Сантехника Отопление Кондиционирование

Энергопотребление насоса при случайном расходе. Как определить расход. Часть IV. Математическая модель расхода

30323 0
Опубликовано в журнале СОК №3 | 2008

Прежде, чем приступить к построению модели, обратим внимание на следующую деталь. Центрированная случайная составляющая имеет отрицательные значения, что противоречит физике подачи воды: поток должен быть направлен к потребителю, а не от него. Поэтому, для того чтобы модель отвечала реальному положению вещей, необходимо при ее построении учесть этот факт и внести коррективы.

Расчет потребляемой электронасосом суточной величины электроэнергии в программе MS Excel

Расчет потребляемой электронасосом суточной величины электроэнергии в программе MS Excel

Для уточнения модели необходимо воспользоваться правилом «трех сигм», которое утверждает, что практически все значения наблюдаемых расходов в случайном потоке будут находиться в интервале плюс-минус три среднеквадратических отклонения — ±3σq. Однако для нашего потока значения наблюдаемого расхода, превышающие интервал ±2σq, будут настолько редки, что их можно исключить из рассмотрения, приняв этот интервал для дальнейшего анализа.

Действительно, на границах этого интервала расходы будут появляться со средней частотой один выброс за 11 ч и средней длительностью 7 мин, табл. 2. Прибавим и отнимем в правой части формулы структуры потока расхода величину, равную (формула), и получим исходную формулу математической модели в виде суммы двух положительных величин:

Здесь необходимо сделать важное замечание. Такое представление случайного потока является методической основой для построения технологических насосных схем с комбинированной структурой, где регулируемый электронасос обеспечивает расход, определяемый вторым слагаемым, а группа нерегулируемых — расход, определяемый первым слагаемым. На рис. 1 представлен график случайного потока водопотребления, построенный согласно полученной математической модели.

Он не отличается от исходного графика, вместе с тем, имеет достаточное числовое и математическое описание для использования в дальнейших исследованиях, анализе и конечно для достоверного проектирования насосных станций. В табл. 4 приводятся числовые параметры математической модели. Кроме того, параметры и характеристики модели даны в табл. 1 и 2. Имея математическую модель, перейдем к обоснованию на ее основе метода расчета потребляемой насосом электроэнергии.

Энергопотребление насоса при случайном расходе

Метод расчета потребляемой электроэнергии

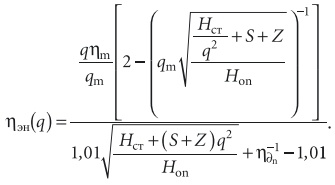
Метод определения потребляемой электроэнергии должен учитывать переменный характер КПД электронасоса, зависящий от расхода воды, и закон регулирования давления (например, при стабилизации давления закон имеет вид H = Hст), а также случайный характер самого расхода. Переменный характер КПД можно учесть достаточно просто. Для этого необходимо знать аналитическое выражение его зависимости от расхода. Это выражение выводится графоаналитическим методом, и мы приведем его в конечном виде:

где hm — максимальное значение КПД, приводимое в каталоге; qm — расход, соответствующий максимальному КПД; ηдn — каталожное значение КПД электродвигателя. Остальные параметры определены выше. Случайный характер расхода учтем, воспользовавшись его математической моделью, полученной ранее, и введя обозначения для случайной составляющей qv(t)и детерминированной qM(t):

Потребляемую электроэнергию в общем виде представим как определенный интеграл мощности электронасоса по времени:

где (t2 – t1)= ι— интервал времени t, за который определяется энергопотребление, например, сутки; P — мощность электронасоса. Второе слагаемое для интегрирования не вызывает трудностей, поскольку интеграл в этом случае является табличным. С первым ситуация сложнее. Рассмотрим его отдельно. Так как qv(t)— случайная функция времени, то применить ее в практических расчетах будет сложно.

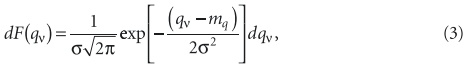
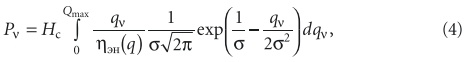
Однако для этих целей случайная функция времени может быть представлена в виде множества значений случайной величины qv с распределением F(qv). Тогда при определении мощности в качестве ее оценки при переходе к детерминированным значениям используем математическое ожидание:

где Qmax — максимальный расход случайной составляющей; F(qv)— вероятность появления расхода в некотором интервале. В связи с тем, что закон распределения плотности большинства встречаемых на практике процессов близок к нормальному закону, примем

где Mq — математическоеожидание. Поскольку матожидание центрированной случайной величины qv равно нулю, а при корректировке математической модели мы увеличили все ее значения на 2σ, то можно считать, что Mq = 2σ. С учетом этого и сделав подстановку (3) в (2) получим выражение для вычисления мощности, обусловленной первым интегралом:

Для расчета в программе MS Excel выражение (4) заменяется подобным с индексированными переменными.

где i — индекс итерации под знаком суммы; Φ*— интегральная функция нормального распределения; (qvi+1 – qvi)= δq — шаг итерации; k — число шагов δq в интервале [0; Qmax], 367,2 — коэффициент учитывающий размерность Н (м водн. ст.) и q (м3/ч) и физические свойства воды. Расчет в программе MS Excel ведется в табличном виде, поэтому выражение F(qvi), полученное по п. 14 «Методики…» также в табличном виде, можно непосредственно использовать при расчетах мощности по (5).

Заменим значение расхода в (1) его преобразованием из (5), а также интеграл по времени на сумму с индексированными переменными, и получим окончательно формулу для расчета потребляемой электроэнергии электронасосом при случайном расходе:

Полученное выражение для вычисления электроэнергии требуемой для обеспечения случайного расхода у потребителя является основой для самой методики, которую рассмотрим на конкретном примере. В качестве примера возьмем некоторые потребители — коттеджный поселок — образующие водопроводную сеть, в которую вода подается из скважины с помощью погружного электронасоса типа ЭЦВ8-25-100. Насос питается от частотного преобразователя с системой стабилизации давления, так, что его подача согласуется с водопотреблением, а расход через него описывается приведенной выше математической моделью.

При этом система водоснабжения имеет следующие параметры: Нс = 50 м водн. ст., Z = S = 0,03 ч25, Ноп = 116 м водн. ст., ηт = 0,57, qM = 25 м3/ч. Расчет проведем в программе MS Excel. Для большей наглядности период квантования и шаг итерации выберем следующие: j = 1 ч, i = 1 м3/ч. Расчет выполним в следующем порядке.

  1. В ячейках A3:A26 введем значения времени периодов квантования j расхода в течении суток. В ячейках B3:B26 введем значения детерминированной составляющей Mqj.
  2. Далее, используя операторы автоматического вычисления, находим для каждого периода j значения скорректированной величины qM (ячейки C3:C26) и значения вероятных расходов по каждому шагу итерации i (ячейки D3:I26) — qvi F(qvi).
  3. Вычисляем сумму вероятных расходов и общий расход Qj по каждому периоду квантования j (ячейки J3:J26).
  4. Вычисляем значение КПД для каждого расхода (ячейки K3:K26), используя приведенное выше выражение КПД электронасоса.
  5. Вычисляем потребляемую электроэнергию насоса за часовой интервал — в каждом периоде квантования j (ячейки L3:L26). В строке оператора fx отображена формула расчета этой величины для первой ячейки j = 1.
  6. Суммируя значения W(q)j, получаем величину потребляемой насосом электроэнергии за сутки.

Рассмотренная методика определения потребляемой электроэнергии насоса при случайном расходе (построение математической модели случайного расхода и метод расчета электроэнергии) хорошо согласуется с инструментальными методами определения потребляемой электроэнергии.

Так, в ходе хозяйственных испытаний частотно-регулируемого насоса были получены рабочие характеристики насосной установки, в т.ч. потребляемая им электроэнергия, измеренная счетчиком электроэнергии САЗ-И681 с классом точности 1,0. Одновременно эта величинабыла рассчитана с помощью приведенной методики. Полученные результаты и в том, и в другом случае не отличались более чем на 2,1% .

* Продолжение. Начало — cм. «С.О.К.» № 11–12/2007, № 1–2/2008.

Комментарии
  • В этой теме еще нет комментариев
Добавить комментарий

Ваше имя *

Ваш E-mail *

Текст комментария