Рис. 1. Теплоотдача горизонтальной стальной трубы ∅32 мм
Рис. 2. Влияние настройки дросселя на пропускную способность терморегулятора
Табл. 1. Пропускные способности клапанов терморегуляторов Danfoss RTD-N
Табл. 2. Расход теплоносителя, устанавливаемый клапаном терморегулятора Danfoss RTD-N
Табл. 3. Температура на выходе из отопительного прибора в зависимости от настройки дросселя терморегулятора
В дополнение к стандартным тепловому и гидравлическому расчетам, система отопления может быть рассчитана на возможность поддержания в течение определенного отрезка времени приемлемого теплового режима здания после аварийного отключения теплоснабжения. В статье рассмотрены современные элементы систем отопления, как факторы, обуславливающие различную теплоотдачу систем, а также, соответственно, и различные темпы их остывания.
Такими элементами являются:
- трубы и теплоизоляция;
- терморегулирующая арматура.
Трубы и теплоизоляция В настоящее время в системах отопления применяются не только стальные трубы, но и трубы из сшитого полиэтилена, полипропилена, стеклопластика, метало-полимерные, медные и др. Разумеется, все эти материалы имеют различные коэффициенты теплопроводности, что, безусловно, отражается на их теплоотдаче. Рынок технической теплоизоляции по используемому материалу сегодня также очень объемен:
- из вспененного полиэтилена («Энергофлекс», Thermaflex);
- из вспененного каучука (Kflex, Kaiflex, Armaflex);
- на основе минеральной ваты (Rockwool, Paroc);
- из стекловаты (Isover) и др.
В результате расчет теплоотдачи от теплопроводов в системе отопления не может быть сведен к использованию табличных данных по номинальному тепловому потоку с 1 м трубы, приведенных, в частности, в Справочнике проектировщика [1], рекомендациях НИИ сантенхники [2, 3], в ведомственных строительных нормаx [4].
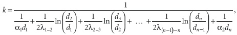
Безусловно, наиболее достоверные данные о теплоотдаче того или иного сочетания различного рода труб и теплоизоляций дает только эксперимент, но в связи с отсутствием в большом количестве случаев такого рода информации единственно возможным способом корректного учета величины теплового потока от труб является расчет. Рассмотрим методику такого расчета. Следует сразу отметить, что методика построена на использовании известных формул, тем не менее, она вносит определенные уточнения в расчеты подобного рода [2–6].Коэффициент теплопередачи трубы определятся из формулы [7]:

где α1 — коэффициент теплообмена на внутренней поверхности трубы [Вт/(м2⋅К)]; λ1–2 … λ(n–1)–n — коэффициенты теплопроводности слоев трубы [Вт/(м⋅К)]; d1 … dn — диаметры от внутреннего до наружного [м]; α2 — коэффициент теплообмена на наружной поверхности трубы [Вт/(м2⋅К)].Расчет сводится к определению коэффициентов теплообмена α1 и α2. Расчет будем вести на основе теории подобия. Коэффициент теплообмена на внутренней поверхности трубы α1 определяем из формулы М.А. Михеева [8]:

где Nuж — число Нуссельта; εl — коэффициент, учитывающий изменение среднего коэффициента теплообмена по длине трубы; Reж — критерий Рейнольдса; Prж — критерий Прандтля; Prст — критерий Прандтля при температуре внутренней стенки трубы. Внесем в формулу упрощения:
- влияние начального участка не учитываем (поток в данной задаче является стабилизированным), поэтому εl = 1;
- принимаем отношение Prж/Prст = 1, т.к. считаем температуру внутренней поверхности трубы бесконечно приближающейся к температуре теплоносителя.
В результате получим формулу для определения коэффициента теплообмена от теплоносителя к трубе:

где λж — коэффициент теплопроводности теплоносителя [Вт/(м⋅К)].Коэффициент теплообмена на наружной поверхности трубы или изоляции α2 определяется с учетом влияния двух видов теплообмена — конвекции и излучения [9]: α2 = αк + αл.
Для нахождения коэффициента конвективного теплообмена αк воспользуемся следующими формулами [8]:
- для горизонтальных труб: Nuж = 0,46Grж0,25;
- для вертикальных труб (ламинарный режим движения воздуха): Nuж = 0,695Grж0,25;
- для вертикальных труб (турбулентный режим движения воздуха): Nuж = 0,133Grж0,25,
где Nuж — число Нуссельта для воздуха, омывающего трубу; Grж — критерий Грасгофа для воздуха. Коэффициент теплообмена излучением αл определяем по формуле [9]:

где ε — степень черноты полного нормального излучения; C0 — коэффициент лучеиспускания абсолютно черного тела, равный 5,7 Вт/(м2⋅ °С); ϕ — угловой коэффициент (исходя из особенностей прокладки теплопроводов в двухтрубной системе отопления — подающие и обратные теплопроводы располагаются на незначительном расстоянии друг от друга, принимаем равным 0,8, т.е. большая часть энергии, излучаемая трубой (80 %), поглощается внутренними поверхностями помещения или поверхностями объектов, в нем содержащихся, а меньшую часть энергии (20 %) поглощает теплопровод, проходящий в паре с рассматриваемым [9–11]); T1 — температура наружной поверхности трубы [К]; T2 — температура окружающей среды [К]. Таким образом, получим формулы для нахождения коэффициента теплообмена на наружной поверхности трубы α2:
- для горизонтальных труб:

- для вертикальных труб (ламинарный режим движения воздуха):

- для вертикальных труб (турбулентный режим движения воздуха):

Следует отметить, что температура на наружной поверхности трубы или изоляции определяется посредством итерации. Для этого на первом шаге итерации необходимо задаться температурой наружной поверхности. К подбору температуры следует подходить дифференцированно, в зависимости от температуры теплоносителя, материала и толщины стенки трубы и теплоизоляции.
Для проверки корректности методики было выполнено сравнение величины теплоотдачи одного погонного метра водогазопроводной стальной трубы [12], полученной в результате расчета по вышеприведенной методике, с величиной теплоотдачи по табличным данным [1]. При одинаковых исходных данных (диаметр, температура теплоносителя и помещения) результаты получаются равными с точностью до 1 Вт/м, что позволяет утверждать о верности расчетной методики.
Далее приведены результаты расчета по описанной методике теплоотдачи горизонтально расположенной стальной трубы (условный диаметр — 32 мм; скорость движения теплоносителя в трубе 0,1 м/с; температура воды, поступающей в трубу 90 °С; температура воздуха помещения 20 °С).Рассмотрены достаточно распространенные на сегодняшний день виды изоляции: теплоизоляция из вспененного каучука KFlex ST и изоляция на основе минеральной ваты фирмы Rockwool с покрытием из алюминиевой фольги.
Дополнительно указана теплоотдача теплоизолированной трубы, рассчитанная по рекомендациям НИИ сантехники [2, 3] — рис. 1.Как видно из полученных результатов, учет теплоизоляции посредством умножения величины теплоотдачи неизолированной трубы на коэффициент 0,65–0,7 (рекомендация НИИ сантехники) [2, 3] недооценивает эффективность изоляции (следовало бы рекомендовать коэффициент 0,15–0,2 для теплоизолированных стальных труб).
Дополнительно отметим, что программа подбора изоляции фирмы Kaimann (KaiCalc_v5.2), производителя изоляции KFlex ST, дает результаты аналогичные полученным в результате расчета по рассматриваемой методике. Для различного рода полимерных труб наблюдается практически тождественная картина, т.е. тепловой поток от теплоизолированных труб сокращается на 75–80 %.
Терморегулирующая арматура
В соответствии с п. 6.5.13 СНиП [13] у отопительных приборов следует устанавливать регулирующую арматуру, за исключением приборов в помещениях, где имеется опасность замерзания теплоносителя (на лестничных клетках, в вестибюлях и т.п.). В жилых и общественных зданиях у отопительных приборов рекомендуется устанавливать автоматические терморегуляторы, что и встречается сегодня на практике повсеместно.
В результате использования терморегулирующих клапанов мы имеем систему отопления с динамически изменяющимися расходами воды через отопительные приборы. Таким образом, для решения задачи, обозначенной в начале статьи, нам необходимо определить, на сколько увеличится расход воды через отопительный прибор за счет работы терморегулятора (при снижении температуры воздуха помещения сильфон клапана сжимается и регулирующий шток поднимается, тем самым, увеличивая расход теплоносителя).
В двухтрубных системах водяного отопления, наиболее популярных в новом строительстве, используются терморегуляторы с предварительной настройкой, предназначенной для гидравлической балансировки циркуляционных колец системы в расчетном режиме. Клапан терморегулятора оснащается не только штоком, регулирующим расход теплоносителя, но и специальным дросселем, позволяющим установить определенный уровень потерь давления на клапане.
Настройка дросселя терморегулятора оказывает влияние на пропускную способность клапана, а, соответственно, и на расход воды через отопительный прибор. Данное воздействие иллюстрирует рис. 2 [14].Пунктиром обозначено начальное положение штока клапана. Оно соответствует зоне пропорциональности клапана — 2 К, т.е. в случае повышения температуры воздуха помещения на 2 К клапан полностью закроется.
Начальное положение штока клапана может быть различным, а именно находиться в зоне пропорциональности 0,5–2 К, в зависимости от настройки дросселя [14]. Таким образом, для нахождения величины расхода теплоносителя при снижении внутренней температуры в помещении необходимо иметь данные о настройке дросселя и о зоне пропорциональности клапана.
Данные, которые предоставляет производитель для осуществления подбора предварительной настройки дросселя, выглядят следующим образом (табл. 1) [15]:Указываются пропускные способности клапана при определенной настройке дросселя, причем только для конкретной зоны пропорциональности клапана (как правило, 2 К). Максимальная пропускная способность kvs указана, как видно, только при настройке N.
Для остальных настроек максимальные пропускные способности вообще не указываются. В итоге расчет расхода через открывающийся клапан терморегулятора был бы невозможен, если бы с 1 января 2007 г. не вступил в силу европейский стандарт EN 2151 [16], в соответствии с которым все производители терморегуляторов для отопительных приборов обязаны предоставлять информацию о пропускных способностях клапанов при различных зонах пропорциональности терморегулятора для всех настроек дросселя и всех видов сенсоров.
Пример такой информации, в данном случае предоставленной компанией Danfoss, представлен ниже (табл. 2).На основе данной информации был выполнен расчет остывания теплоносителя в отопительном приборе при различном положении штока клапана терморегулятора и при различных предварительных настройках дросселя.
В качестве отопительного прибора выбран стальной радиатор фирмы Kermi типа «Профилькомпакт» [3], модель 115001000 с площадью наружной поверхности 4,06 м2 и схемой движения теплоносителя в приборе «сверху-вниз», оснащенный терморегулирующим клапаном фирмы Danfoss RTDN 15 с термостатическим элементом RTD 3640 [15].
Температура воды, входящей в отопительный прибор, принята равной 90 °С, температура воздуха в помещении — 20 °С. Расчет температуры на выходе из отопительного прибора выполнен посредством численного решения уравнения теплового баланса отопительного прибора [17]:
kпрFпр[0,5(tвх + tвых) – tв] = Gпрc(tвх – tвых),
где kпр — коэффициент теплопередачи отопительного прибора [2], Вт/(м2⋅ °С):

где Qну — номинальный тепловой поток радиатора при нормальных условиях [2], Вт; Fпр — площадь наружной теплоотдающей поверхности радиатора, м2; tвх — температура теплоносителя на входе в отопительный прибор, °С; tвых — температура теплоносителя на выходе из отопительного прибора, °С; tв — температура внутреннего воздуха, °С; Gпр — расход теплоносителя через отопительный прибор, кг/с; n, m — эмпирические коэффициенты [2]; a, b, p — поправочные коэффициенты [2]; с — удельная теплоемкость теплоносителя, Дж/(кг⋅ °С).
Результаты расчета представлены в табл. 3. Как видно из таблицы, при полном открытии клапана терморегулятора происходит ощутимое повышение температуры теплоносителя на выходе из отопительного прибора. Особенно существенно это повышение при больших значениях настроек дросселя. Таким образом, работа клапана терморегулятора, безусловно, окажет значительное влияние на скорость остывания воды в системе отопления при отключении централизованного теплоснабжения.