Рис. 1. Зависимость коэффициента преобразования теплового насоса «вода–вода» от температуры гликоля на выходе из испарителя t2и и температуры теплоносителя на выходе из конденсатора t2к
Рис. 2. Схема грунтового теплообменника в системе теплонасосного теплоснабжения
Рис. 3. Характер изменения величины удельного теплового потока к ВГТ от грунтов с различной теплопроводностью
Рис. 4. Характер изменения величины удельного теплового потока к ВГТ от соотношения годовых потребностей объекта в холоде (Qc) и тепле (Qн), выраженных в одинаковых единицах измерения
Рис. 5. Характер изменения величины удельного теплового потока [Вт/м] от количества установленных в ВГТ U-образных труб
Рис. 6. Характер изменения величины удельного теплового потока к ВГТ от разности температур грунта в естественном его состоянии и гликоля
Табл. 1. Эквивалентный диаметр одиночного U-образного трубопровода грунтового теплообменника
Табл. 2. Коэффициенты теплопроводности λ [Вт/(К⋅м)] и температуропроводности α [м2/сут] песчаного и глиняного грунтов [1]
Табл. 3. Плотность ρ, влажность w, коэффициенты теплопроводности λ и температуропроводности α грунтов, характерных для города Харькова [5]
Табл. 4. Линейное термическое сопротивление Rc [м⋅К/Вт] скважины [1]
Табл. 5. Поправка к величине линейного термического сопротивления скважины [1]
Ответить на этот вопрос непросто. В поисках ответа на многочисленные вопросы, которые неизбежно возникают при попытке проектировать системы отопления с тепловыми насосами, целесообразно обратиться к опыту специалистов тех стран, где тепловые насосы на грунтовых теплообменниках применяются уже давно.
Посещение американской выставки AHR EXPO2008, которое было предпринято, главным образом, с целью получения информации о методах инженерных расчетов грунтовых теплообменников, прямых результатов в этом направлении не принесло, но на выставочном стенде ASHRAE продавалась книга [1], некоторые положения которой послужили основой для этой публикации.
Следует сразу сказать, что перенос американской методики на отечественную почву — дело непростое. У американцев все не так, как принято в Европе. Только время они измеряют в тех же единицах, что и мы. Все остальные единицы измерения — чисто американские, а точнее, британские. Особенно не повезло американцам с тепловым потоком, который может измеряться как в британских тепловых единицах, отнесенных к единице времени, так и в тоннах охлаждения, которые придуманы, вероятно, в Америке.
Главная проблема, однако, состояла не в техническом неудобстве пересчета принятых в США единиц измерения, к которым со временем можно и привыкнуть, а в отсутствии в упомянутой книге четкой методической основы построения алгоритма вычислений. Рутинным и широко известным расчетным приемам там уделяется слишком много места, в то время как некоторые важные положения остаются вовсе нераскрытыми. В частности, такими физически связанными исходными данными для расчета вертикальных грунтовых теплообменников, как температура циркулирующей в теплообменнике жидкости и коэффициент преобразования теплового насоса, нельзя задаваться произвольно и, прежде чем приступать к вычислениям, связанным с нестационарным теплообменом в грунте, необходимо определить зависимости, связывающие эти параметры.
Критерием эффективности теплового насоса служит коэффициент преобразования , величина которого определяется отношением его тепловой мощности к мощности электропривода компрессора. Эта величина является функцией температур кипения в испарителе tи и конденсации tк, а применительно к тепловым насосам «вода–вода» можно говорить о температурах жидкости на выходе из испарителя t2и и на выходе из конденсатора
t2к: = f(t2и, t2к). (1)
Анализ каталожных характеристик серийных холодильных машин и тепловых насосов «вода–вода» позволил отобразить эту функцию в виде диаграммы (рис. 1). При помощи диаграммы нетрудно определиться с параметрами теплового насоса на самых начальных стадиях проектирования. Очевидно, например, что, если система отопления, присоединенная к тепловому насосу, рассчитана на подачу теплоносителя с температурой в подающем трубопроводе 50 °C, то максимально возможный коэффициент преобразования теплового насоса будет около 3,5. При этом температура гликоля на выходе из испарителя не должна быть ниже +3 °C, а это означает, что потребуется дорогой грунтовый теплообменник. В то же время, если дом обогревается посредством теплого пола, из конденсатора теплового насоса будет поступать в систему отопления теплоноситель с температурой 35 °C.В этом случае тепловой насос сможет работать более эффективно, например, с коэффициентом преобразования 4,3, если температура охлажденного в испарителе гликоля будет около –2 °C.
Пользуясь электронными таблицами MS Excel, можно выразить функцию (1) в виде уравнения
η = 0,1729(41,5 + t2и – 0,015t2иt2к – 0,437tк). (2)
Если при желаемом коэффициенте преобразования и заданном значении температуры теплоносителя в системе отопления, работающей от теплового насоса, нужно определить температуру охлажденной в испарителе жидкости, то уравнение (2) можно представить

Выбрать температуру теплоносителя в системе отопления при заданных величинах коэффициента преобразования теплового насоса и температуры жидкости на выходе из испарителя можно по формуле

В формулах (2)–(4) температуры выражены в градусах Цельсия. Определив эти зависимости, можно теперь перейти к американскому опыту.
2. Метод расчета вертикального грунтового теплообменника, работающего совместно с тепловым насосом
Длина вертикального грунтового теплообменника (ВГТ) зависит от свойств грунта и характеристик теплонасосной системы. Рассмотрим принципиальную схему использования ВГТ в системе теплоснабжения с тепловым насосом (рис. 2).
ВГТ 1 содержит U-образный полиэтиленовый трубопровод, по которому циркулирует водный раствор гликоля, прокачиваемый циркуляционным насосом 6 через испаритель 3 теплового насоса. Кипящий в испарителе холодильный агент сжимается компрессором 2. Теплота конденсации отводится в конденсаторе 4 теплоносителем системы отопления 5, подаваемым насосом 7.
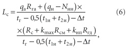
Влияние на интенсивность теплообмена в грунте оказывают такие его свойства, как температура tг в естественном состоянии, плотность , теплопроводность , температуропроводность и влажность w.Не менее важную роль при определении длины теплообменника Lc играет величина его эквивалентного диаметра Dэ, а также тепловая мощность Q теплового насоса. В случае использования ВГТ для отвода тепла в режиме кондиционирования необходимо учитывать холодильную мощность Qх и электрическую мощность N.Интенсивность теплообмена в грунте в значительной степени определяется температурами жидкости t1и и t2и на входе в ВГТ и на выходе из него, а температура на выходе из конденсатора tк является определяющей при определении коэффициентов преобразования теплового насоса и холодильного коэффициента , которыми характеризуется энергетическая эффективность системы. Задача расчета усложняется тем, что в грунте происходит нестационарный теплообмен.
Теоретически процессы нестационарного теплообмена в грунтовом массиве изучались [2, 3, 4] многими исследователями. Хорошо отработан [5] метод расчета замораживающих скважин, применяющихся при проходке тоннелей в водоносных грунтах, но инженерные методы расчета ВГТ применительно к задачам теплоснабжения от тепловых насосов отечественным проектировщикам неведомы. Западные фирмы, предлагающие свои услуги по оборудованию зданий тепловыми насосами, не спешат делиться своими секретами, хотя можно предположить, что в большинстве случаев они сами этими секретами не обладают и бурят скважины, исходя из круглой цифры 50 Вт теплосъема с каждого метра длины ВГТ. При этом величина такого важнейшего энергетического показателя, как коэффициент преобразования теплового насоса, в действительности будет такая, какая получится, и этот результат не может считаться удовлетворительным.
Самые продвинутые западные фирмы даже у себя на родине не утруждают себя сложными расчетами, поступая вполне прагматично. На месте строительства бурят небольшую контрольную скважину, устанавливают пробный ВГТ и оборудуют его переносным источником холода или тепла, оснащенным необходимыми измерительными приборами. Непродолжительная пробная эксплуатация такого устройства дает ответы на все вопросы, связанные с устройством стационарного ВГТ. Достоинства такого метода не вызывают сомнений, но применим он не везде. Кроме того, даже наличие необходимого оборудования для предварительного исследования и средств на его оплату не исключает необходимости иметь надежную методику инженерных расчетов ВГТ в различных грунтах при самых разнообразных внешних условиях. В основу расчета положена [1] простая физическая зависимость

в которую входят величина теплового потока q, длина скважин Lc, температуры грунта в естественном состоянии tг и жидкости, циркулирующей в ВГТ tw, а также линейное (отнесенное к одному метру длины скважины) сопротивление теплопередаче R от грунта к жидкости.
Наибольшие проблемы возникают при определении величины R, поскольку перенос теплоты происходит в неоднородном поле при нестационарных режимах. Этот процесс был теоретически исследован [6] еще в 1949 г., а через пять лет на основе этого исследования была создана [7] американская методика инженерных расчетов. Общая длина скважин Lс [м], используемых для теплообмена с грунтом в системах теплоснабжения с тепловыми насосами, определяется по формуле

где qa — усредненная за год величина теплового потока из грунта, Вт; Rгa — линейное термическое сопротивление грунта, мК/Вт; qн — проектная тепловая мощность системы отопления, Вт; Nнн — электрическая мощность теплового насоса, Вт; Rс — линейное термическое сопротивление скважины, мК/Вт; kmax — коэффициент, усредняющий пиковую тепловую нагрузку; Rгм — линейное термическое сопротивление грунта в течение расчетного месяца, мК/Вт; Rгд — линейное термическое сопротивление грунта в течение расчетного дня, мК/Вт;kтп — коэффициент, учитывающий тепловые потери, который принимают равным 1,04; t2и, t1и — температуры жидкости на входе в скважину и на выходе из нее, °C; tг — естественная температура грунта, °C; t — поправка, учитывающая влияние на теплообмен соседних скважин, если расстояние между ними менее 6 м, °C.
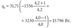
Усредненная за год величина теплового потока qa [Вт] в грунт определяется по формуле:

где Qc — годовая потребность в холоде, ГДж; Qн — годовая потребность в тепле, ГДж; 31 536 000 — количество секунд в году; и — холодильный коэффициент и коэффициент преобразования теплового насоса, определяемые по каталогам оборудования при расчетных температурах кипения и конденсации холодильного агента.
При обсуждении преимуществ использования ВГТ совместно с тепловым насосом всегда обращают внимание на возможность использования грунтового массива летом при отведении в него теплоты конденсации от холодильных машин системы кондиционирования. То, что при этом тепловой поток из грунта зимой возрастает, очевидно, но зависимость (7) позволяет оценить это возрастание количественно. Линейное термическое сопротивление грунта Rга [мК/Вт] определяется по формуле

где — теплопроводность грунта, Вт/(Км); G — фактор, учитывающий нестационарность теплообмена в грунте при сменяющихся циклах направления теплового потока от цилиндрического теплообменника в грунт и от грунта к теплообменнику. Величина этого фактора связана с критерием
Фурье Fo:G = f(Fo). (9)
Как известно, число Фурье — это один из критериев подобия нестационарных тепловых процессов, которым характеризуется соотношение между скоростью изменения тепловых условий в окружающей среде и скоростью перестройки температурного поля внутри рассматриваемой системы. Число Фурье зависит от размеров тела и коэффициента его температуропроводности. Применительно к рассматриваемой задаче

где — коэффициент температуропроводности грунта, м2/сут; t — цикл в сутках, в течение которого происходит изменение направления теплового потока; d — эквивалентный диаметр одного Uобразного трубопровода ВГТ, определяемый по табл. 1, м.
Работая с формулой (6), нужно вычислять число Фурье трижды, поскольку оно влияет на величины Rгa, Rгм и Rгд. Авторы методики рекомендуют при этом задаваться значениями = 3650; 30; 0,25 суток соответственно, что отвечает интервалам времени в 10 лет, один месяц и шесть часов. Логику такой рекомендации понять трудно, хотя можно отметить, что каждый последующий временной интервал короче предыдущего в 120 раз. Приходится предположить, что авторы методики используют теоретически подходящее число Фурье, манипулируя им с целью подогнать вычисления под практически проверенный результат. Мы смело последуем их примеру, поскольку результат, который практически проверен — это как раз то, что нас более всего интересует. Данные о теплопроводности и температуропроводности песчаного и глиняного грунтов представлены в табл. 2. Все остальные типы грунтов могут рассматриваться по признаку термических свойств как комбинация в различных пропорциях песка и глины, и соответствующие величины определяют, пользуясь данными табл. 2, посредством интерполяции. В табл. 3 приведены данные о грунтах, полученные при изысканиях на строительстве Харьковского метрополитена [5].
После того, как вычислен критерий Fo, нужно определить вспомогательную величину G, зависимость которой от Fo в книге [1] представлена графически в виде диаграммы в логарифмических осях координат. Пользуясь Excel, нетрудно представить эту эмпирическую зависимость аналитически:
G = 0,0756ln(Fo) + 0,0927. (11)
Линейное термическое сопротивление Rс [мК/Вт] материала, заполняющего скважину, принимают по табл. 4, если скважина заполнена грунтом, вынутым из скважины при бурении. К величине Rс, определенной по табл. 4, вводят поправку (табл. 5), если скважина заполнена раствором, теплопроводность которого отличается от теплопроводности окружающего скважину грунта. Величину коэффициента kmax, усредняющего пиковую тепловую нагрузку, определяют по формуле

где z — количество секунд отопительного периода. Величины эффективного линейного термического сопротивления Rгм и Rгд [мК/Вт] грунта в течение расчетного месяца и расчетных суток определяют по формулам (8)–(10) при соответствующих значениях = 30; 0,25.Значения тепловых нагрузок qн и qс, а также температур грунта tг принимают по данным проекта. Температуру t2и охлажденной в испарителе теплового насоса гликоля рекомендуется рассчитывать по формуле (3), исходя из заданных значений коэффициента преобразования и температуры теплоносителя в системе отопления, а температуру t1и гликоля на выходе из ВГТ принимают на 5 °C выше. Таким образом, все символы основной расчетной формулы (6) объяснены. Убедиться в достоверности этих объяснений и корректности самой зависимости можно на примере расчета.
Пример расчета
Необходимо рассчитать поле вертикальных грунтовых теплообменников (ВГТ) для отопления и кондиционирования воздуха офисного здания, построенного на местности, в которой естественная температура грунта на глубине более 6 м tг = 10 °C, а продолжительность отопительного периода составляет 170 суток (z = 14 688 000 c).
ВГТ проектируется из полиэтиленовых труб условным проходом 25 мм, установленных в скважинах диаметром 150 мм. Плотность грунта, в котором устанавливаются ВГТ, ρ = 1318 кг/м3, влажность 15 %, коэффициенты теплопроводности и температуропроводности составляют соответственно 2,076 Вт/(К⋅м) и 0,087 м2/сут. Проектом установлено, что пиковая тепловая мощность системы отопления qн = 500 кВт, а холодильная мощность системы кондиционирования qc = 800 кВт. Годовое потребление тепла системой отопления оценивается величиной Qн = = 3230 ГДж, а холод вырабатывается в количестве Qс = 1556 ГДж за летний период. Принято, что коэффициент преобразования η не должен быть ниже 4,0, а средний за летний период холодильный коэффициент ε = 4,2. Система отопления здания рассчитана с учетом температуры воды на выходе из конденсатора t2к = 35°C. Усредненная за год величина теплового потока qa от теплового насоса в грунт определяется по формуле (7):

Критерий Фурье десятилетнего (3650 суток) цикла определяется по формуле (10):

Фактор G, учитывающий нестационарность теплообмена в грунте, определяется по формуле (11):
G = 0,07562,3lg(106 030) ++ 0,0927 = 0,967.
Величина эффективного линейного термического сопротивления грунта определяется по формуле (8):

Электрическую мощность двигателя теплового насоса Nнн определим, исходя из заданной минимальной величины коэффициента преобразования = 4,0:

Величина Rc линейного термического сопротивления скважины зависит от скорости движения жидкости по трубопроводу, погруженному в эту скважину. Для того, чтобы предварительно определить эту скорость, нужно задаться количеством параллельно включенных скважин, не вдаваясь пока в тонкости гидравлического расчета. При тепловой мощности теплового насоса 500 кВт и разности температур воды (свойства этиленгликоля в этом расчете можно не учитывать) на входе в испаритель и на выходе из него 5°C через скважины должно циркулировать:
(500 – 125)0,86/5 = 64,5 т/ч
жидкости. Если задаться количеством ВГТ, например 80, то через каждый из них будет циркулировать:
64,5/80 = 0,81 т/ч.
Внутренний диаметр полиэтиленовой трубы Dy25 равен 27,4 мм. Скорость движения жидкости в ней равна

По табл. 4 и 5 определяем линейное термическое сопротивление Rс скважины с учетом ее заполнения теплопроводным бетонитом:
Rc = 0,081 – 0,012 = 0,069 мК/Вт.
Как видим, результат близок к ожидаемому, что позволяет отнестись с доверием к американской методике, несмотря на то, что некоторые ее положения не вытекают непосредственно из структуры простых понятий, сформированных примитивной логикой.
3. Влияние исходных данных на результат расчета
Воспользуемся теперь построенной в ходе вычислений математической моделью с тем, чтобы проследить за влиянием различных исходных данных на конечный результат расчета. Отметим при этом, что расчеты, выполненные в Excel, позволяют провести такой анализ очень оперативно. Для начала посмотрим, как влияет на величину теплового потока к ВГТ от грунта его теплопроводность. Наш пример расчета был выполнен для грунта с теплопроводностью = 2,076 Вт/(Км), и удельный тепловой поток составлял при этом qуд = 41,4 Вт. На рис. 3 показана функция qуд = f() при неизменных прочих условиях расчета.
Известно, что при использовании ВГТ летом в режиме отведения теплоты от холодильных машин системы кондиционирования эффективность грунтовых теплообменников, работающих зимой совместно с тепловым насосом, возрастает. Кривая на рис. 4 показывает характер зависимости удельного теплового потока от грунта к ВГТ зимой от отношения годовой потребности здания в холоде к годовой его потребности в тепле для отопления.
В европейской практике при сооружении грунтовых тепловых насосов обычно применяют ВГТ с двумя U-образными полиэтиленовыми трубами, установленными в одной скважине. Математическая модель позволяет оценить эффективность такого технического решения (рис. 5). Значения удельного теплового потока в левом и правом столбиках диаграммы вычислены при значениях эквивалентного диаметра ВГТ, соответствующих конструктивному исполнению теплообменника с одной и с двумя U-образными трубами. Решающее для интенсификации теплообмена в грунте значение имеет разность температур грунта и охлажденного в испарителе теплового насоса гликоля. На рис. 6 представлена зависимость удельного теплового потока от этой разности температур.
Следует особо отметить, что рис. 3–6 отображают не абсолютные величины удельного теплового потока от грунта к ВГТ, а характер изменения этих величин от одного из аргументов, в то время как множество остальных аргументов остаются неизменными, а, точнее, такими, какими они были определены или заданы в примере нашего расчета. Поэтому руководствоваться диаграммами, изображенными на этих рисунках, для вычисления длины ВГТ в конкретных проектах нельзя. Определять длину вертикальных грунтовых теплообменников рекомендуется по формуле (6).
4. Рекомендации ASHRAE по оптимизации затрат при использовании тепловых насосов с вертикальными грунтовыми теплообменниками
- Прежде чем проектировать грунтовые теплообменники, нужно получить информацию о грунтах на площадке строительства. С глубины от 3 до 12 м необходимо при помощи пустотелых сверл взять образцы грунта и исследовать его фракционный состав и влажность. Более глубокое бурение позволит идентифицировать геологическую структуру грунта (глина, песок, гравий, мергель и т.д.), определить уровень грунтовых вод, оценить трудоемкость бурения скважин и возможные трудности с установкой в них Uобразных теплообменников. Оптимальным решением на предпроектной стадии является проведение тепловых испытаний исследовательского грунтового теплообменника с получением полной информации о его способности принимать теплоту грунтового массива.
- Для грунтовых теплообменников рекомендуется использовать трубы из полиэтилена высокой плотности. Они прочны, надежны и относительно недороги. Эти трубы комплектуются разнообразными фитингами, и потому могут с успехом применяться и для внутренних систем инженерного оборудования зданий. Применяя металлические трубопроводы в этих системах, можно сэкономить на их креплениях, но при этом придется вложить намного больше средств в ингибиторы коррозии.
- Для заливки скважин с установленными в них Uобразными трубами должен применяться теплопроводный раствор. Чтобы уменьшить расход достаточно дорогого теплопроводного раствора, не следует бурить скважины слишком большого диаметра.
- Тепловая и холодильная мощности инженерных систем здания должны рассчитываться тщательно и с пониманием того, что мощности, принятые при проектировании с запасом, вынудят владельца платить больше не только за грунтовый теплообменник, но и за тепловой насос.
- Расстояние между вертикальными грунтовыми теплообменниками не рекомендуется принимать менее 6 м, а теплообменники, используемые главным образом для отведения теплоты в грунт в режиме кондиционирования воздуха, должны располагаться на расстоянии не менее 7,5 м друг от друга. Потери, связанные с взаимным влиянием близко расположенных теплообменников, могут быть компенсированы только увеличением их длины. Наименьшее допустимое расстояние — 4,5 м. Его можно рекомендовать только в водонасыщенных грунтах с высокой подвижностью грунтовых вод в них.
- Не рекомендуется применять тепловые насосы с коэффициентом преобразования менее 4,0. Обычное представление о том, что выгоднее использовать одну единицу оборудования вместо двух единиц половинной мощности, применительно к тепловым насосам «вода–воздух» оказывается несостоятельным по двум причинам. Во-первых, в тепловых насосах такого типа при холодильной мощности более 21 кВт все равно используют два компрессора с обособленными контурами циркуляции холодильного агента, а, во-вторых, более мощные машины требуют больших затрат на устройство вентиляционных каналов.
- Слишком изощренную автоматику применять не следует, в особенности там, где владелец не в состоянии оценить все ее тонкости. Почти всегда для управления тепловым насосом достаточно применить программируемый термостат, который доступен по цене, совместим с любым оборудованием может применяться без электронных регуляторов.
- Насосы не должны подавать слишком много воды. Электрическая мощность насосов хорошо запроектированной циркуляционной системы не должна превышать 11–16 Вт на каждый киловатт холодильной мощности теплового насоса. Для этого насос должен проектироваться на подачу от 0,16 до 0,19 м3/ч воды на 1 кВт пиковой холодильной мощности.
- Управление циркуляционной системой не должно быть слишком сложным, и количество регулирующих клапанов в системе должно быть минимальным. Достаточно применить насос с регулируемым числом оборотов, управляемый посредством датчика разности давлений на подающем и обратном коллекторах.
- Концентрация гликоля в воде, циркулирующей через грунтовые теплообменники, должна быть минимальной, соответствующей расчетным температурам кипения в испарителе теплового насоса. В районах с теплым климатом, где в грунт сбрасывается больше тепла летом, чем отнимается от него зимой, в воду вообще не требуется добавлять антифриз.