Рис. 1. Область отсутствия естественной вентиляции за счет ветрового давления в тоннеле пешеходного перехода
Рис. 2. К определению температурного режима подземных сооружений
Табл.
Подземные сооружения могут подразделяться по характеру теплообмена между воздушной средой сооружения и окружающим его грунтом и наружным воздухом на следующие типы. Первый — это сооружения, в которых происходят значительные суточные и годовые колебания температуры воздуха, связанные с изменением температуры атмосферного воздуха, используемого для их вентиляции. К этому типу относятся транспортные тоннели, подземные пешеходные переходы и аналогичные сооружения.
Второй — это сооружения с различными режимами работы, в которых периодически могут возникать ситуации, требующие при заданном тепловом потоке определения возможного времени достижения какой-либо промежуточной температуры, являющейся для данного этапа конечной. К таким сооружениям могут относиться помещения отдельных производств. Третий тип — это сооружения, в которых нет значительных колебаний внутренней температуры воздуха и задан необходимый минимальный воздухообмен (подземные гаражи, склады, магазины и т.п.).
Эксплуатация современных подземных пешеходных переходов в связи с расширением их функций может осуществляться в режиме всех перечисленных видов теплообмена. Воздушный режим подземных пешеходных переходов зависит от интенсивности естественного воздухообмена, который определяется значениями гравитационного и ветрового давлений.
В типовых пешеходных переходах естественный воздухообмен осуществляется только за счет ветрового давления, поскольку составляющая гравитационного давления отсутствует. При использовании подземных переходов в качестве помещений общественного назначения следует учитывать гравитационную составляющую.
В технической литературе отсутствуют количественные характеристики влияния скорости ветра на кратность воздухообмена в подземных пешеходных переходах, в т.ч. через традиционные аэродинамические коэффициенты, характерные для надземных сооружений. Поэтому определение интенсивности воздухообмена в подземных пешеходных переходах осуществлялось нами путем испытания модели в аэродинамической трубе.
За аналог принят наиболее распространенный типовой переход под автомобильной трассой [1].Модель перехода выполнена с учетом автомодельности относительно реального перехода в масштабе 1:200. Изменение направления воздушного потока (ветра) осуществлялось поворотом исследуемой модели на 0° (режим А), 30° (режим Б), 45° (режим В), 60° (режим Г) и 90° (режим Д). Замеры скорости воздуха внутри и вне модели проводились комбинированным измерителем ТАММ20, причем для большей точности все параметры замерялись по три раза.
Результаты аэродинамических испытаний модели пешеходного перехода при максимальной принятой нами скорости воздушного потока (ветра) vв = 7,5 м/с показали следующее. Скорость воздушного потока в тоннеле перехода при углах обдува 0°, 30°, 45° находилась в пределах vm ≈ 0,3 м/с, при углах обдува 60°, 90° поток воздуха в тоннеле был неустойчивым.
По нашему мнению, скорость воздуха в нем может быть принята vm = 0 м/с. Данный вывод основан на том, что невязка замеренных расходов воздуха во входах (выходах) в пешеходный тоннель составляла более 50 % при абсолютной скорости воздуха в нем менее vm = 0,1 м/с. Таким образом, только при направлениях обдува модели 0°, 30°, 45° происходит естественная вентиляция тоннеля пешеходного перехода за счет ветрового давления.
На рис. 1 заштрихованная часть показывает область практического отсутствия естественной вентиляции в тоннеле перехода за счет ветрового давления. Максимальный расход воздуха в реальном моделируемом тоннеле пешеходного перехода размером F = 3×6 м колеблется от L = 0 м3/ч при направлениях ветра 60°, 90° до величины L = 3600Fvm == 3600×(3×6)×0,3 = 19 440 м3/чпри направлениях ветра 0°, 30°, 45° относительно оси тоннеля.
Заключение по исследованию воздухообменов
Естественная вентиляция подземных переходов за счет ветрового давления носит неустойчивый характер, она зависит от направления и скорости ветра. Отсутствие устойчивого воздухообмена допустимо только в том случае, если в подземных переходах нет помещений, в которых постоянно находятся люди (например, магазинов). При наличии в подземных переходах общественных помещений следует предусматривать механическую вентиляцию с учетом разбавления вредностей в соответствии с действующими нормами.
Интенсивность воздухообмена при естественной вентиляции от ветрового давления следует принимать не более средней скорости в тоннеле vm = 0,15 м/с (для данного случая L = 9720 м3/ч), что характерно для скорости ветра в пределах 3,0–4,0 м/с.В связи с тем, что у наружных ограждений подземных сооружений отсутствует непосредственный контакт с атмосферным воздухом, они по формированию температурных параметров внутреннего воздуха относятся к особому классу.
Направление и интенсивность тепловых потоков, проходящих через ограждения подземных сооружений, непосредственно зависят от температуры окружающего грунта. На динамику изменения температуры по глубине грунта оказывает влияние сезонное колебание температуры наружного воздуха, в то же время изменение температуры наружного воздуха в течение суток не влияет на температурные поля в земле.
Глубина грунта, на которой отсутствует влияние колебаний наружных температур на его температурный режим, т.е. температура грунта остается постоянной, составляет h0 ≈ 15 м [2; 3].Расчетная температура грунта на глубине h0, на которую не влияют колебания температур наружного воздуха, определяется по формуле [2]:

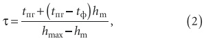
где 2— коэффициент, который учитывает кривизну температурной линии в грунте к концу его нагрева за теплый период года, его значения приведены в таблице. Анализ динамики изменения температур внутренних поверхностей подземных помещений показал, что с достаточной для инженерных расчетов точностью (±5 %) можно упростить определение температуры поверхности любой внутренней ограждающей конструкции путем линеризации огибающей минимальных температур (рис. 2).На рис. 2 линия а–б — участок изменения температуры грунта в зоне промерзания.
Линия б–в — участок изменения температуры в зоне от нулевой амплитуды текущей температуры грунта (температуры фазового превращения воды) tф = 0 °С до постоянной температуры грунта t0 при глубине h0. Значения текущей hm и максимальной hmax глубин промерзания грунта в рассматриваемом климатическом регионе страны определяются по методике, приведенной в [4]. Изменение текущей температуры любой внутренней поверхности подземных сооружений в зоне равно:

в зоне ниже глубины промерзания (h0 – hm):

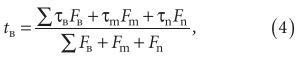
Температура воздуха tв в подземных невентилируемых помещениях в расчетный период времени составляет:

где tв, tm, tn — соответственно температуры внутренних поверхностей, торцевых ограждений и пола, °С, определяемые по (2) и (3); Fв, Fm, Fn — площади соответствующих ограждений, м2.При необходимости вентилирования наружным воздухом общественных помещений, расположенных в подземных переходах, температура воздуха в них определяется с учетом ассимиляции холода (теплоты) грунтом, наличием в них тепловыделений и теплоемкой массы продукции по методике, приведенной в [5].