Рис. 7.11. Схема системы отопления от распределителя «В», деталь «А» и распределитель «В»
Рис. 7.12. Пример определения
Рис. 7.13. Пример определения
Рис. 7.14. Пример определения
Рис. 7.15. Пример определения
Табл. 7.4. Расчет системы отопления от распределителя «В» (рис. 7.11)
Исходные данные Расчетная суммарная тепловая нагрузка системы отопления: Qзд = 36 кВт; параметры теплоносителя системы отопления tг = 80 °C, tо = 60 °C, Vсо = 1,55 м3/ч, потери давления системы теплоснабжения распределителей ∑Δpуч.ст = 11,3 кПа (см. журнал «С.О.К.», №8/2008).Для проектируемой однотрубной системы отопления следует принять к установке насос с постоянной скоростью вращения.
Для подбора циркуляционного насоса необходимо определить требуемые значения подачи Vн [м3/ч] и напора рн [кПа, или м водн. ст.]. Подача насоса соответствует расчетному расходу в системе отопления Vн = Vсо = 1,55 м3/ч.Требуемый напор циркуляционного насоса рн, равный расчетным потерям давления системы отопления Δpсо, следует определить как сумму:
- потерь давления системы теплоснабжения распределителей(∑Δpуч.с.т) = 11,3 кПа;
- потерь давления системы отопления от распределителей ∑Δpуч.от (между распределителем и отопительными приборами) и потерь давления в распределителе Δpраспр, а именно: рн = Δpсо = (∑Δpуч.с.т) ++ (∑Δpуч.от) + (Δpраспр).Схема однотрубной системы отопления от наиболее нагруженного распределителя «В» приведена на рис. 7.11. На схеме рис. 7.11 тепловые нагрузки помещений Q4 распределены по отопительным приборам.
Для определения ∑Δpуч.от выделим основное расчетное циркуляционное кольцо. Количество циркуляционных колец на рис. 7.11 соответствует количеству веток, обозначенных буквами «А», «Б», «В», «Г». Из этих четырех циркуляционных колец в качестве основного выбираем расчетное циркуляционное кольцо через наиболее нагруженную ветку «А».
Гидравлический расчет выполняем, задаваясь скоростью движения теплоносителя. Диаметры всех участков теплопроводов dу [мм] подбираем с помощью номограммы для металлополимерных труб. Характер пользования номограммой показан на рис. 7.12 на примере веток «А» и «Г».При прокладке трубопроводов между последовательно соединенными отопительными приборами допускается учитывать потери давления на местные сопротивления в виде долевого соотношения от потерь давления на трение, например Z ≈ 0,3Rlуч.
Тогда потери давления будем определять по выражению Δpуч = 1,3Rlуч. По выражению (3.7) определяем расчетный расход теплоносителя

В данном случае для встроенного радиаторного клапана рекомендуется применять встроенную буксу для радиаторов Vogel & Noot [арт. №1309398].Гидравлический расчет выполняем в табл. 7.4. Клапаны «Герц3000» (см. рис. 7.13) в количестве N [шт.] и вентиль балансовый «ГерцRL5» (рис. 7.14) совместно создают на «регулируемом участке» расчетного циркуляционного кольца суммарное сопротивление(∑Δpкл) = NΔpкл1 + Δpкл2.
Для основного расчетного циркуляционного кольца ветки «А» сопротивление Δpкл1 клапана «Герц3000» определяется по его номограмме, показанной на рис. 7.13. Сопротивление Δpкл2 вентиля балансового «ГерцRL5» задается с использованием его технической характеристики, показанной на рис. 7.14.Для остальных веток «Б», «В» и «Г» располагаемое давление Δpраспр принимается равным потерям давления ветки «А» ∑Δpуч от «А».
Потеря давления N клапанов «Герц3000» определяется по вышеприведенной методике. Требуемая потеря давления (Δpкл2)треб балансового клапана «ГерцRL5» определяется как разность:(Δpкл2)треб = Δpраспр – Δpуч – NΔpкл1.По требуемой величине (Δpкл2)треб и расходу теплоносителя на ветке Gуч с помощью номограммы рис. 7.14 определяем требуемые значения N гидравлической настройки клапанов «ГерцRL5», установленных в шкафу распределителя «В» (рис. 7.11).
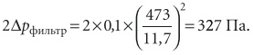
Потери давления в распределителе Δpраспр включают потери давления в двух фильтрах «Герц» [∅1ʺ, kv = 11,7 м3/ч]и потери давления в регуляторе расхода «Герц» [∅1ʺ, арт. 1400113]:Δpраспр = 2pфильтр + Δpр.
Потери давления в двух фильтрах

Фильтры предназначены для разделения сети металлополимерных трубопроводов и сети стальных труб. При использовании медных труб (вместо стальных) для системы теплоснабжения распределителей фильтры можно не использовать. Потери давления в регуляторе расхода «Герц» [∅1ʺ, арт. 1400113] определяем по номограмме, показанной на рис. 7.15. Потери давления в регуляторе расхода Δpр = 16 300 Па, значение гидравлической настройки регулятора n = 1,8.
Таким образом, потери давления в распределителе равны:Δp = 327 + 16 300 = 16 627 Па.Для подбора циркуляционного насоса определим требуемый напор насоса:р = Δp = ∑Δp + ∑Δp + Δp = 11 300 + 11 694 + 16 627 = 39 621 Па (4,0 м водн. ст.).Подберем циркуляционный насос с постоянной скоростью вращения ротора на следующие исходные данные. Подача Vн = Vсо = 1,55 м3/ч, тогда напор будет равен рн = 4,0 м водн. ст. Таким исходным условиям соответствует насос фирмы Grundfos марки UPS 2560.