Рис. 1. Развитие струи охлажденного воздуха в офисном помещении
Рис. 2. Схема расположения внутреннего блока кондиционера и рабочего места
Рис. 3. Схема развития струи по результатам расчета
Табл. 1. Координаты оси струи для различных значений x
Речь идет об увеличении простудных заболеваний, особенно в теплый период года. Это связано, в первую очередь, с тем, что в проектах отсутствуют расчеты параметров воздуха в зонах, обслуживаемых такими кондиционерами. Для помещений с большим скоплением людей и оборудования при проектировании производится детальный расчет систем воздухораспределения.
В офисных помещениях струи охлажденного воздуха, подаваемого кондиционерами, быстро отрываются от потолка и достигают обслуживаемой зоны с температурой и скоростью воздуха, значительно отличающейся от нормативных значений. Применительно к офисным помещениям при подаче охлажденного воздуха внутренними блоками автономными кондиционерами мы наблюдаем развитие неизотермической горизонтальной плоской ненастилающеся струи холодного воздуха, которая отклоняется от первоначального направления, не доходя до противоположной стены (рис. 1).
Для определения начальных параметров такой струи можно воспользоваться данными, приводимыми в каталогах кондиционеров данного типа, где указываются общие габариты блоков, производительность по воздуху L0 и холоду Qхол. Размеры воздуховыпускного отверстия могут быть определены ориентировочно. Пользуясь этими данными, можно найти начальную скорость V0, м/с:

и начальную избыточную температуру Δt0, °C:

где c — теплоемкость воздуха, Дж/(кг⋅°C); ρ — плотность воздуха, кг/м3. Остальные данные, необходимые для расчета: оптимальная температура внутреннего воздуха для теплого периода по [1] twz = 23–25 °C; допустимая подвижность для общественных зданий Vwz = 0,3 м/с. С учетом [2] допустимое отклонение температуры в зоне прямого действия струи Δtxдоп = 1,5 °C; допустимая скорость на входе в рабочую зону Vxдоп = kVwz = 1,4 × 0,3 = 0,42 м/с.
Пример расчета
Представляет практический интерес расчет параметров струи на входе в обслуживаемую зону (см. рис. 1). Для расчетов воспользуемся формулами, приведенными в [3, 4]. Рассмотрим пример расчета для офисного помещения размерами в плане 3 × 5 м и высотой 3 м (рис. 2). В помещении офиса установлен кондиционер Panasonic Deluxe CS-A7DKD CU-A7DKD с характеристиками: холодопроизводительность Qx = 2000 Вт, расход воздуха во внутреннем блоке L = 474 м3/ч.
Охлажденный воздух поступает через воздухораспределительное устройство кондиционера размером 0,7 × 0,07 м, приточная струя плоская с начальным размером B0 = 0,07 м и начальной площадью F0 = 0,7 × 0,07 = 0,049 м2. Воздух поступает в помещение под углом –45° (при направлении пластин кондиционера вниз). Скоростной коэффициент для воздухораспределительной решетки кондиционера m = 4,5; температурный коэффициент для воздухораспределительной решетки кондиционера n = 3,2 [3]. Скорость истечения охлажденного воздуха из решетки:

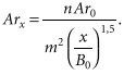
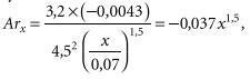
Начальная избыточная температура воздуха на выходе из решетки кондиционера, °C, определится по производительности по холоду и воздуху: Условия развития и основные характеристики неизотермической струи определяются величиной числа Архимеда Ar. Значение числа Архимеда Ar0 по начальным условиям для плоской струи находится по формуле:

где B0 — ширина струи, м; tокр = 273 + twz, °C. Уравнение траектории оси струи: Z = xtg(α0) + 0,7xArx, где Arx — текущее число Архимеда, определяемое:

При подстановке полученного ранее значения Ar0 = –0,0043 получим:

Z = xtg(–45°) + 0,7x(–0,037)1,5 = –x – 0,026x2,5. Рассчитаем координаты оси струи для различных значений x (табл. 1). Полученные данные приведены на рис. 3. Длина оси струи по графику на рис. 3 от воздуховыпускной решетки кондиционера до входа в рабочую зону составляет x = 1,75 м. Теперь определим температуру воздуха и скорость на оси струи на входе в рабочую зону.
Длина начального участка для плоской струи, м: xнач = m2B0 = 4,52 × 0,07 = 1,4. Так как x > xнач, на входе в рабочую зону имеем основной участок струи (см. рис. 3). Текущее число Архимеда Arx при х = 1,75 м найдем по уравнению: Arx = –0,037 × 1,5 = –0,037 × 1,75 × 1,5 = –0,086. Скорость воздуха, м/с, на оси струи на входе в обслуживаемую зону определим по формуле:

где Ktv и Kст, Kвз — коэффициенты неизотермичности, стеснения и взаимодействия соответственно. При однонаправленном действии гравитационных и инерционных сил коэффициент неизотермичности Ktv = 1. Коэффициент стеснения Kст = 1, т.к. условия стеснения отсутствуют. Коэффициент взаимодействия Kвз = 1, т.к. других струй нет. С учетом полученных значений коэффициентов скорость воздуха, м/с, на оси струи на входе в обслуживаемую зону:

что значительно превышает допустимое значение Vxдоп = 0,42 м/с, рассчитанное выше. Избыточная температура воздуха на оси струи на входе в обслуживаемую зону, °C, находится по формуле:

где Ktt — коэффициент, учитывающий влияние неизотермичности на температуру воздуха. Коэффициент Ktt определяется по формуле: Ktt = (1 – Arx)0,5 = (1 + 0,086)0,5 = 1,042. Тогда избыточная температура на оси приточной струи при входе в обслуживаемую зону равна:

а температура на оси струи при входе в обслуживаемую зону, соответственно, равна: tx = twz + Δtx = 23 – 7,8 = 15,2 °C. Абсолютное значение | Δtx | = 7,8 °C превышает допустимое отклонение Δtдоп = 1,5 °C, а температура на оси струи при входе в обслуживаемую зону значительно ниже рекомендуемого нормами значения.
На основании выполненных расчетов можно сделать вывод о том, что при расположении внутренних блоков кондиционеров вблизи рабочих мест обслуживаемой зоны основные параметры воздуха не соответствуют нормируемым значениям, что негативно сказывается на здоровье персонала. Перед монтажом блоков следует сделать необходимые расчеты и произвести корректировку размещения установки с учетом планировки помещений и расположения рабочих мест персонала.