Рис. 1. Схема однотрубной горизонтальной ветви
Рис. 2. Зависимость относительного расхода теплоносителя в регулируемой однотрубной ветви отопительной системы от относительного количества закрытых радиаторных термостатических клапанов на этой ветви
Такое понимание гидравлической устойчивости предполагает, что каждый параллельный участок системы имеет неизменную характеристику сопротивления. Действительно, характеристика сопротивления любого участка однотрубной отопительной системы, широко применявшейся у нас во второй половине ХХ века, никогда не изменялась, потому что система не регулировалась.
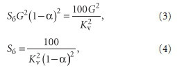
Современные однотрубные системы, в т.ч. горизонтальные, оборудованные радиаторными термостатическими клапанами (РТК), работают в условиях постоянно изменяющихся характеристик сопротивления каждого радиаторного узла, и этот фактор не может не влиять на традиционно высокую гидравлическую устойчивость системы отопления. Рассмотрим (рис. 1) принципиальную схему горизонтальной однотрубной ветви системы отопления, характерной, например, для одной квартиры.
В общем случае ветвь состоит из n радиаторов 1, каждый снабжен фирменным присоединительным элементом 3, внутри которого имеется калиброванный байпас с заданным или регулируемым коэффициентом смешения α.Обычно величина α находится в диапазоне 0,3 < α< 0,5. На подающей подводке каждого радиатора установлен РТК, закрывающийся и открывающийся в зависимости от температуры отапливаемого помещения. При движении воды через фирменные присоединительные элементы и РТК происходят потери давления, связанные с характеристиками сопротивления S, кПа/(т/ч)2, которые вычисляются по формуле

где Kv — пропускная способность [м3ч–1бар–0,5], величина которой для присоединительного элемента и РТК приводится в каталогах фирм-производителей. В отличие от нерегулируемых элементов системы, пропускная способность и характеристика сопротивления РТК не постоянны и зависят от степени открытия клапана РТК. В каталогах приводятся данные о пропускной способности, Kv, комплекта присоединительного элемента с РТК для клапана, работающего в зоне пропорциональности 2К. Из каталогов известен также коэффициент затекания α при пропускной способности Kv. Таким образом, при расходе воды по однотрубной ветви G, т/ч, гидравлическое сопротивление ∆p, Па, радиаторного узла можно выразить уравнением

Общий поток воды G, протекающий через радиаторный узел, распределяется по двум параллельным веткам. Расход GPTK = Ga проходит через РТК и радиатор, а расход GB = G(1 – α)—по байпасной линии. Гидравлические сопротивления на каждой из этих двух параллельных веток одинаковы и равны общему гидравлическому сопротивлению узла, определяемому по формуле (2). Исходя из этого, запишем:

где Sб — характеристика сопротивления байпасной линии. В процессе эксплуатации системы отопления может возникнуть ситуация, при которой один или несколько РТК полностью закроются. В этом случае весь расход воды G должен будет пройти через байпасную линию, и ее гидравлическое сопротивление ∆pб определяется выражением

Если теперь разделить выражение (5) на равенство (2), получим

Таким образом, при прохождении через ветвь неизменного расхода G ее гидравлическое сопротивление увеличится в m= (1 – α)–2 раз. На самом деле сопротивление не увеличится, потому что при неизменной разности давлений в подающем и обратном трубопроводах на входе в однотрубную ветвь сократится расход воды ровно настолько, насколько это нужно для того, чтобы при возросшей величине характеристики сопротивления сохранился перепад давлений.
Оценим величину возможного сокращения расхода воды. Если пренебречь гидравлическим сопротивлением трубопроводов, соединяющих по однотрубной схеме все радиаторы ветви, то характеристика сопротивления ветви SВ, состоящей из n одинаковых радиаторных узлов с открытыми РТК, выражается как

При полном закрытии одного РТК характеристика сопротивления регулируемой ветви Sбр увеличится и станет равной

Новый расход теплоносителя в регулируемой ветви Gбр определяется из равенства:

Величина коэффициента затекания α у различных производителей современных радиаторных узлов горизонтальных однотрубных систем колеблется в интервале от 0,3 до 0,5. Задаваясь конкретными значениями величины α, можно упростить формулу (10). При α= 0,3:

При α= 0,5:

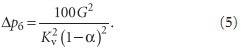
Обозначим символом g отношение Gбр/G, который показывает часть, выраженную в долях единицы, расхода теплоносителя, который будет циркулировать через ветвь после того, как радиаторные термостатические клапана закроются на одном или нескольких приборах, и выполним аналогичные расчеты для ветви с двумя отключенными радиаторами. Эти расчеты приводят к результатам:

При α= 0,3:

При α= 0,5:

Далее анализ приводит к обобщенным формулам, в которых m — количество закрытых термостатических клапанов на ветви, состоящей из n радиаторов: При α= 0,3:

При α= 0,5:

Отношение — это относительное количество закрытых РТК на ветви. Представление этих зависимостей в графической форме дает наглядное представление о гидравлической устойчивости регулируемых однотрубных систем (рис. 2).
Полученные зависимости дают основания для следующих выводов:
1. Уменьшение пропускной способности отдельных регулирующих термостатических клапанов в однотрубной системе отопления уменьшает расход теплоносителя в объеме, который практически не влияет на уменьшение тепловой мощности отопительных приборов, работающих с открытыми РТК. Даже при полном закрытии всех РТК на ветви (m/n = 1) общий расход теплоносителя уменьшается только на 30–50%.
2. Незначительное уменьшение расхода теплоносителя при местном регулировании компенсируется повышением температуры теплоносителя, поступающего в те радиаторы, на подводках к которым РТК остаются открытыми.
3. Чем ниже коэффициент затекания, тем устойчивее расход при местном регулировании. В то же время следует учитывать, что низкие значения коэффициента затекания приводят к перерасходу поверхности отопительных приборов, площадь которых определяется проектом.
4. Высокая гидравлическая устойчивость однотрубных регулируемых отопительных систем— это весомый аргумент* в пользу более широкого их применения в практике проектирования.
* Другие преимущества современных однотрубных систем отопления подробно рассматривались в статье «Вандализм новоселов… Можно ли ему воспрепятствовать?», опубликованной в «Энергосбережение в зданиях»,№21 (№2/2004).