Независимо от применяемого варианта необходимо произвести расчет тепловой мощности, обеспечивающей поддержание определенной температуры поверхности тротуара, при которой исключается образование льда при низких температурах наружного воздуха. В большинстве публикаций по проектированию и расчету систем напольного обогрева рассматривается применение таких систем для обогрева помещений [1, 2].
В этих случаях тепловая мощность определяется на основании расчета теплопотерь отапливаемого помещения. Тепловая мощность системы антиоледенения может быть определена как сумма теплоотдачи от поверхности тротуара к окружающему воздуху и тепловых потерь от нагревательных элементов в грунт при температуре поверхности тротуара, исключающей образование льда. По приближенным оценкам, для предотвращения образования льда требуется поддержание температуры поверхности тротуара не менее +3°C. Количество отдаваемого тепла можно определить по уравнению теплоотдачи от нагретой поверхности:
Q= αнF(ι– tн), (1)
где: Q — теплоотдача от поверхности тротуара к окружающему воздуху, Вт; αн— коэффициент теплообмена на поверхности; по [3] αн= 23 Вт/(м2 •°С); F — площадь нагреваемой поверхности, м2; ι— температура нагреваемой поверхности тротуара; t = +30°C; tн— расчетная температура наружного воздуха, °С. Например, для г. Екатеринбурга при расчетной температуре наружного воздуха tн = –35°С теплоотдача с поверхности обогреваемого тротуара площадью F = 250 м2 составит 220 кВт. Теплопотери в грунт при наличии теплоизоляциисистемы подогрева можно определить по формуле:

где Qтп — тепловые потери в грунт, Вт; tтр — температура поверхности труб системы подогрева, °С; tгр — температура грунта, °С; λ— коэффициент теплопроводности, Вт/(м•°С); δ— толщина теплоизоляции, м; F — площадь нагреваемой поверхности,м2. Согласно рекомендациям [4], при глубине заложения труб до 0,7 м температура грунта принимается равной расчетной температуре наружного воздуха. Для варианта использования обратной воды тепловой сети с дополнительным догревом этиленгликоля в электрокотле средняя температура вторичного теплоносителя (этиленгликоля) составляет 0,5•(70+30)= 50°С.Примем температуру поверхности труб системы подогрева tтр равной средней температуре теплоносителя, т.е. tтр = 50°С.
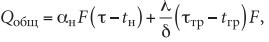
При тепловой изоляции пенополистиролом с коэффициентом теплопроводности по [3] λ= 0,06 Вт/(м•°С) толщиной 0,03 м теплопотери в грунт для той же площади обогреваемого тротуара 250 м2 для условий г. Екатеринбурга могут составить 42 кВт. Таким образом, требуемая мощность системы антиоледенения Qобщ зависит от параметров энергоносителя, характеристик теплоизоляции труб от грунта, обогреваемой площади и расчетной температуры наружного воздуха. С учетом (1) и (2) получим:

что составляет для условий примера: Qобщ = 220 + 42 = 262 кВт, или около 1 кВт на 1 м2 обогреваемой площади. Даже приближенная оценка показывает, что установочная мощность от 200 до 400 Вт на 1 м2 обогреваемой площади, рекомендуемая производителями и поставщиками систем антиоледенения, недостаточна для защиты тротуаров от оледенения и может давать эффект при температурах наружного воздуха значительно выше расчетных.