Рис. 1. Зависимость A/ V от Ag при H = 10; 8; 6 и 4 м
Рис. 2. Роль радиационного фактора в работе светлых (tρ = 900°С) и темных (tρ = 450°С) излучателей
Прежде всего, лучистое отопление следует различать, исходя из используемого типа излучателей, классифицируемых следующим образом:
- темные излучатели в соответствии с DIN 3372, часть 6 [1], без открытого пламени с температурой поверхности, не превышающей 450°С;
- светлые излучатели в соответствии с DIN 3372, часть 1 [2], с температурой поверхности до 900°С.
Среди многочисленных типов оборудования, используемых для воздушного отопления, наибольший интерес представляют децентрализованные агрегаты с верхней раздачей воздуха свободными струями с полым ядром и регулируемым углом закручивания [3–9]. Что касается лучистого отопления, из физических соображений только светлые излучатели в полной мере реализуют лучистый теплообмен, интенсивность которого в соответствии с законом Стефана-Больцмана пропорциональна четвертой степени разности температур обменивающихся теплом поверхностей.
В случае темных излучателей, использующих длину волны излучения порядка 10 м, наряду с лучистой составляющей существенным является конвективный теплообмен, что, с одной стороны, позволяет в определенной мере избежать недостатков, характерных для лучистого отопления, а, с другой стороны, приводит к ухудшению условий обогрева, свойственных размещению нагревателей конвективного типа под потолком.
1. Останавливаясь на лучистом отоплении с использованием светлых излучателей, следует отметить, что созданию высоких температур сопутствует выгорание кислорода, а также образование вредных веществ за счет пригорания пыли. В связи с этим возникает потребность в определенном количестве свежего воздуха. Согласно рекомендациям DVGW G 638, часть 1 [10], на каждый кВт мощности, развиваемой светлыми излучателями, необходимо гарантированное снабжение не менее 30 м3/ч свежего воздуха.
Таким образом, возникающий эффект «антивентиляции» приводит к тому, что их использование в достаточно герметичных строительных объемах проблематично. Очевидным является следующее отношение площади ограждающих конструкций к объему помещения:

где: W— ширина, L — длина, H — высота помещения. В результате несложных преобразований имеем:

где: ζ= L/W,Af = LW. При высоте помещения 10 м, ζ= 10, Af ≈ 1000 м2, имеем A/V ≈ 0,3. Полагая потери тепла через ограждающие конструкции равными 0,1 кВт/м2, получаем, что применение светлых излучателей допустимо при естественной аэрации, составляющей не менее 0,1•0,3•30 = 0,9 1/ч.Указанное соответствует условиям негерметичных помещений, открытых и полуоткрытых площадок.
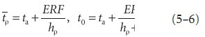
2. Независимо от типа излучателя перенос тепла за счет лучистой составляющей происходит опосредованным образом. Под действием относительно высокой температуры излучателя в первую очередь осуществляется разогрев ограждающих поверхностей, которые, в свою очередь, служат вторичным источником тепловыделений. В этом смысле показательным является анализ приведенной выше формулы (2), характеризующей взаимосвязь между площадью пола Ag, м2, и отношением площади ограждающих конструкций к объему помещения A/V.
На рис. 1 указанная зависимость представлена графически для различных значений высоты помещения H. Детальные исследования [11], в т.ч. путем постановки крупномасштабных экспериментов в натуре, показывают, что использование светлых излучателей является эффективным при высоте помещения не более 10 м, а темных излучателей — при высоте помещения не более 5 м.
При этом следует заметить, что современные вентиляционные агрегаты с верхней раздачей воздуха обеспечивают формирование свободных аэродинамических струй, имеющих дальнобойность до 18–20 м. Обращаясь к графику, представленному на рис. 1, следует заметить, что в рассматриваемом диапазоне высот помещений площадь A, а, следовательно, и роль ограждающих конструкций в качестве вторичного источника тепловыделений по сравнению с общим объемом помещения V сохраняется повышенной только при значениях площади пола Ag, не превышающей 2000–3000 м2.
Таким образом, становятся очевидными преимущественные области использования лучистого и воздушного отопления, из которых последнее является предпочтительным для помещений большого объема, имеющих площадь не менее 2000м2 и высоту потолков не менее 10 м.
3. Одним из преимуществ лучистого отопления является возможность поддержания более низких температур воздуха внутри помещения при создании аналогичных условий тепловых ощущений, что и при использовании воздушного отопления. Указанное обстоятельство рассматривается как фактор энергосбережения, поскольку при этом несколько снижается количество тепла, потребного для подогрева приточного воздуха. Действительно, лучистое отопление характеризуется следующими основными показателями:
- Средняя радиационная температура tp, равная температуре поверхности абсолютно черного тела, с которым происходил бы лучистый теплообмен, эквивалентный имеющему место в реальной обстановке;
- Температура воздуха внутри помещения ta;
- Оперативная температура t0, равная температуре поверхности абсолютно черного тела, с которым происходил бы в сумме лучистый и конвективный теплообмен, эквивалентный имеющим место в реальной обстановке;
- Эффективный лучистый поток ERF, воздействующий на человека.
При известных значениях коэффициентов лучистого hp и конвективного hc теплообмена соотношения между перечисленными выше основными показателями определятся:

ERF = (hp + hc)(t0 - ta) (4)



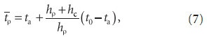
Из приведенных формул очевидным является с увеличением радиационного фактора рост температуры поверхности ограждающих конструкций, что обуславливает потери тепла за счет их теплопроводности. В результате выигрыш энергии, расходуемой на подогрев приточного воздуха, оказывается связанным с повышенными кондуктивными теплопотерями. Количественно энергетический баланс определяется значениями hp и hc, выражаемыми следующим образом

где: fэфф — отношение поверхности тела человека, м2, подверженной радиационному воздействию, к общей поверхности DuBois: 0,202W0,425H0,725, где W — вес, кг; H — рост, м, fэфф = 0,71; σ— постоянная Стефана-Больцмана, σ = 5,67 •10–8 Вт/(м2˙K4); T — абсолютная температура,T = 273.
Hc = C1v0,5, (10)
где: v — подвижность воздуха, м/с; C1 — константа, C1 = 0,107. Отсюда, роль радиационного фактора существенным образом зависит от подвижности воздуха в помещении и типа излучателя, что представлено на рис. 2.
4. Эффективность использования тепловой энергии внутри помещения зависит от формируемого по вертикали градиента температур. Обычно за счет естественной конвекции указанный градиент составляет порядка 1°С/м, что при высоте помещения H = 10 м означает перегрев скапливающегося под потолком воздуха на 10°С по отношению к рабочей зоне. Воздушное отопление с использованием вертикально направленных вниз свободных струй позволяет снизить нежелательную температурную стратификацию вплоть до значений градиента порядка 0,1°С/м.
Это способствует не только более рациональному распределению тепла внутри помещения, но и снижает тепловые потери через кровлю, которая, как правило, обладает большей теплопроводностью в сравнении с другими ограждающими конструкциями. При использовании лучистого отопления, особенно с темными излучателями, имеет место обратная картина. Расположенные под потолком источники тепла, конвективная составляющая которых, как показано выше, доходит до 30%, непреднамеренно увеличивают вертикальный градиент температуры по сравнению с естественным.
В результате практически наблюдаемый перегрев воздуха в подпотолочном пространстве может достигать нескольких десятков градусов Цельсия с вытекающими отсюда нежелательными последствиями с энергетической точки зрения. Согласно теоретическим оценкам КПД темного излучателя с замкнутой нагревательной системой составляет около 88%. У децентрализованных воздухонагревателей с верхней раздачей воздуха коэффициент полезного действия достигает 92–94%.
Проведенные в Германии эксперименты [11] показали, что в цехе металлоконструкций с высотой потолков 12 м, который вначале был оснащен системой лучистого отопления, а затем переоборудован с использованием децентрализованных вентиляционных агрегатов воздушного отопления, температура в рабочей зоне изменилась с 11 до 11,5°С, в то время как температура воздуха под потолком снизилась с 28 до 18°С.
Дневной расход топлива при этом сократился с 24,8 до 11,7 м3. В другом примере техникоэкономическая оценка показала, что замена лучистого на воздушное отопление машиностроительного цеха объемом 22 тыс. м3 имела своим результатом сокращение годовых расходов на энергоносители с 49 тыс. до 17 тыс. немецких марок.
5. Считается, что лучистое отопление характеризуется быстрым разогревом помещения. Это действительно так в сравнении с традиционной системой отопления конвекторного типа. В сравнении же с воздушным отоплением, использующим децентрализованные вентиляционные агрегаты с верхней раздачей воздуха, лучистое отопление оказывается более инерционным.
Дело в том, что воздушное отопление реализует тепловую энергию непосредственно путем подачи в рабочую зону воздуха, подогретого необходимым образом. Разогрев же ограждающих конструкций является вторичным, температура поверхности которых постепенно приближается к температуре воздуха, оставаясь несколько ниже в зависимости от теплопроводности используемых строительных материалов.
При использовании лучистого отопления ситуация является прямо противоположной. В первую очередь происходит разогрев ограждающих конструкций под действием лучистого тепла, и лишь затем разогревается воздух, температура которого всегда остается ниже температуры ограждающих конструкций. Лимитирующим фактором при этом является не только теплопроводность используемых строительных материалов, но и другие их теплотехнические свойства, объединяемые понятием температурная проводимость:

где: λ — теплопроводность, Дж/(м˙с˙K), c — теплоемкость, Дж/(кг˙K), ρ— плотность, кг/м3. Согласно оценкам, проведенным в работе [12], исходя из значений температурной проводимости равных 0,317 •10–6 (кирпич), 0,362 •10–6 (асфальт), 0,568 •10–6 (бетон), тепловая инерция лучистого отопления в реальных условиях составляет порядка 1000 с. Показатели инерционности отопительной системы особенно важны в двух аспектах:
- с точки зрения поддержания заданных температурных режимов при варьируемых условиях работы (открывающиеся ворота, переменные технологические процессы, транспортные операции);
- при переходе из дежурного в рабочий режим, например, в начале смены после ночного снижения температуры до минимально допустимого уровня.
При этом следует иметь в виду, что лучистое отопление регулируется, как правило, по принципу включено/выключено, в то время как воздушное отопление поддается пропорциональному регулированию. Регулирование путем отключения и включения лучистых обогревателей (свет — тепло, темнота — холод) целиком либо группами приводит к невозможности равномерного поддержания заданных температурных режимов как в пространстве, так и во времени.
Групповое регулирование (отключение каждого второго или третьего излучателя) приводит к неоднородности распределения температур по площади помещения. При этом имеет место также нестабильность температурных режимов во времени, которая является особо выраженной в случае регулирования путем отключения и включения системы лучистого отопления целиком.
6. Неоднородность формируемых температурных полей является характерной особенностью лучистого отопления. Помимо ограждающих конструкций существенную роль играет внутренняя планировка помещений, а также размещаемое в них оборудование. В результате создаются зоны затенения, условия прогрева которых резко отличаются от зон прямого воздействия излучателей.
Недостатки проектирования лучистого отопления за счет этого могут приводить к наличию температурных контрастов, что создает угрозу простудных заболеваний. В этом отношении воздушное отопление, работающее по принципу «затопления» рабочей зоны нагретым воздухом, создает «мягкое» тепло, лишенное резких температурных контрастов.
Выводы
Отдавая должное лучистым излучателям как наиболее простому и в ряде случаев дешевому средству отопления, следует признать ряд сопутствующих их применению недостатков. Светлые излучатели допустимы к использованию в условиях негерметичных помещений, открытых и полуоткрытых площадок.
Применение темных излучателей рационально при отоплении помещений сравнительно небольшой площади и объема, не требующих создания повышенных комфортных условий. В остальных случаях современные системы воздушного отопления, использующие децентрализованные вентиляционные агрегаты с верхней раздачей воздуха, обладают неоспоримыми преимуществами. Экономическая целесообразность использования подобных систем должна обосновываться сравнительным анализом не только капитальных, но и эксплуатационных затрат.