Рис. 1. Схема приточно-вытяжной вентиляционной установки, оборудованной утилизацией теплоты вытяжного воздуха с промежуточным теплоносителем
Рис. 2. Зависимость совокупных дисконтированных затрат от эффективности теплоутилизатора при различных горизонтах расчета
Рис. 3. Зависимость оптимальной эффективности теплоутилизатора от расчетного срока окупаемости
Одно из наиболее перспективных, малозатратных и быстроокупаемых энергосберегающих мероприятий в системах механической вентиляции и кондиционирования — это утилизация теплоты вытяжного воздуха для частичного подогрева притока в холодный период года. Для осуществления теплоутилизации используются аппараты различных конструкций, в т.ч. пластинчатые перекрестноточные рекуперативные теплообменники и регенераторы с вращающимся ротором, а также устройства с так называемыми тепловыми трубами (термосифоны).
Однако можно показать, что в условиях сложившегося в РФ уровня цен на вентиляционное оборудование и, главным образом, ввиду практического отсутствия собственного производства перечисленных типов устройств, с техникоэкономической точки зрения целесообразно рассматривать утилизацию теплоты только на базе аппаратов с промежуточным теплоносителем. Такая конструкция, как известно, обладает целым рядом преимуществ [2].
Во-первых, для ее реализации используется серийное оборудование, поскольку здесь приточная установка дополняется только калорифером-утилизатором, а вытяжная — охладителем-утилизатором, которые конструктивно аналогичны обычным калориферам и охладителям. Это особенно существенно, поскольку в РФ имеется ряд предприятий, ведущих собственное производство рассматриваемых изделий, в т.ч. такие крупные, как ООО «Веза».
Кроме того, теплоутилизационное оборудование данного типа очень компактно, а соединение приточного и вытяжного агрегатов только через циркуляционный контур с промежуточным теплоносителем позволяет выбирать место для их размещения практически независимо друг от друга. В качестве теплоносителя обычно используются низкозамерзающие жидкости типа антифризов, причем небольшой объем циркуляционного контура позволяет пренебречь затратами на антифриз, а герметичность контура и нелетучесть антифриза делают второстепенным вопрос о его токсичности.
Наконец, отсутствие непосредственного контакта потоков подаваемого и удаляемого воздуха не накладывает ограничений на чистоту вытяжки, что практически безгранично расширяет группу зданий и помещений, где можно применять теплоутилизацию. В качестве недостатка обычно указывают не слишком высокую температурную эффективность, не превышающую 50–55% [2].
Но это как раз тот случай, когда вопрос о целесообразности использования теплоутилизации должен решаться технико-экономическим расчетом, о чем мы и будем говорить далее в нашей статье. Можно показать, что срок окупаемости дополнительных капитальных затрат по устройству теплоутилизации с промежуточным теплоносителем не превышает трех-четырех лет.
Это особенно существенно в условиях нестабильной рыночной экономики с заметно меняющимся уровнем цен на оборудование и тарифов на энергетические ресурсы, что не позволяет применять капиталоемкие инженерные решения. Однако остается открытым вопрос об экономически наиболее целесообразной температурной эффективности такого теплоутилизационного оборудования kэф, т.е. доли теплоты, затрачиваемой на подогрев притока за счет теплоты вытяжного воздуха, по отношению к общей тепловой нагрузке. Обычно используемые значения данного параметра лежат в диапазоне от 0,4 до 0,5. Сейчас мы покажем, на каком основании приняты указанные значения.
Эта проблема будет рассмотрена на примере приточно-вытяжной вентиляционной установки производительностью 10 000 м3/ч, использующей оборудование ООО «Веза». Данная задача является оптимизационной, поскольку сводится к выявлению значения kэф, обеспечивающего минимум совокупных дисконтированных затрат СДЗ на устройство и эксплуатацию вентиляционного оборудования.
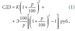
Расчет следует вести при условии использования заемных средств на сооружение вентустановок и приведения СДЗ к концу рассматриваемого временного интервала Т по следующей формуле [3]:

где К — общие капитальные затраты, руб; Э — суммарные годовые эксплуатационные издержки, руб/год; p — норма дисконта, %. При вычислениях ее можно принимать равной ставке рефинансирования ЦБ РФ. С 15 января 2004 г. эта величина равна 14% годовых. В данном случае удается исследовать задачу в достаточно полном объеме сравнительно элементарными средствами, поскольку все составляющие затрат легко учитываются и достаточно просто вычисляются.
Впервые решение этой задачи было опубликовано автором в работе [4] для уровня цен и тарифов, действовавших на тот момент. Однако, как легко будет убедиться, при пересчете на более поздние данные основные выводы сохраняют свою силу. Одновременно мы покажем, как следует осуществлять сам технико-экономический расчет при необходимости выбора оптимального варианта инженерного решения, поскольку все другие задачи будут отличаться только определением величины К.
Но это легко делается по каталогам и прайслистам предприятий-производителей соответствующего оборудования. В нашем примере капитальные затраты определялись по данным компании «Веза», исходя из производительности и принятого набора секций приточной и вытяжной установок: передняя панель с одним вертикальным клапаном,фильтр ячейковый класса G3, вентиляторный блок; кроме того, в приточной установке также дополнительно воздухонагреватель системы теплоутилизации и догревающий калорифер с теплоснабжением от теплосети, а в вытяжной — воздухоохладитель системы теплоутилизации, а также циркуляционный насос.Схема такой установки показана на рис. 1. Расходы на монтаж и наладку вентиляционных агрегатов принимались в размере 50% от основных капиталовложений.
Затраты на теплоутилизационное оборудование и догревающий калорифер вычислялись по результатам расчетов на ЭВМ по программам компании «Веза» в зависимости от эффективности утилизатора. При этом с ростом эффективности величина К растет, поскольку число рядов трубок теплообменников системы утилизации увеличивается быстрее (для kэф= = 0,52 — до 12 в каждой установке), чемсокращается число рядов догревающего калорифера (с 3 до 1 в тех же условиях).
Эксплуатационные издержки складываются из годовых затрат соответственно на тепловую и электрическую энергию и амортизационные отчисления. При их расчете продолжительность работы установки в течение суток в расчетах принималась равной 12 ч, температура воздуха за догревающим калорифером +18°С, а после теплоутилизатора — в зависимости от kэфчерез среднюю наружную температуру за отопительный период и температуру вытяжного воздуха.
Последняя по умолчанию равна +24,7°С (программа подбора теплоутилизаторов ООО «Веза»). Тариф на тепловую энергию принимался по данным ОАО «Мосэнерго» на середину 2004 г. в размере 325 руб/Гкал (для бюджетных потребителей). Очевидно, что с ростом kэфвеличина затрат на тепловую энергию уменьшается, что, вообще говоря, и является целью теплоутилизации.
Затраты на электроэнергию рассчитываются через электрическую мощность, требуемую для привода циркуляционного насоса системы теплоутилизации и вентиляторов приточной и вытяжной установок. Эта мощность определяется, исходя из потерь давления в циркуляционном контуре, плотности и расхода промежуточного теплоносителя, а также аэродинамического сопротивления вентиляционных установок и сетей. Все перечисленные величины, кроме плотности теплоносителя, принятой равной 1200 кг/м3, вычисляются по программам подбора теплоутилизационного и вентиляционного оборудования ООО «Веза». Кроме того, в выражениях для мощности участвуют также коэффициенты полезного действия применяемых насосов и вентиляторов.
В расчетах использовались средние значения: 0,35 для насосов типа GRUNDFOS с мокрым ротором и 0,7 для вентиляторов типа RDН. Тариф на электроэнергию учитывался по данным ОАО «Мосэнерго» на середину 2004 г. в размере 1,17 руб/(кВт ֹч). При увеличении kэфуровень затрат на электроэнергию возрастает, поскольку с ростом числа рядов утилизационных теплообменников повышается их сопротивление потоку воздуха, а также потери давления в циркуляционном контуре промежуточного теплоносителя.
Однако в целом данная составляющая расходов существенно меньше затрат на тепловую энергию. Амортизационные отчисления также возрастают с увеличением kэфпостольку, поскольку при этом увеличиваются капитальные затраты. Расчет этих отчислений проводится исходя из обеспечения затрат на полное восстановление, капитальный и текущий ремонт оборудования, с учетом расчетного срока службы оборудования ТАМ, принятого при вычислениях равным 15 годам.
В целом, однако, суммарные эксплуатационные затраты с ростом эффективности утилизации уменьшаются. Поэтому возможно существование минимума СДЗ при том или ином уровне kэфи фиксированном значении Т. Результаты соответствующих расчетов показаны на рис. 2. На графиках легко можно видеть, что минимум на кривой СДЗ появляется практически при любом горизонте расчета, который по смыслу задачи равен требуемому сроку окупаемости.
Это означает, что при существующих ценах на оборудование и тарифах на энергетические ресурсы любые, даже самые незначительные капиталовложения в теплоутилизацию окупаются, и достаточно быстро. Поэтому утилизация теплоты с промежуточным теплоносителем оправдана практически всегда. С ростом предполагаемого срока окупаемости минимум на кривой СДЗ быстро смещается в область более высокой эффективности, достигая 0,47 при Т = ТАМ = 15 лет.
Понятно, что оптимальным значением kэфдля принятого срока окупаемости будет то, при котором наблюдается минимум СДЗ. График зависимости такого оптимального значения kэфот Т приведен на рис. 3. Поскольку более длительный срок окупаемости, превышающий расчетный срок службы оборудования, вряд ли оправдан, следует, видимо, остановиться на уровне kэф= 0,4–0,5, тем более что при дальнейшем росте Т увеличение оптимальной эффективности резко замедляется.
Кроме того, следует учесть, что рассматриваемый способ теплоутилизации при любой поверхности теплообмена и расходе теплоносителя вообще принципиально не может обеспечить величину kэфвыше 0,52–0,55, что и подтверждается расчетом по программе компании «Веза». Если принять тариф на тепловую энергию как для коммерческих потребителей в размере 547 руб/Гкал, снижение годовых издержек за счет теплоутилизации будет выше, поэтому график на рис. 3 показывает верхний предел возможного срока окупаемости.
Таким образом, указанный диапазон значений kэфот 0,4 до 0,5 находит полное технико-экономическое обоснование. Поэтому основной практической рекомендацией по итогам приведенного исследования является возможно более широкое использование утилизации теплоты вытяжного воздуха с промежуточным теплоносителем в любых зданиях, где предусматривается механическая приточно-вытяжная вентиляция и кондиционирование воздуха, с выбором коэффициента температурной эффективности, близкого к максимально возможному для данного типа установок. Другой рекомендацией является обязательный для рыночной экономики учет дисконтирования капитальных и эксплуатационных затрат при технико-экономическом сравнении вариантов инженерных решений по формуле (1).
При этом, если сравниваются только два варианта, как это чаще всего и бывает, удобно сравнивать только дополнительные затраты и считать, что в первом случае К = 0, а во втором, наоборот, Э = 0, а К равно дополнительным вложениям в мероприятия, целесообразность которых обосновывается. Тогда вместо Э в первом варианте нужно использовать разность годовых издержек по вариантам. После этого строятся графики зависимости СДЗ от Т, и в точке их пересечения определяется расчетный срок окупаемости.
Если он оказывается выше ТАМ, или графики вообще не пересекаются, мероприятия экономически необоснованы. Полученные результаты имеют весьма общий характер, поскольку зависимость изменения капитальных затрат от степени утилизации теплоты при существующей ситуации на рынке мало связана с конкретным производителем вентиляционного оборудования, а основное влияние на эксплуатационные издержки вообще оказывают только затраты тепловой и электрической энергии.
Поэтому предлагаемые рекомендации могут быть использованы при принятии экономически обоснованных решений по энергосбережению в любых системах механической вентиляции и кондиционирования воздуха. Кроме того, данные результаты имеют простой и инженерный вид и легко допускают уточнение при изменении действующих цен и тарифов.
Необходимо также заметить, что получающийся в приведенных расчетах срок окупаемости, в зависимости от принятого kэфдостигающий величины 15 лет, т.е. вплоть до ТАМ, является в некотором отношении предельным, возникающим при учете всех капитальных затрат. Если же учитывать только дополнительные капиталовложения непосредственно в теплоутилизацию, срок окупаемости действительно сокращается до 3–4 лет, как и было указано выше.
Следовательно, утилизация теплоты вытяжного воздуха с промежуточным теплоносителем действительно является малозатратным и быстроокупаемым мероприятием и заслуживает самого широкого применения в условиях рыночной экономики.