Рис. 1. График модели переходной функции с учетом статических и динамических характеристик объекта управления
Рис. 2. График зависимости параметра А от Крег по данным численного расчета (синяя линия) и его степенная аппроксимация
Рис. 3. График поведения параметра В для разных значений Крег (синяя линия) при минимальном расхождении исходной и приближенной модели и его степенная аппроксимация
Разработку математической модели переходных процессов в наиболее простом варианте начнем с описания процессов, происходящих в приточной вентиляционной системе, обслуживающей некоторое помещение. Теплообменник регулируется по сигналу от датчика температуры воздуха, находящегося в этом помещении и реагирующего на ее отклонение от заданной уставки. Следовательно, контур регулирования является замкнутым.
При этом предусматривается качественно-качественный способ регулирования, т.е. колебания теплопоступлений и теплопотерь в помещении устраняются за счет изменения температуры приточного воздуха при постоянном его расходе. В свою очередь, температура притока изменяется вследствие подмешивания того или иного количества охлажденной воды из обратного трубопровода через трехходовой клапан к горячей воде, поступающей в теплообменник, также при постоянном общем ее расходе.
В соответствии с ранее данным определением и описанной схемой САУ, по физическому смыслу Wсист здесь представляет изменение температуры tв с течением времени при единичном тепловом воздействии, т.е. при Q = 1 Вт. Собственно САУ вместе с системой вентиляции здесь играют роль отрицательной обратной связи для помещения по каналу «Q – tв». Такая схема была предложена авторами в работе [2]. Следовательно, размерность Wсист — К/Вт. Тогда передаточная функция САУ при использовании П-регулятора в линейном варианте будет выглядеть следующим образом:

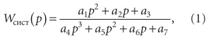
где a1, …, а7 — коэффициенты, получающиеся при подстановке в выражение для Wсист передаточных функций элементов САУ с учетом их коэффициентов передачи и постоянных времени, р — некоторый комплексный параметр, имеющий размерность с–1. Выражение (1) представляет переходный процесс в виде изображения, получаемого из переходной функции-оригинала с помощью интегрального преобразования Лапласа.
Для того чтобы по изображению восстановить исходную переходную функцию САУ, необходимо воспользоваться методом обратного преобразования Лапласа. Иначе этот метод называется интегральным преобразованием Карсона [3]. Однако в большинствеслучаев, кроме самых элементарных, для этого необходимы численные методы, требующие применения ЭВМ и достаточно серьезного программного обеспечения.
Поэтому был предложен метод [4] замены оператора p на 1ι, где ι— время с момента воздействия на систему, сек. Такая замена базируется на соображениях, вытекающих из анализа размерностей. Как показывают расчеты на простейших примерах, данный прием позволяет достаточно точно определить характер поведения переходной функции, применяя несложный математический аппарат.
Погрешность вычисления максимального отклонения при этом не превышает 15–20 %, что вполне достаточно для инженерных расчетов. Используя рассмотренный метод, можно легко решить основную задачу проектирования САУ — подобрать коэффициент передачи регулятора Крег. Однако для исследования представляет интерес вопрос о влиянии динамических свойств обслуживаемого помещения на характер переходного процесса и, соответственно, на требуемое значение Крег.
На рис. 1 показаны графики переходных функций для однократного теплового воздействия, полученные расчетом по упрощенному методу для функций Wп, по-разному учитывающих динамические и статические характеристики помещения. Оранжевой линией изображена зависимость для простейшего приближения, когда помещение рассматривается как линейное инерционное звено 1-го порядка.
В этом случае во внимание принимается только теплообмен на поверхностях ограждений, обращенных в помещение, и аккумуляции теплоты в объеме воздуха. Красная линия демонстрирует поведение переходной функции для другого приближения, учитывающего поверхностную нелинейность, связанную с процессом распространения температурной волны в толще материальных слоев ограждающих конструкций, обращенных в помещение. В этом случае помещение можно аппроксимировать «полуинтегрирующим» звеном с передаточной функцией вида

потому что скорость начального прогрева ограждений пропорциональна ι1/2 [3]. Коэффициент (символ), К/(Вт •с1/2), определяется через площади поверхностей Fi, м2, и их показатели теплоусвоения Yi, Вт/(м2 •К), вычисляемые по данным [6]:

Здесь 0,886 — значение специальной гамма-функции для аргумента, равного 3/2; 86400 — период гармонических колебаний температурной волны в секундах, для которого в [6] рассчитываются значения Yi. В этом случае выражение для переходной функции может быть записано в виде:

Для того чтобы получить передаточную функцию системы с учетом и поверхностного теплообмена, и теплоинерционности ограждений, что позволит определить более полную картину развития переходного процесса распространения теплового возмущения в помещении, можно взять сумму передаточных функций помещения с учетом влияния обоих факторов, поскольку они действуют параллельно [1]:

Здесь Тпом, сек, и (символ), К/Вт — соответственно постоянная времени и коэффициент передачи помещения по каналу «Q – tв» при учете только поверхностного теплообмена и аккумуляции теплоты в объеме воздуха. Они равны

где V — объем воздуха в помещении, м3; С и ρ— его удельная теплоемкость и плотность, Дж/(кг•К) и кг/м3; L — неорганизованный воздухообмен или в общем случае приток с нерегулируемой автоматически температурой, м3/с; α— осредненный коэффициент полного теплообмена на поверхностях, обращенных в помещение, Вт/(м2•К). Однако результаты расчетов показывают, что графики переходных функций, вычисленных с использованием приближения (4), совпадают в пределах толщины линии с графиками, соответствующими чисто нелинейной модели (2).
Поэтому можно остановиться на приближении, учитывающем только поверхностную нелинейность, связанную с процессом распространения температурной волны в толще материальных слоев ограждающих конструкций, обращенных в помещение. Для дальнейших преобразований нам необходимо иметь коэффициент передачи помещения в размерности К/Вт, поэтому целесообразно представить (символ) в виде произведения CпомKпом, где Кпом = 1/Σ(YiFi), К/Вт, а Cпом = 7,56•10–3 c–1/2.
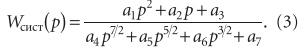
Полученная передаточная функция САУ в форме (3) может быть приведена к наиболее простому виду, все еще обеспечивающему рассмотренный качественный характер поведения переходной функции-оригинала с сохранением основных его особенностей и с учетом всех существенных факторов, влияющих на переходный процесс, но содержащему параметр р в степени не выше 3/2. Соответствующее выражение будет выглядеть следующим образом:

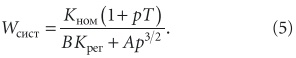
Здесь Т = ТТО + Тдат, сек — эквивалентная постоянная времени системы; A — некоторый параметр, значение которого должно подбираться по результатам численных расчетов, а коэффициент В = КпомКдатКТОКИО, где Кдат, КТО и КИО — соответственно коэффициенты передачи датчика, теплообменника и исполнительного органа.
Существенным преимуществом передаточной функции в форме (5) является возможность после достаточно простых преобразований получить в явном виде выражение для максимальной динамической ошибки регулирования ∆max, К, что и позволяет нам в первом приближении решить основную интересующую нас задачу по нахождению аналитической формулы для вычисления требуемого коэффициента передачи регулятора.
Это можно сделать следующим образом. Вначале с помощью (5) записываем соотношение для текущего отклонения температуры в помещении от уставки ∆, К, учитывая, что передаточная функция дает нам относительное отклонение для единичного воздействия, а затем применяя уже рассмотренную замену р →1/ι. После этого исключаем 1/ ι из числителя, чтобы облегчить дальнейшие преобразования и получить возможность непосредственного определения ∆max.
Для этого нужно воспользоваться методом равномерного приближения [7], которое в интересующем нас диапазоне значений параметров для суммы 1 + Т/ ι будет выглядеть как (символ). Такая форма приближающей функции выбрана для максимального упрощения знаменателя, поскольку в нем уже присутствует слагаемое вида А/ι3/2. Коэффициент С, имеющий в данном случае размерность c–1/2, будет иметь значение, примерно равное 0,8. Тогда максимальные отклонения, даваемые исходной и преобразованной формулой, будут отличаться в минимальной степени, достаточной для инженерных расчетов. В этом случае для ∆ получаем выражение в виде (6):

Теперь для вычисления ∆max необходимо исследовать функцию (6) на экстремум, т.е. найти производную от ∆ по времени и приравнять ее нулю, откуда находим:

Последний параметр обозначает момент времени, для которого ∆= ∆max. Величина ∆max представляет самостоятельный интерес, поскольку она дает оценку запаздывания наибольшего отклонения температуры от уставки в процессе регулирования. Сопоставление результатов многовариантных расчетов на ПЭВМ для различных значений Крег по выражению (6) и исходной функции (3) дает возможность осуществить идентификацию приближенной модели.
В пределах точности инженерного расчета (5–10 %) при этом получается, что коэффициент А нужно считать равным примерно (формула). Соответствующий график показан на рис. 2. Что же касается коэффициента В, сравнение вычислений по исходной и приближенной модели показывает, что для их наибольшего совпадения не требуется введение его переменности, и в пределах точности инженерного расчета данный параметр можно по-прежнему считать постоянным независимо от Крег.
Иначе говоря, корректировка погрешности, вносимой принятыми упрощающими предположениями, осуществляется только за счет изменения величины А. Для наглядности поведение параметра В, соответствующего минимальному расхождению результатов, даваемых выражениями (3) и (6), при различных Крег в одном из вариантов расчета приведено на рис. 3. Нетрудно заметить, что отклонениями В от среднего значения здесь можно практически пренебречь. Тогда оказывается, что соотношение для ιmax можно переписать в следующем виде:

Нетрудно заметить, что с возрастанием коэффициента передачи регулятора значение ιmax сокращается, но медленнее, чем увеличивается Крег: ιmax ~ 1/(символ). Это как раз и связано с инерционностью, которую вносят ограждающие конструкции в процесс аккумуляции теплоты в помещении. После этого можно подставить формулу для ιmax (8) в (6) и получить выражение для ιmax, откуда окончательно для коэффициента передачи регулятора (безразмерного) имеем:

где Rдин = ∆max/KпомQ) — динамический коэффициент регулирования (также безразмерный). Как известно, его физический смысл заключается в отношении максимально допустимого отклонения регулируемой величины к тому отклонению, которое имело бы место в рассматриваемой системе при прочих равных условиях в отсутствие регулирования.
Разумеется, наибольшее возможное значение Rдин равно 1, потому что Rдин > 1 по сути означает, что естественных компенсационных свойств системы, т.е. в данном случае — теплоустойчивости помещения, достаточно для поддержания контролируемого параметра в требуемых пределах, и регулирование как таковое уже не требуется. Из формулы (9) легко видеть, что чем меньше Rдин и чем значительнее Т, тем больше Крег.
В принципе, так и должно быть, но в данном случае опять обращает на себя внимание нелинейная связь этих параметров Kрег ~ (T/Rдин)1,38, т.е. коэффициент передачи регулятора должен возрастать быстрее, чем падает Rдин или увеличивается Т. Объяснение этому эффекту такое же, как и для времени максимального отклонения — это результат влияния теплоинерционности ограждений помещения.
Таким образом, мы получили интересующие нас инженерные формулы для коэффициента передачи регулятора, величины максимального отклонения температуры в помещении и момента времени, когда это отклонение наблюдается. Эти формулы имеют простой и инженерный вид, но в то же время учитывают основную специфику помещения как нелинейного звена, обусловленную действительным характером распространения теплоты в массиве ограждающих конструкций и при этом имеют точность, достаточную для инженерных расчетов