Табл. 3. Сравнение приточных насадков по коэффициентам С**
Табл. 4. Результаты расчета насадков
Табл. 5. Результаты расчета параметров системы распределения воздуха
Табл. 6. Точность поддержания температуры и подвижности воздуха в рабочей зоне помещения при изменении основных параметров системы воздухораспределения
Табл. 7. Результаты расчета для примера 3
Условные обозначения
Как видно из таблицы, наименее энергопотребляющими являются насадки 2 и 3. Причем насадки 2 целесообразно применять при заданном расстоянии от насадка до рабочей зоны и заданном их количестве. Насадки 3 наиболее приемлемы по сравнению с другими, когда заданы тепловыделения в рабочей зоне и расстояние от этой зоны до насадка.
В ряде случаев абсолютное количество энергии, потребное для воздухораспределения, характеризуется одним коэффициентом С, а удельные затраты энергии на единицу тепловыделений в рабочей зоне — другим. Поэтому конструкция приточного насадка, выбранная с учетом каких-либо ограничивающих условий, не всегда должна характеризоваться минимальными значениями коэффициента С, определяющими удельные энергозатраты.
Так, для ограничивающих условий, соответствующих шестой строке табл. 1, по абсолютному значению потребной энергии для воздухораспределения (С20) к установке принимается насадок 2 (см. табл. 3), при этом количество энергии по сравнению с насадком 3 будет меньше на 13%, несмотря на то, что удельные затраты энергии у насадка 3—78% от удельных затрат насадка 2 (сравните С13).
Для ограничивающих условий (стока 7 табл. 1) применение насадков 2 позволяет сократить по сравнению с насадком 337% энергии, в то время как насадок 2 характеризуется удельными энергозатратами на 12% большими, чем у насадка 3 (сравните С21 и С26). При выборе приточных насадков для ограничивающих условий, объединенных в группу I (см. табл. 1), предпочтение следует отдать насадкам 2, обуславливающим минимальные как абсолютные, так и удельные энергозатраты.
Сравнивая другие коэффициенты рассмативаемых приточных насадков, характеризующих интересующий нас параметр воздухораспределения, можно по величине этих коэффициентов судить об относительной величине этих параметров. Таким образом, коэффициенты табл. 3 позволяют наиболее обоснованно производить выбор приточных насадков.
Пример 1. Помещение площадью F = 1000 м2, высотой Hп = 7 м, в рабочей зоне которого равномерно по площади выделяется 150 кВт явного тепла. Минимально возможная температура приточного воздуха to = 12°С. Температура воздуха в рабочей зоне tрз = 19°С.Точность поддержания температуры ∆tд = ±1°С. Допустимая подвижность воздуха в рабочей зоне uд = 0,3–0,5 м/с. Требуется рассчитать систему воздухораспределения вертикальными сосредоточенными струями. Основной расчет ведется для случая uд = 0,3 м/с. В скобках приведены результаты расчета для uд = 0,5 м/с.
- Определяем расстояние от приточного насадка до рабочей зоны: hi=5м.
- По зависимостям табл. 1 (первая строка) определяем: расход воздуха Vo = 17,85 м3/с; площадь выходного отверстия приточного насадка Fo = С32,05 м2; скорость выпуска воздуха из насадка uо = 1,05С7(1,75С7)м/с; количество приточных насадков z = 8,3С9(5С9)шт.; расход энергии на раздачу приточного воздуха N = 11,75С13(32,6С13), Вт; удельный расход энергии на единицу ассимилированного в рабочей зоне тепла Nуд = 0,079С13(0,22С13).
- Результаты расчетов насадков см. табл. 4. К установке принимаем насадки 3 в количестве 161 шт. и получаем минимальные затраты энергии на распределение приточного воздуха.
Пример 2. Исходные данные те же, что и в примере 1, но по конструктивным соображениям необходимо разместить 150 приточных насадков.
Решение. По зависимостям табл. 1, строка 11, определяем основные параметры воздухораспределения. Согласно этим зависимостям расход воздуха, количество энергии, потребной для раздачи приточного воздуха, удельные затраты энергии на единицу ассимилируемого тепла в рабочей зоне, а также скорость выпуска воздуха из приточных насадков для всех рассматриваемых насадков остаются теми же, что в примере 1.
Изменяющимися параметрами воздухораспределения являются hi и Foi. Для них соответственно имеем hi = 1,18С8(0,91С8)и Foi = 0,113С6(0,686С6). Результаты расчета изменяющихся параметров системы распределения воздуха сведены в табл. 5. Наиболее подходящими для рассматриваемого случая являются насадки 3 и 4 (см. табл. 5), но в первом случае требуется увеличить высоту помещения, а во втором — приблизить насадки к рабочей зоне.
Если по эстетическим соображениям приточные насадки требуется разместить только в плоскости потолка, то насадки 4 при заданном их количестве не в состоянии обеспечить требуемую подвижность воздуха в рабочей зоне, а насадок 3 может обеспечить несколько повышенную подвижность воздуха, равную 0,325 м/с, при этом расход энергии на раздачу воздуха возрастет на 17%, т.е. на 1,35 кВт,и составит 9,2 кВт.
Расчет воздухораспределения ведется на максимально возможные величины тепловыделений в рабочей зоне. Однако при эксплуатации действительные тепловыделения, как правило, не всегда соответствуют расчетным значениям. Для оценки характера изменения параметров, определяющих микроклимат в рабочей зоне, установим критерии, характеризующие их взаимосвязь. Из зависимости (24), определяющей условия поддержания точности температуры в рабочей зоне, устанавливаем критерий точности поддержания температуры.
В относительных величинах (отношение текущего значения параметров к параметрам для расчетного режима) критерий точности поддержания температуры запишется так:

а из уравнения (25) получаем условие обеспечения требуемой скорости в рабочей зоне

Используя уравнения (35) и (36) для случаев качественного и количественного регулирования микроклимата в рабочей зоне, при условии отсутствия градиента температур по высоте, т.е. при α= 0 и неизменной величине m, в табл. 6 приведены зависимости для определения влияния на точность поддержания параметров микроклимата независимых переменных системы воздухораспределения.
При регулировании температуры воздуха в рабочей зоне изменением количества приточного воздуха достигается уменьшение энергии, сообщаемой приточному воздуху, пропорционально кубу относительного изменения возмущающего фактора. Однако при неизменной разности температур приточного воздуха и воздуха рабочей зоны и уменьшении тепловыделений количественный способ, точность поддержания температуры воздуха в рабочей зоне не уменьшается.
Если же количество приточного воздуха сокращается в связи с увеличением разности температур между приточным воздухом и воздухом в рабочей зоне, воздухораспределение обеспечивает поддержание температуры в рабочей зоне с точностью меньшей требуемой, а скорость воздуха — ниже нормируемой.
При изменении количества приточного воздуха, подаваемого в помещение, в результате одновременного изменения тепловыделений в рабочей зоне и разности температур приточного воздуха и рабочей зоны точность поддержания температуры воздуха в рабочей зоне ухудшается и уменьшается скорость воздуха в рабочей зоне. Для поддержания в рабочей зоне температуры и скорости воздуха с постоянной точностью необходимо:
1. При качественном регулировании системы с уменьшением тепловыделений в рабочей зоне увеличить площадь выходного отверстия приточного насадка и приблизить последний к рабочей зоне либо изменить количество работающих приточных насадков, оставляя неизменным либо площадь выходного отверстия каждого приточного насадка, либо высоту их расположения. При этом уменьшается количество энергии, которое следует сообщать приточному воздуху, пропорционально квадрату относительного изменения тепловыделений.
2. При количественном регулировании системы с уменьшением энергии, сообщаемой приточному воздуху, следует различать два случая: а) изменяются тепловыделения в рабочей зоне, б) изменяются одновременно тепловыделения и разность температур приточного воздуха рабочей зоны. Постоянная точность регулирования достигается в следующих случаях: а) либо при постоянстве площади выходного отверстия каждой приточной насадки и высоте ее расположения и изменении числа работающих насадок, либо при неизменном количестве приточных насадк, но при изменении площади их выходных отверстий и высоты расположения; б) при изменении как площади выходного отверстия каждой приточной насадки, так и их количества.
3. При изменении разности температур ∆t и при постоянных тепловыделениях в рабочей зоне поддержание температуры и скорости воздуха с заданной точностью при количественном регулировании требует увеличения энергии, сообщаемой приточному воздуху, по сравнению с расчетной. Следует отметить, что при качественном регулировании с требуемой точностью параметров воздуха в рабочей зоне достигается большая экономия энергии, чем при количественном регулировании.
Подставив в выражение (6) зависимости для основных величин,получаем

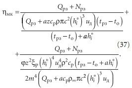
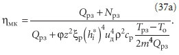
Из данного выражения следует, что термодиначическая эффективность систем поддержания микроклимата в рабочей зоне снижается при наличии положительного градиента температур по высоте помещения, при использовании насадков с малыми величинами mи при повышении uд. Положив a = 0, выражение (37) примет вид

Из зависимости (37а) следует, что термодинамическая эффективность обеспечения требуемого микроклимата в помещении повышается с уменьшением разности температур между воздухом в рабочей зоне и приточным воздухом. Практически эта разность не может быть меньше ∆tд. Записав выражение (6) для случая отсутствия градиента температур по высоте в виде

получаем, что термодинамическая эффективность системы воздухораспределения обусловливается удельными затратами энергии на ассимилирование единицы тепловыделений в рабочей зоне. Анализ зависимости (38) с учетом выражения для Nуд (см. табл. 1) показывает, что термодинамическая эффективность воздураспределения повышается при применении приточных насадков, характеризуемых минимальными значениями коэффициентов С, определяющих Nуд для конкретных условий применения насадка, а также при уменьшении разности температур воздуха в рабочей зоне и приточного воздуха (∆t > 0), при расположении приточных насадков в непосредственной близости к рабочей зоне (hi > 0) и использовании приточных насадков с большей площадью выходного отверстия.
При проектировании воздухораспределения, характеризуемого повышенной эффективностью, следует расчет воздухораспределения вести на минимальное значение допустимой скорости воздуха в рабочей зоне и максимально возможный градиент температур (∆tд) воздуха в этой зоне.
Пример 3. Определить термодинамическую эффективность систем поддержания микроклимата, рассмотренных в примере 1 систем воздухораспределения, при этом коэффициент местного сопротивления вытяжной решетки ξв = 0,5, а скорость удаления через нее воздуха 5 м/с. Определяем для каждой системы величину коэффициента φ:

Потери энергии на трение воздуха в рабочей зоне определены для мининально допустимой подвижности воздуха в рабочей зоне 0,3 м/с.Считая, что движение турбулентное, для данного помещения Nрз является величиной постоянной. Результаты расчета сведены в табл. 7. Данные табл. 7 показывают, что системы поддержания микроклимата с насадками 2 и 3 при поддержании в рабочей зоне подвижности воздуха uд = 0,5 м/с термодинамическая эффективность систем поддержания микроклимата снижается. Для систем с насадками 2 и 3 она снижается соответственно на 7 и 5%.
Выводы:
1. Выбор воздухораспределяющих приточных насадков следует производить по зависимостям в табл. 1, и по коэффициентам С, которые характеризуют конструкцию насадков для различных условий применения.
2. Качественное регулирование температуры воздуха в рабочей зоне изменением перепада температур воздуха рабочей зоны и приточного соответственно отклонению тепловыделений в рабочей зонеот расчетного значения приводит к неоправданному повышению точности поддержания температуры воздуха в рабочей зоне и, как следствие, к перерасходу энергии и снижению термодинамической эффективности воздухораспределения.
3. Количественное регулирование температуры воздуха в рабочей зоне изменением количества приточного воздуха при изменении как тепловыделений, так и температуры приточного воздуха, а также при совместном изменении и температуры приточного воздуха и тепловыделений позволяет сократить расход энергии на воздухораспределение, но при этом наблюдается отклонение от нормируемых значений подвижности воздуха и точности поддержания температуры воздуха в рабочей зоне.
4. Сокращение расхода энергии на воздухораспределение, а также повышение его термодинамической эффективности в режимах, отличных от расчетных, могут быть достигнуты, если совместно с качественным регулированием изменять дополнительно по крайней мере расстояние приточного насадка до рабочей зоны, площадь выходного сечения каждого насадка, их количество и скорость выхода воздуха из насадка.
5. При количественном регулировании темпрературы воздуха в рабочей зоне нормируемая точность поддержания температуры и скорости воздухв в рабочей зоне достигается только при дополнительном регулировании в различном сочетании следующих параметров систем воздухораспределения: расстояния от приточных насадков до рабочей зоны, количества работающих насадков, площади выходного отверстия каждого насадка и скорости выхода воздуха из насадков.
При этом в процессе регулирования расход энергии на систему воздухораспределения сокращается, а ее темодинамическая эффективность повышается, если возмущающим фактором регулирования является только величина тепловыдлений в рабочей зоне. Аналогичный эффект достигается и при совместном изменении тепловыделений в рабочей зоне и температуры приточного воздуха, а в качестве дополнительных регулирующих факторов используются количество работающих приточных насадков и площадь выходного отверстия каждого насадка. Во всехостальных случаях наблюдается повышение расхода энергии и, следовательно, снижение термодинамической эффективности системы воздухораспределения.
6. Основные напрвления повышения термодинамической эффективности поддержания параметров микроклимата в рабочей зоне помещения: уменьшение разности температур приточного воздуха и рабочей зоны; расположение приточных насадков в непосредственной близости к рабочей зоне; использование приточных насадков с большими площадями отверстий для выхода воздуха; применение приточных насадков, характеризуемых минимальными коэффициентами С в зависимостях, определяющих удельный расход энергии на единицу ассимилируемых в рабочей зоне тепловыделений.
Удаление вытяжного воздуха следует производить со скоростью значительно меньшей, чем скорость приточного воздуха в насадке, и через решетки с минимальным коэффициентом местного сопротивления.Наличие по высоте помещения температурного градиента, имеющего знак, противоположный знаку разности между температурами воздуха в рабочей зоне и приточным воздухом, приводит к снижению термодинамической эффективности воздухораспределения
* Продолжение. Начало — в №11/2006.