При объективной оценке эффективности нужно учитывать разные режимы работы утилизатора: «сухой», «мокрый», неуправляемый, управляемый, оттайки и др., описанные в предыдущей статье (журнал С.О.К., №12/2010). В результате возможных ошибок, перечисленных ниже, можно получить фактическую эффективность и экономию теплоты существенно меньшую, чем по расчету, это может не устроить заказчика. Последний не намерен долго ждать окупаемости этого аппарата, отводя этому срок примерно два-три года.
Основные теплотехнические параметры утилизаторов теплоты и холода
В технических и частично экономических расчетах, при испытании теплоутилизационного оборудования используют различные и, в общем случае, многочисленные параметры, одни из которых применяют чаще, другие — реже. Среди этих параметров основными являются:
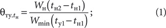
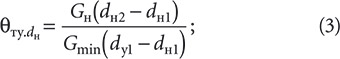
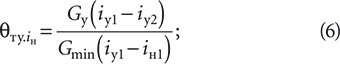
- температурный коэффициент эффективности по наружному воздуху:

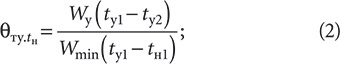
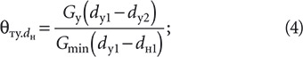
- температурный коэффициент эффективности по уходящему воздуху:

- коэффициент эффективности влагообмена по наружному воздуху:

- коэффициент эффективности влагообмена по уходящему воздуху:

- энтальпийный коэффициент эффективности по наружному воздуху:

- энтальпийный коэффициент эффективности по уходящему воздуху:

- коэффициент явной теплопередачи аппарата, Вт/(м2⋅°С):

- коэффициент массопередачи аппарата, кг/м2⋅c (кг/кг):

- коэффициент полной теплопередачи аппарата, Вт/(м2⋅°С):

- показатель ξн как отношение полной теплоты, подводимой к потоку наружного воздуха, к явной теплоте (по сути, это так называемый «коэффициент влаговыпадения», применяемый при расчете воздухоохладителей):

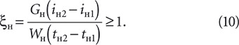
- показатель ξу как отношение полной теплоты, отводимой от потока уходящего воздуха, к явной теплоте (коэффициент влаговыпадения):


В вышеприведенных формулах использованы выражения, называемые водяными эквивалентами по наружному Wн и уходящему Wу воздуху, по циркулирующей воде или рассолу Ww, по насадке Wнас: Wн = Gнcв; Wу = Gуcв; Ww = Gwcw и Wнас = Мнасcнас. Все эти величины, кроме Wнас, измеряют в кВт/°C, а величину Wнас — в кДж/°С.
Отношение Wнас к любому из эквивалентов (Wн, Wy, Ww) характеризует инерционность процесса передачи теплоты от насадки к движущейся среде и измеряется в секундах.
Технико-экономическая эффективность применения теплоутилизации в СКВ и СВ
Задача обоснования эффективности теплоутилизации связана с учетом значительной стоимости оборудования, достигающей 30-50 % от стоимости приточной установки, разной продолжительности использования, тенденцией роста тарифов на тепловую и электрическую энергию, высокой платой за подсоединение к теплосети, высоких штрафов за превышение температурой обратной воды ее графика ТЭЦ, поэтому однозначного решения такая задача не имеет. По мнению А.А. Рымкевича [6] и других специалистов, утилизация теплоты — важное вторичное мероприятие, которое нужно рассматривать и анализировать после того, как исчерпаны все первичные возможности снижения потребления теплоты за счет комплекса мероприятий.
Способы оценки эффективности утилизации теплоты
Существуют несколько способов оценки эффективности утилизации теплоты в том или ином аппарате. Первый способ оценки на основе коэффициента использования энергии как отношения получаемой в утилизаторе теплоты к затрачиваемой электроэнергии на преодоление сопротивления сред ηэ = Qт/N.
Будучи чисто энергетической характеристикой, он не учитывает стоимости аппарата и разные, к тому же возрастающие, тарифы за теплоту (по горячей воде или сопутствующей электроэнергии) и за электроэнергию, т.е. использует натуральные мгновенные показатели. Кроме того, получаемая в утилизаторе теплота всегда переменна в зависимости от начальной разности температур tу – tнi текущей эффективности и режима работы теплоутилизатора.
Второй способ оценки основан на эксергетическом КПД [2], учитывающем относительную эксергию теплоты, влаги и эксергию движущегося воздуха:

где E1 и Е2 — эксергия теплоты, влаги и эксергия удаляемого и приточного (наружного) воздуха; ΣEn — суммарная эксергия потребляемой электрической энергии в системе. По поводу этих коэффициентов В.Н. Богословский и М.Я. Поз [1, с. 283] справедливо заметили, что «...любой из указанных термодинамических показателей дает только представление о степени термодинамического совершенства процесса и не может служить основанием для принятия технического решения.».
Третий способ оценки является более общим технико-экономическим показателем и характеризует ожидаемый срок окупаемости дополнительных капитальных затрат (впервые предложен для условий рынка английским физиком У Томсоном (1824-1907), более известным в нашей стране как теплофизик Кельвин [8]) в вариантах разного типа ТУ, их эффективности, стоимости и аэродинамического сопротивления:


Годовой экономический эффект [руб/ год] как разность приведенных затрат по сравниваемым вариантам систем с теплоутилизатором (2) и без него (1) является другим комплексным показателем:

где ΔCт.год — стоимость сэкономленной теплоты в горячей воде, паре, электроэнергии с учетом настоящих и перспективных тарифов на энергоносители, руб/год; ΔCэ.год — стоимость дополнительного годового расхода электроэнергии на перемещение воздуха и воды через аппарат, руб/год; ΔKту — капитальные затраты на утилизатор, его монтаж, наладку и управление, руб.; (Ен + 0,18) ΔKту — отчисления от дополнительных капитальных затрат на амортизацию, ремонт, общеобъектные и прочие расходы 0,18ΔKту [руб/год], в связи с применением теплоутилизатора и изменением типоразмера воздухонагревателя, а также с учетом нормативного коэффициента эффективности:

где r — норма дисконта, r = 0,10-0,15 [8]; Ток — срок окупаемости дополнительных капитальных затрат, год; ΔKвн — сокращение капитальных затрат на воздухонагреватель при уменьшении его рядности или полном отказе, руб.; ΔKприс — единовременные затраты на присоединение объекта к источнику теплоты, руб/Гкал или руб/кВт⋅ч.
В формуле должна быть учтена зависимость всех величин от конструкции утилизатора и его эффективности. Также среди составляющих эксплуатационных затрат следует учесть возможные штрафы ТЭЦ за превышение температуры обратной воды после воздухонагревателя.
Сводная номограмма для оценки эффективности современных теплоутилизаторов была разработана на основе соответствующих расчетов и представлена на рис. 1 в предположении неизменности коэффициента эффективности в течение неуправляемого режима работы аппарата. Эта номограмма построена в следующей последовательности. Предварительно по данным одного из производителей кондиционеров была оценена примерная удельная стоимость разных теплоутилизаторов (рис. 1а). Аналогично на этот график можно нанести данные об удельной стоимости теплоутилизаторов других производителей. Для конкретных условий (ty = 20 °C, tк = 10 °С) при разных θту построена граница режимов работы ТУ (правый квадрант на рис. 1) и определено удельное количество теплоты (на 1 кг/с нагреваемого воздуха при односменной работе).
Воспользуемся этими данными для оценки эффективности применения ТУ в климатических условиях города Санкт-Петербурга.
Пример
Оценить удельную экономическую эффективность применения теплоутилизатора, отнесенную к 1000 м3/ч нагреваемого наружного воздуха при его удельной стоимости Kту/Lн = 40 тыс. руб/(тыс. м3/ч) в самом благоприятном случае, т.е при непрерывной работе системы
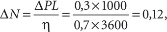
ΣQту.год = 24 тыс. кВт⋅ч/(год⋅тыс. м3/ч), электронагреве по среднему (между дневным и ночным) тарифу c’э = 2 руб/кВт⋅ч, аэродинамическом сопротивлении аппарата ΔРв = 0,30 кПа; КПД вентиляторной установки η = 0,7, соответствующей дополнительной мощности на перемещение воздуха 0,12 кВт/(тыс. м3/ч):

дополнительном годовом расходе электроэнергии 1,05 тыс. кВт⋅ч/(год⋅тыс. м3/ч) ΔWэ = 8766 х 0,12 = 1,05.
Сокращением затрат на воздухонагреватель при устройстве теплоутилизатора пренебречь. Платой за подключение данного нагревателя к теплосети и штрафом за превышение воздухонагревателем температуры обратной воды пренебречь. Срок окупаемости затрат Ток принять равным трем годам. Определяем срок окупаемости дополнительных капитальных затрат, получаем один год:

Поменяем условия расчета, заменив электронагрев теплоносителем — горячей водой по тарифу с’т = 1 руб/кВт⋅ч. Тогда срок окупаемости дополнительных капитальных затрат на устройство теплоутилизатора в тех же условиях будет равен 2,7 года:

Как видно, даже при данном тарифе на теплоту в горячей воде и при непрерывной работе системы в течение суток и года высокая удельная стоимость теплоутилизатора не позволяет рассчитывать на быстрый возврат (окупаемость) капиталовложений. Если применять менее эффективные (θтy = 0,55-0,65), но зато более дешевые устройства, то, судя по повторяемости Δτ/Δtн, основной эффект может возрасти, т.к. его достигают не при низких, а при промежуточных наружных температурах (tн = -10...+10 °С).
Для более строгого расчета нужно принимать во внимание разную поверхность, рядность и стоимость основного воздухонагревателя и еще одного электрического, работающего в случае прекращения подачи теплоносителя во внеотопительный период при tн > 8 °С. Результаты экономического расчета повысят эффективность утилизации теплоты, если учесть высокую начальную плату за присоединение воздухонагревателя к тепловой сети или другому источнику.

Оценка эффективности применения утилизаторов
Проблеме оценки эффективности применения утилизаторов посвящено много публикаций. Все они по-разному подходят к методам вычисления эффекта, учитывая одни составляющие и не учитывая другие. Дадим оценку только некоторым, наиболее характерным публикациям. В статье [5] использован традиционный, упрощенный, по нашему мнению, не совсем правильный и частный метод расчета срока окупаемости как результат деления стоимости теплоутилизатора на стоимость разности сэкономленной тепловой и перерасходованной электрической энергии. При этом в статье не указана эффективность аппарата и комплекс «эффективность/стоимость», кстати, переменный, зависящий от типа аппарата, его воздухопроизводительности, не учтены разные режимы работы, оттайка и возникающие перерасходы, плата за присоединение и др. Все это не дает представления о различии результатов расчета в разных условиях.
Что касается многообразных климатических условий, представленных в статье городами, где суткоградусы отопительного периода изменяются от 1500 до 12 000 сут-°С за отопительный период, то эту часть работы можно существенно упростить. Проведя небольшое исследование и представив его в координатах: относительный годовой расход утилизируемой теплоты в круглогодично неуправляемом аппарате — суткоградусы отопительного периода — можно получить практически линейную зависимость (рис. 2). Такая линеаризация делает избыточными многократные расчеты, приводимые в этой статье, а прямую для данных условий (Lн, θту, ΔKту) достаточно провести по трем-четырем точкам, соответствующим городам в разных климатических условиях.
Технико-экономическая оценка энергосберегающего оборудования
Технико-экономической оценке энергосберегающего оборудования посвящена статья [3], характерная в части возникающих вопросов и замечаний. Наибольшее внимание в ней уделено собственно методике анализа и вычислению коэффициента дисконтирования, имея ввиду отдаленный срок окупаемости. Однако расчеты показывают, что полная амортизация и окупаемость затрат на эти аппараты желательна за относительно короткий срок (один-три года). В ряде случаев, при дефиците теплоты на объекте и высокой плате за присоединение к источнику, утилизация не только обоснована, но и единственно возможна для нагревания наружного воздуха.
Не имея принятую в статье итоговую формулу для срока окупаемости теплоутилизатора, трудно представить, учтены ли в приводимых расчетах: возможный дефицит теплоты на объекте и реальная, постоянно растущая плата за подсоединение к источнику теплоты; принятая доля разности капитальных затрат, учитываемая в эксплуатационных затратах на амортизацию, ремонт, общеобъектные расходы (всего около 18 %).
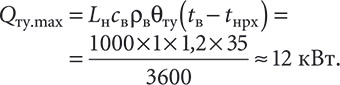
Покажем на примере, что единовременная плата за подсоединение к тепловой сети соизмерима или даже превышает стоимость теплоутилизатора. Пусть удельная стоимость утилизатора ΔКту ~ 30-40 тыс. руб/(тыс. м3/ч). Такому единичному расходу воздуха соответствует в средних условиях расчетная теплопроизводительность утилизатора и, соответственно, уменьшение мощности при подсоединении к ТЭЦ:

Это равносильно плате за подсоединение в размере
ΔКподс = 3,45 х 12 х 103 = 41,5 тыс. руб., если принять удельную плату:

В условиях этого примера оказывается, что плата за присоединение к ТЭЦ соизмерима или даже больше, чем стоимость теплоутилизатора, и поэтому речи о сроке окупаемости не идет.

Нельзя не обратить внимание в анализируемой статье на способ расчета годового расхода утилизируемой теплоты. Не оговаривая режим работы теплоутилизатора, авторы приняли его по умолчанию круглогодично неуправляемым. Приближенно-синусоидальное изменение tн(t) ошибочно построено не по средним значениям температур («норме»), а по максимальным и минимальным, т.е. имеет существенно завышенную амплитуду. Соответственно этому величина утилизируемой теплоты тоже завышена. Для Санкт-Петербурга, например, tн.min.cp = -8,1 °C [4], а расчетная зимняя температура tнрх = -26 °C. Аналогично в теплый период года tн.max.cp = 18,1 °С [4], тогда как расчетная летняя температура tнрт = 24,6 °С. Также, среднегодовая температура tн.ср.год = 4,4 °С далеко не равна полусумме принятых расчетных в холодное и теплое время года (-0,6 °С). Возражение вызывает неучет режимов работы и оттайки, приводящий к завышению расхода утилизируемой теплоты, и отсутствие учета переменной эффективности аппарата.
Эффективность конструкции утилизатора можно анализировать с точки зрения выбора: оптимальной поверхности F, рядности i или глубины насадки аппарата h. Обозначим относительную рядность или глубину аппарата как h в долях от той, при которой θту = 1, а количество теплоты Qту = Qт.max. При приближенно экспоненциальной зависимости Qту ≈ 1 – exp(–h) эффективность θту = 1 достигается при условии h = 4 (с точностью до 1 %). Примем, что годовой расход утилизируемой теплоты приближенно экспоненциально зависит от величины h (рис. 1а), тогда как стоимость утилизатора и его аэродинамическое сопротивление от h зависят приближенно линейно.
Тогда искомый срок окупаемости можно представить в виде (функции от безразмерного параметра h, имеющей следующий вид:

где a1, a2, a3, a4 — некоторые корректирующие коэффициенты, принятые постоянными.
В результате вычисления производной, приравненной нулю, получаем, что оптимум (минимум Tфакт) соответствует случаю, когда h = 1, а эффективность теплоутилизатора qту.опт = 0,63 (из свойств экспоненциальной функции). Вышеописанные зависимости иллюстрирует график на рис. 3, где показан приближенный характер изменения всех составляющих приведенных затрат и срока окупаемости дополнительных затрат на подсистему утилизации от относительной глубины h, относительной толщины d или относительной поверхности F насадки или пластин такого аппарата.
Сравнивая результаты приближенной оптимизации по формуле (14) с данными о характеристиках отечественных ВРТ [1, табл. 6.1] при L = 5-38 тыс. м3/ч, δ = 0,2 м, vфр = 2,2 м/с, F/L = 300-425 м2/ (м3/с), F/Fфр = 490-660 м2/м2, получили при насадке из алюминиевой фольги расчетную эффективность θту = 0,77, при насадке из технического картона — θту = 0,65 (в последнем случае близко к оптимальной эффективности, вычисленной при вышеописанных допущениях). Более подробно зависимости, характеризующие экономический эффект для различных теплоутилизаторов при разной производительности, сменности работы и с разной насадкой, можно определить по данным [1].
Несмотря на то, что за время после опубликования этой книги изменились цены на оборудование и тарифы на энергоносители, характер кривых указывает на наличие оптимума экономического эффекта Э и, значит, минимума срока окупаемости Ток.
К аналогичным выводам об оптимальной эффективности теплоутилизатора пришли авторы «Справочника» [7]. В частности, они отмечают: «...Доведение эффективности утилизатора до величины, большей 0,65 при односменной работе и 0,75 при трехсменной, во всех случаях приводит к уменьшению экономического эффекта, т.к. сбережение теплоты при этом достигается за счет чрезмерного роста приведенных затрат на устройство и эксплуатацию утилизаторов и расхода металла. Наибольшее влияние на экономический эффект оказывает продолжительность работы системы — при трехсменной ее работе эффект резко возрастает. Рост эффекта при увеличении расхода воздуха объясняется в основном непропорциональным ростом удельных затрат на оборудование и занимаемую им площадь.». В этом же справочнике [7, с. 282] указано, что по данным РПИ в климатических условиях Прибалтики для пластинчатого утилизатора СВ свинарника-откормочника оптимальная эффективность не должна превышать 0,50.
Продолжение в следующем номере.
