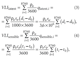
Сейчас каждый специалист HVAC (Heating, Ventilating and Air Conditioning — отопления, вентиляции и кондиционирования воздуха) хорошо знает, насколько актуальной является задача поддержания определенного уровня влажности воздуха в помещениях. Тем не менее, в России по-прежнему зачастую забывают учитывать скрытую холодильную нагрузку, которая часто в несколько раз превосходит явную нагрузку. Разумеется, в статье не проводится агитация за выполнение правильных и полных расчетов — эти «азбучные истины» можно найти в любом ВУЗовском учебнике по системам кондиционирования воздуха. В статье на базе последних работ зарубежных исследователей рассмотрены новые методы учета скрытой теплоты с использованием современных климатических данных в виде т.н. «типичного справочного» года (TRY, TMY, WYEC, IWEC, DRY и т.п.). Причем, что особенно важно, холодильная нагрузка и по скрытой, и по явной теплоте может быть количественно определена еще на стадии проектирования. За рубежом основным нормативным документом, регламентирующим параметры вентиляции и обработки воздуха для обеспечения его качества, является ASHRAE Standart 62.1–2007: Ventilation for Acceptable Indoor Air Quality («Вентиляция для обеспечения приемлемого качества воздуха в помещении») [1], поправки в который регулярно вносились в течение последних двух десятков лет. После опубликования стандарта в 1989 г. в течение 1990х гг. эти нормы были приняты тремя основными строительными кодексами [2, 3, 4], после чего они, пересмотренные и дополненные, были приняты во многих странах. По сравнению со стандартом 1981 г. [5], в ASHRAE Standart 62 увеличены нормы подачи свежего воздуха в помещения, что явилось ответом на выявление синдрома «больных зданий» в 1980х гг. Однако, увеличение подачи наружного воздуха может привести к значительному повышению влажности воздуха в зданиях, особенно в незасушливых регионах. Повышенная влажность воздуха в помещениях оказывает вредное влияние как на здания, так и на находящихся в них людей, чему в последнее время посвящено много исследовательских работ и публикаций [6, 7], в т.ч. и в России [8, 9, 10]. Поэтому в документ ASHRAE Standart 62 была включена рекомендация о поддержании относительной влажности в помещениях от 30 до 60 %.В 1997 г. проблемы, вызванные повышенной влажностью, и вопросы учета скрытой теплоты были признаны в справочнике ASHRAE «Базовые сведения» [11], а в последнее время этому стало уделяться больше внимания в отечественных нормативных документах [12].Для определения холодильной нагрузки HVAC-систем в настоящее время используются несколько параметров. Прежде всего, следует выделить параметры CDD и SEER.CDD (расшифровывается как Cooling DegreeDay — градусодень охлаждения) — разность температур между средним значением за 24часовой период снаружи и заданным уровнем внутри здания (75 °F или 25 °C) для тех дней, когда разность положительная (средняя температура снаружи выше заданной температуры внутри). А также сумма этих разностей за некоторый период времени (месяц, сезон, год).SEER (сокращенно Seasonal Energy Efficiency Ratio — мера сезонной энергоэффективности) — общее количество холода, вырабатываемое кондиционером в течение года в условиях нормальной эксплуатации (БТЕ), деленное на общую подводимую электроэнергию в течение того же периода (Вт⋅ч).Эти наглядные инженерные параметры позволяют упростить расчеты по подбору оборудования, и совместно с другими факторами используются для оценки энергетических потребностей периода охлаждения. Они не могут заменить подробных расчетов, но дают возможность с приемлемой точностью выполнять быстрые энергетические оценки. Однако CDD и SEER не позволяют выделить и учесть потребности в явной и/или скрытой холодо-производительности. Одним из основных показателей, характеризующих величину явной и скрытой теплоты, является отношение явной теплоты к общей теплоте SHR (Sensible Heat Ratio).Этот показатель определяет долю общей производительности по явной или скрытой (1 – SHR) теплоте [13] и является первым ориентиром для предварительной подготовки воздуха. Но, несмотря на наглядность, SHR, как мы увидим ниже, не дают возможность на стадии проектирования легко определить общую нагрузку систем HVAC за продолжительный период времени (обычно за год), даже если нет сомнений в объективных значениях SHR. Необходим более эффективный метод определения холодильной нагрузки. В [14] приводится несложный инженерный подход для определения явной и скрытой холодильной нагрузки и быстрого сопоставления нагрузки в разных географических точках. Для этого предлагается использовать параметр VLI (Ventilation Load Index), который можно перевести как «индекс тепловой нагрузки при вентиляции». Параметр позволяет рассчитывать и проектировать системы HVAC с эффективной подачей именно того количества воздуха, который в соответствии с нормативными документами считается целесообразным для поддержания комфорта в зданиях. VLI представляет полную годовую тепловую нагрузку, необходимую для обработки воздушного потока в количестве 1 scfm (кубический фут в минуту в стандартных условиях) при подаче воздуха с улицы в помещение в течение одного года. Стандартные условия соответствуют температуре 70 °F при нормальном атмосферном давлении 14,696 psi (фунт силы/дюйм2). При этих условиях воздух имеет массовую плотность 0,075 lb/ft3 (фунт массы/фут3). Тепловая нагрузка в данном случае измеряется в холодильных тонночасах (tonhrs), поэтому VLI имеет размерность tonhrs/(scfmyear).К сожалению, в этой и других рассмотренных работах используется исключительно британская система единиц (фунт массы, фут, БТЕ и др.). В [14] упоминается о том, что параметр VLI, рассчитанный в метрических единицах кВт⋅ч/(л/с⋅год), имеет такой же порядок, как и в tonhrs/(scfmyear). Однако связь между ними там не приводится. Для России и европейских стран более привычной является метрическая система единиц, и для приточного и вытяжного потоков воздуха единицей расхода в подавляющем большинстве случаев является м3/ч, а не л/с (1 л/с = 3,6 м3/ч).В метрической системе, по аналогии, параметр VLI будет представлять годовую тепловую нагрузку (кВт⋅ч), необходимую для обработки приточного воздуха в количестве 1 м3/ч в стандартных условиях, которые соответствуют температуре 20 °C при нормальном атмосферном давлении 101,325 кПа. В этих условиях плотность воздуха составляет 1,205 кг/м3. Тогда соотношение между метрическими и британскими единицами VLI будет следующим:1 кВт⋅ч/(м3/ч⋅год) == 0,4835 tonhrs/(scfmyear) == 3,6 кВт⋅ч/(л/с⋅год). Параметр VLI состоит из двух слагаемых: первое соответствует скрытой (осушающей) нагрузке, а второе — явной (охлаждающей).Форма записи параметра будет такой: «VLI 6,7 + 1,1» или «VLI 6,7 vs 1,1».Чтобы рассчитать параметр VLI для данной местности, надо сравнить значения температуры ti и влажности (влагосодержания di) наружного воздуха с требуемыми для кондиционируемого помещения температурой t0 и влажностью (влагосодержанием d0). При этом необходимо решить, какие именно значения температуры и влажности следует использовать в качестве исходных данных (t0 и d0).Разумеется, для разных приложений исходные параметры внутри здания могут различаться. Отечественные нормативные документы [15] предписывают для теплого периода года оптимальные нормы температуры 22–25 °С, а относительной влажности внутри помещений — 60–30 %.После выбора исходных данных (t0 и d0) для каждого часа года определяются разности температур и влаго-содержаний между значениями параметров снаружи и внутри помещений, и выполняется расчет удельных значений скрытой и явной теплоты за iй час года для 1 кг воздуха [кДж/(кг⋅ч)]:где rw — удельная теплота парообразования воды, при стандартных условиях rw = 2454 кДж/кг; di и d0 — влагосодержание наружного воздуха для iго часа и заданное влагосодержание внутри помещения, г/кг; 1/1000 кг/г — коэффициент для перевода граммов в килограммы; cp — удельная теплоемкость воздуха при постоянном давлении, при стандартных условиях cp = 1,006 кДж/(кг⋅°С); ti и t0 — температура наружного воздуха для iго часа и заданная температура внутри помещения, °С. Для тех часов, когда di < d0, скрытая теплота не учитывается, т.е. принимается qlatent.i = 0, а когда ti < t0 принимается qsensible.i = 0.Таким образом, VLI не учитывает т.н. режимов free cooling (естественного охлаждения) и free dehumidification (естественного осушения).Затем рассчитываются слагаемые VLI — годовые значения скрытой и явной теплоты на 1 м3/ч при стандартных условиях [кВт⋅ч/(м3/ч⋅год)]:где ρa — плотность воздуха, которую при стандартных условиях принимают равной ρa = 1,205 кг/м3; 1/3600 кВт⋅ч/кДж — коэффициент для перевода килоджоулей в киловаттчасы; 8760 — количество астрономических часов в календарном году. Таким образом, VLI не характеризует тип здания и прочее, а зависит только от климатических параметров местности (географической точки) и поддерживаемых (задаваемых) параметров воздуха в помещении. Далее можно определить среднее значение SHR по приточному воздуху: Формула показывает, что по величине SHR невозможно определить ни VLI, ни годовую холодильную нагрузку по приточному воздуху. Зная VLI, можно легко определить и SHR, и годовую холодильную нагрузку (см. пример далее).Если выбор исходных параметров t0 и d0 внутри здания зависит от назначения здания и требуемых параметров микроклимата, то в качестве исходных данных параметров ti и di снаружи следует выбирать массив почасовых климатических данных — «справочный» год, объективно отражающий метеорологическую обстановку конкретной местности. В разных странах были составлены и обработаны различные типы таких массивов [16]: TRY, TMY, WYEC, IWEC, DRY и т.п. Большинство из них составлены на основании методики, которая приведена в стандарте ISO 159274 [17], и отличаются значениями весовых коэффициентов и набором климатических параметров для выбора «типичных» месяцев «справочного» года. Правильный выбор того или иного «справочного» года (в зависимости от преследуемых целей) позволяет получать более точные результаты. В Интернете можно найти различные типы «справочного» года для многих стран и точек, но, к сожалению, страны бСССР в их число не входят. В данной статье использованы данные IWEC (с сайта EnergyPlus). В массиве IWEC — International Weather Year for Energy Calculations (Международный климатический год для энергетических расчетов) [18] — собраны почасовые записи многолетних климатических наблюдений, из реальных «типичных» месяцев, объединенных в год. «Типичные» месяцы содержат фактические, одновременно наблюдаемые параметры и представляют объективный ход их изменения. От других аналогичных «справочных» годов IWEC отличается весовыми коэффициентами, использующимися для выбора «типичных» месяцев. Акцент сделан на общее солнечное излучение и температуру воздуха по сухому термометру (табл. 1). Использование почасовых данных реальных «типичных» месяцев повышает достоверность полученных результатов по сравнению использованием 24х (в течение суток) средних значений разных климатических параметров, одновременные значения которых никогда не могут иметь «типичные» значения в каждом из 8760 часов года. Для расчета параметров VLI и SHR были выбраны массивы IWEC для нескольких городов России и ближайшего зарубежья. Наборы IWEC для них были составлены из месяцев разных лет (табл. 2).В качестве исходных данных — комфортных параметров среды для человека — выбраны температура t0 = 24 °С и относительная влажность ϕ = 50 %, что соответствует влагосодержанию d0 = 9,3 г/кг. Эти параметры находятся в диапазоне, предписанном в [15], и равны по величине приведенным в [14] температуре t0 = 75 °F и влагосодержанию d0 = 65 gr/lb (для возможности сравнения полученных результатов). В расчетах иногда имели место случаи, когда явная теплота отсутствовала (например, при ti = 23 °C < t0), а скрытая имела место (если в этот же час, например, di = 15 г/кг > d0), и наоборот. Параметр VLI был определен по формулам (3–4), а SHR — по (5), см. табл. 3. Полученные результаты подтвердили выводы работы [14], что в подавляющем большинстве мест скрытые значения VLI превосходят явные в три раза и более (т.е. SHR < 0,25). Поэтому вывод здесь однозначен: ошибки в учете скрытой теплоты могут привести к серьезным проблемам даже в регионах, которые отличаются засушливым климатом. Как ожидалось, суммарные значения VLI в южных районах оказались больше, чем в северных. Например, суммарный VLI в Санкт-Петербурге составляет 0,79 кВт⋅ч/(м3/ч⋅год), а в Одессе почти в пять раз больше — 3,54 кВт⋅ч/(м3/ч⋅год). Однако соотношение между скрытой и явной теплотой может отличаться для разных мест не столь характерно. Например, при значительном различии параметров VLI в Семипалатинске и Ташкенте их среднегодовые значения SHR примерно одинаковы. В качестве примера рассмотрим использование параметра VLI для оценки холодильной нагрузки системы HVAC для типичной гостиницы, например, в Одессе. В качестве источника норм воздухообмена воспользуемся [19]. Для помещений гостиницы это составит: ❏ гостиничный номер: 60 м3/(ч⋅комн.); ❏ конференцзал: 30 м3/(ч⋅чел.); ❏ ресторан: 40 м3/(ч⋅чел.). Для гостиницы из 200 номеров, двух-трех конференц-залов общей вместимостью 300 человек и двух-трех ресторанов с общим количеством посадочных мест около 200 по упрощенному расчету потребуется: ❏ номера гостиниц: 200⋅60 = 12 000 м3/ч; ❏ конференц-залы: 300⋅30 = 9000 м3/ч; ❏ рестораны: 200⋅40 = 8000 м3/ч. ❏ всего: 29 000 м3/ч. Тогда для рассматриваемой гостиницы годовая потребность в полной холодильной нагрузке будет составлять 29 000 × 3,54 ≈ 103 000 кВт⋅ч/год, из них 16 % — явная нагрузка и 84 % — скрытая. В дальнейшем, задаваясь предполагаемыми или расчетными значениями холодильного коэффициента (COP) для той или иной системы HVAC и используя тарифы на энергоносители, можно выполнить экономико-математический анализ финансовых затрат и составить технико-экономическое обоснование (ТЭО) проекта. Ожидается, что величина VLI будет зависеть от степени необходимости регулирования влажности и количества подаваемого приточного воздуха в каждом конкретном случае. В таких зданиях, где приточный воздух составляет значительную часть от его полного количества, правильный учет скрытой холодильной нагрузки особенно важен, а регулирование влажности приносит экономический эффект. При комфортном кондиционировании это относится к таким зданиям как школы, театры, рестораны, больницы и т.п., а при технологическом кондиционировании — лаборатории, типографии, помещения электронной сборки и др. В таких случаях для регулирования температуры и влажности воздуха необходим независимый контроль каждого параметра. По данным [20] в помещениях с рециркуляционными системами HVAC (количество наружного приточного воздуха 0 %) холодильное оборудование подбирается с SHR от 0,75 до 0,90. При увеличении доли наружного воздуха и поступающей с ним влаги в приточных системах, соответственно, возрастает скрытая холодильная нагрузка, а SHR уменьшается. Анализ эксплуатации помещений с подачей приточного воздуха проиллюстрировал уменьшение значений SHR ниже 0,50 (при 100 % приточного воздуха, особенно в незасушливых районах). В настоящее время для регулирования влажности и удаления скрытой теплоты используется разнообразное оборудование, обычно следующее: 1. Конденсационный теплообменник [20] — классический теплообменник непосредственного испарения (испаритель) холодильного контура. В таком теплообменнике избыточная влага конденсируется на его поверхности и отводится в дренаж. Холодильная мощность такой установки должна быть увеличена на величину скрытой теплоты, а сама установка должна иметь подогреватель осушенного воздуха в случае его чрезмерного охлаждения (экономически наиболее выгодным является утилизация теплоты конденсации хладагента). 2. Конденсационный роторный теплообменник [21] изготавливается из теплоемкого материала (металла) с гладкой поверхностью. Перенос влаги осуществляется при ее конденсации из теплого воздуха на стенках каналов и при ее последующем испарении в поток холодного воздуха. Конденсация может происходить только при наличии избыточного влагосодержания в воздушном потоке, т.е. когда температура теплообменной поверхности ниже температуры точки росы воздуха. Эффективность переноса влаги возрастает с увеличением разности температур приточного и вытяжного воздуха. А поскольку для летнего периода в большей части России разность температур невелика, перенос влаги также незначителен. 3. Гигроскопический роторный теплообменник [21] имеет поверхность с тонкой капиллярной структурой, которая образуется, например, в результате обработки металла травлением. Влага переносится за счет процессов сорбции–десорбции и конденсации–испарения, поэтому перенос влаги несколько выше, чем в конденсационном роторе (п. 2), но сами по себе сорбционные процессы имеют гораздо меньшую интенсивность, чем «конденсация–испарение». 4. Сорбционный роторный теплообменник [21] имеет насадку из сорбента (силикагеля), который наносится на жесткую подложку (конструктивную основу). Сорбент обладает влагопоглощающими свойствами и при невысокой температуре способен удерживать до 15 % воды (от массы силикагеля). Материал для подложки выбирается с минимальной теплоемкостью, что необходимо для уменьшения теплоинерционных свойств теплообменника. Поэтому перенос влаги осуществляется за счет процессов сорбциидесорбции без фазовых переходов. При снижении разности температур эффективность переноса влаги уменьшается в значительно меньшей степени, чем в конденсационном (п. 2) или гигроскопическом (п. 3) роторе, поэтому эффективность сорбционного ротора выше. Изучение изменений погоды и полученных климатических данных показывает, что, как правило, скрытая теплота превышает явную в три раза и более, нередко достигая соотношений 8:1. Это предопределяет исключительную важность правильного учета скрытой теплоты. Использование простых инженерных параметров SHR и VLI позволяет на начальном этапе оценить актуальность учета скрытой теплоты для той или иной системы HVAC. В настоящее время на мировом рынке предлагаются различные типы оборудования для осушения приточного воздуха. В зависимости от приложения и назначения HVAC системы первоначальные и эксплуатационные расходы этих типов оборудования могут сильно отличаться. Всесторонний технико-экономический анализ позволяет выбрать наиболее приемлемое для заказчика решение. ❏ 1. ANSI/ASHRAE Standart 62.1–2007: Ventilation for Acceptable Indoor Air Quality. American Society of Heating Refrigerating and AirConditioning Engineers. 2. BOCA 1996. International Mechanical Code, International Code Council, Building Officials and Code Administrators International, International Conference of Building Officials, Southern Building Code Congress International. 3. SBC 1994. Standart Mechanical Code, Southern Building Code Congress International. 4. ICBO 1994. Uniform Building Code, International Conference of Building Officials. 5. ASHRAE Standart 62–1981: Ventilation for Acceptable Indoor Air Quality. American Society of Heating Refrigerating and AirConditioning Engineers. 6. Morey P.R., Jones W.G., Clere J.L., and Sorenson W.G. 1986. Studies on sources of airborne microorganisms and on indoor air quality in a large office building. In Managing Indoor Air for Health and Energy Conservation, Proceedings of the ASHRAE Conference IAQ 1986. Atlanta: American Society of Heating, Refrigerating, and AirConditioning Engineers. 7. Sterling E.M., Arundel A., Sterling T.D. Criteria for human exposure to humidity in occupied buildings. ASHRAE Transactions. 1985, Vol. 91, Part 1B. 8. Беляков Н.А. и др. Вклад микробиоты в процессы старения больничных зданий и ее потенциальная опасность для здоровья больных // Проблемы медицинской микологи, Т. 7, №4/2005. 9. Вишневский Е.П., Салин М.Ю. Осушение воздуха как метод защиты зданий от разрушения // Журнал «С.О.К.», №9/2008. 10. Сумина М. Зараженный город // Санкт-Петербургские ведомости, 11.05.2005 г. 11. ASHRAE 1997. Handbook of Fundamentals. American Society of Heating Refrigerating and AirConditioning Engineers. 12. РВСН 2001–2006 (ТСН 20303–2006 Санкт-Петербург). Защита строительных конструкций, зданий и сооружений от агрессивных химических и биологических воздействий окружающей среды. 13. Козар Д., Короткевич М.М. Способы повышения производительности систем осушения воздуха // Мир климата, № 39/2006. 14. Haniman L.G., Plager D., Kosar D.R. Dehumidification and cooling loads from ventilation air. ASHRAE Journal. 1997, Vol. 39, No 11. 15. ГОСТ 30494–96. Здания жилые и общественные. Параметры микроклимата в помещениях. 16. Вишневский Е.П., Чепурин Г.В., Салин М.Ю. Расчет теплофизических характеристик атмосферного воздуха // Журнал «С.О.К.», № 11/2009. 17. ISO 159274:2005. Hygrothermal performance of buildings — Calculation and presentation of climatic data — Part 4: Hourly data for assessing the annual energy use for heating and cooling, 2005. 18. Thevenard D.J. and Brunger A.P. The Development of Typical Weather Years for International Locations: Part I, Algorithms, and Part II: Production, ASHRAE Transactions, 2002, Vol. 108, No 2. 19. Стандарт АВОК1–2004. Здания жилые и общественные. Нормы воздухообмена. Отраслевой стандарт. — М.: АВОКПресс, 2004. 20. Kosar D.R., Witte M.J., Shirey D.B., Hedrick R.L. Dehumidification issues of Standard 62–1989. ASHRAE Journal. 1998, Vol. 40, No 3. 21. Вишневский Е.П. Рекуперация тепловой энергии в системах вентиляции и кондиционирования воздуха // Журнал «С.О.К.», №11/2004.
К вопросу о соотношении скрытой и явной теплоты
Опубликовано в журнале СОК №1 | 2010
Rubric:
Цель этой статьи — обратить внимание на важность учета скрытой холодильной нагрузки при разработке и проектировании систем вентиляции и кондиционирования воздуха в зданиях. Изначально системы кондиционирования подбирались по величине явной холодопроизводительности (охлаждение воздуха). Пренебрежение скрытой нагрузкой (осушение воздуха) приводило к снижению эффективности работы системы и к появлению проблем с обеспечением требуемого качества воздуха в помещениях.
- ANSI/ASHRAE Standart 62.1–2007: Ventilation for Acceptable Indoor Air Quality. American Society of Heating Refrigerating and AirConditioning Engineers.
- BOCA 1996. International Mechanical Code, International Code Council, Building Officials and Code Administrators International, International Conference of Building Officials, Southern Building Code Congress International.
- SBC 1994. Standart Mechanical Code, Southern Building Code Congress International.
- ICBO 1994. Uniform Building Code, International Conference of Building Officials.
- ASHRAE Standart 62–1981: Ventilation for Acceptable Indoor Air Quality. American Society of Heating Refrigerating and AirConditioning Engineers.
- Morey P.R., Jones W.G., Clere J.L., and Sorenson W.G. 1986. Studies on sources of airborne microorganisms and on indoor air quality in a large office building. In Managing Indoor Air for Health and Energy Conservation, Proceedings of the ASHRAE Conference IAQ 1986. Atlanta: American Society of Heating, Refrigerating, and AirConditioning Engineers.
- Sterling E.M., Arundel A., Sterling T.D. Criteria for human exposure to humidity in occupied buildings. ASHRAE Transactions. 1985, Vol. 91, Part 1B.
- Беляков Н.А. и др. Вклад микробиоты в процессы старения больничных зданий и ее потенциальная опасность для здоровья больных // Проблемы медицинской микологи, Т. 7, №4/2005.
- Вишневский Е.П., Салин М.Ю. Осушение воздуха как метод защиты зданий от разрушения // Журнал «С.О.К.», №9/2008.
- Сумина М. Зараженный город // Санкт-Петербургские ведомости, 11.05.2005 г.
- ASHRAE 1997. Handbook of Fundamentals. American Society of Heating Refrigerating and AirConditioning Engineers.
- РВСН 2001–2006 (ТСН 20303–2006 Санкт-Петербург). Защита строительных конструкций, зданий и сооружений от агрессивных химических и биологических воздействий окружающей среды.
- Козар Д., Короткевич М.М. Способы повышения производительности систем осушения воздуха // Мир климата, № 39/2006.
- Haniman L.G., Plager D., Kosar D.R. Dehumidification and cooling loads from ventilation air. ASHRAE Journal. 1997, Vol. 39, No 11.
- ГОСТ 30494–96. Здания жилые и общественные. Параметры микроклимата в помещениях.
- Вишневский Е.П., Чепурин Г.В., Салин М.Ю. Расчет теплофизических характеристик атмосферного воздуха // Журнал «С.О.К.», № 11/2009.
- ISO 159274:2005. Hygrothermal performance of buildings — Calculation and presentation of climatic data — Part 4: Hourly data for assessing the annual energy use for heating and cooling, 2005.
- Thevenard D.J. and Brunger A.P. The Development of Typical Weather Years for International Locations: Part I, Algorithms, and Part II: Production, ASHRAE Transactions, 2002, Vol. 108, No 2.
- Стандарт АВОК1–2004. Здания жилые и общественные. Нормы воздухообмена. Отраслевой стандарт. — М.: АВОКПресс, 2004.
- Kosar D.R., Witte M.J., Shirey D.B., Hedrick R.L. Dehumidification issues of Standard 62–1989. ASHRAE Journal. 1998, Vol. 40, No 3.
- Вишневский Е.П. Рекуперация тепловой энергии в системах вентиляции и кондиционирования воздуха // Журнал «С.О.К.», №11/2004.