авторы могут посвятить отдельную статью.