Табл. 1
Табл. 2
Шум в ряду экологических опасностей в мегаполисах занимает третье по важности место. Решение проблемы защиты людей от шума должна начинаться с организации постоянного контроля уровней шума в городе. Инструментом контроля шума является шумовая карта города, где представлены уровни шума на всех основных магистралях, в районах жилья и отдыха людей, на территории промышленных и других предприятий, а также вокруг отдельно стоящих шумных объектов. Шумовая карта города, являющаяся частью общего экологического мониторинга, используется властями:
- а. для разработки реально достижимых норм допустимого шума для конкретного города;
- б. для проектирования и осуществления технических и иных средств по выполнению этих норм;
- в. для применения санкций к тем, кто эти нормы не выполняет.
На базе стратегической шумовой карты города в генеральном плане предусматриваются так называемые «спальные районы» в тихой части города и в шумной его части — акустические экраны, звукоизолирующие дома, другие средства и мероприятия по снижению шума (например, вывод шумных предприятий из жилых кварталов или оптимальные режим работы и маршруты наиболее шумного транспорта). В мегаполисах наиболее мощным источником шума является транспорт: наземный, подземный, водный и воздушный.
Это, в первую очередь, грузовые и легковые автомобили, автобусы, трамваи, электропоезда пригородного сообщения, самолеты и вертолеты, речные и морские суда. Второй значимый источник шума — промышленные предприятия и мобильная техника, например, строительная. Развитие городов ведет к росту шума и к его опасному проникновению в жилые дома, школы, больницы, в общественные и служебные здания.
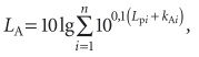
Городской шум характерен широким спектром и большими флюктуациями в пространстве и во времени. Для измерения, расчета, нормирования и контроля городского шума используются следующие три величины: уровень звука, эквивалентный уровень звука и максимальный уровень звука. Уровень звука (УЗ в широком диапазоне частот) LA [дБА] в нормируемом диапазоне октавных полос частот 31,5–8000 Гц в данный момент времени определяется по формуле:

где Lpi — УЗД iй октавной полосы частот, дБ; kAi — поправка на частотную характеристику А для iй октавной полосы частот, дБ (табл. 1); n = 9 — число октавных полос частот. Эквивалентный уровень звука (ЭквУЗ непостоянного в пространстве и во времени шума) LAэкв [дБА] в диапазоне октавных полос частот 31,5–8000 Гц по определению есть уровень постоянного шума, который имеет то же самое среднеквадратичное звуковое давление, что и исследуемый непостоянный шум в течение определенного интервала времени T. Он рассчитывается по формуле:

где T — время воздействия шума; LiA — практически постоянное значение уровня звука непостоянного шума за время τi.Существует так называемый максимальный уровень звука (МаксУЗ непостоянного в пространстве и во времени шума) LAmax [дБА] в диапазоне октавных полос частот 31,5–8000 Гц, который по определению есть уровень непостоянного шума, соответствующий максимальному показателю измерительного, прямопоказывающего прибора (шумомера) при визуальном отсчете или уровень звука, превышающей 1 % длительности измерительного интервала за время T при регистрации шума автоматическим оценивающим устройством (статистическим анализатором) в дБА.
Вчера
Первая шумовая карта города в нашей стране (возможно, и в мире) была составлена в начале 1980х гг. в Ленинграде городской санэпидстанцией по инициативе и под руководством энергичного инженера-акустика А.Л. Васильевой. Тогда эквивалентный уровень звука на главных улицах Ленинграда (Невский проспект, Садовая улица, Большой проспект Петроградской стороны) составил по данным многочисленных измерений примерно 75 дБА.
Большая работа по построению карт шума была проведена и в Научно-исследовательском институте строительной физики в Москве под руководством одного из ведущих акустиков России, д.т.н., профессора Г.Л. Осипова. В конце 1980х — начале 1990х гг., примерно через десять лет, эта работа была продолжена под руководством другого известного акустика России, д.т.н., профессора А.С. Никифорова, президента Восточноевропейской ассоциации акустиков.
Им и сотрудниками ЦНИИ им. акад. А.Н. Крылова (инженером-акустиком С.В. Попковым и др.) была составлена новая шумовая карта теперь уже не Ленинграда, а Санкт-Петербурга [1]. Измерения показали, что на главных улицах города эквивалентный уровень звука достиг величины, равной порядка 85 дБА, что на десять децибел больше уровня шума десятилетней давности. Шум в городе увеличился по субъективному ощущению более чем в два раза.
Это очень большое возрастание. Санитарная норма, которая оценивается соответствующими отечественными и международными документами, в данном случае по СНиП 2303–2003 «Защита от шума» для территорий, непосредственно прилегающих к жилым зданиям, днем составляет LAэкв = 55 дБА (с 7:00 до 23:00) и ночью — LAэкв = 45 дБА (с 23:00 до 7:00).
Появление шумовых карт городов привело к тому, что перед местными законодателями встал вопрос о разработке городского закона о борьбе с шумом, а перед исполнительной властью — о планировании мероприятий по уменьшению шумового воздействия на жителей города. Отметим кстати, что, можно сказать, «первый закон по борьбе с шумом» был принят еще в древнегреческом городе Сибарис*, т.е. примерно в VII веке до н.э.
Там, в частности, строго запрещалось шуметь с заходом и до восхода солнца. Окружающим Элладу варварам борьба с шумом казалась тогда излишней роскошью. Спустя двадцать семь столетий все изменилось до наоборот: «варварами» считаются те, кто не борется с шумом. В наше время одни из первых законов об ограничении шума были приняты в Англии [3]. Английский закон об уменьшении шума 1960 г. гласит, что шум и вибрация являются нарушением общественного порядка, предусмотренным законом о здравоохранении 1936 г., ч. III.
По закону 1960 г. местные власти могли действовать против нарушителей общественного порядка, вызывающих шум, и принимать меры для снижения шума. По этому закону нельзя было возбуждать судебное дело против нарушителей шума, который существовал какое-то время, а затем прекратился. Новый закон 1969 г. уже предусматривал возможность возбуждения судебного дела по этому поводу, чтобы предотвратить нарушения в будущем.
В английском законе об охране окружающей среды от загрязнений 1974 г. включены все основные положения трех вышеупомянутых законов, но введены и дополнительные положения. Главные положения этого закона следующие:
- Нарушения общественного порядка. Для нарушителей определяется время проведения работ по снижению шума, намечаются конкретные мероприятия по предотвращению вредного воздействия шума. Меры к нарушителям принимаются отделом здравоохранения или отделом защиты здоровья от воздействия окружающей среды, а также судом магистрата. В последнем случае три или более жителей должны подать жалобу, что и будет поводом для соответствующих действий.
- Зоны запрета шума. Согласно закону, местные власти могут объявить любой участок своего района ограниченной по шуму территорией. Измерение шума производится по периметру зоны и строго контролируется.
- Планирование работ. Здесь указаны основные принципы планирования строительства жилых зданий, дорог, функционирования предприятий промышленности, аэропортов и др. для выполнения допустимых уровней шума.
- Шум строек. Местные власти должны контролировать шум строек и шум, образующийся при разрушении старых зданий.
Сегодня
Положение сейчас таково, что уровни городского шума во всех мегаполисах мира на основных магистралях превышают санитарные нормы. У общественности и властей промышленно развитых стран возросло понимание борьбы с шумом и потребность в шумовых картах города для планирования этой борьбы. В частности, у нас по заказу властей многих городов России шумовые карты разрабатывались до «перестройки» специалистами-акустиками ЦНИИ им. акад. А.Н. Крылова в Ленинграде и НИИ строительной физики в Москве [4, 5, 6, 7].
Теперь же все это возрождается. В 2006 г. под руководством заведующего кафедрой экологии и ОБЖ Балтийского государственного технического университета «Военмех», президента Санкт-Петербургского общества по борьбе с шумом и вибрацией Н.И. Иванова, д.т.н., профессора, по заказу городских властей была начата работа по разработке карты шума Санкт-Петербурга. Предварительные данные — уровень шума в Санкт-Петербурге в среднем превышает допустимую норму на 10–20 дБА.
Это огромная величина превышения («Российская газета», 29.11.2007 г., № 267 (4530). Работа по созданию современной карты шума Санкт-Петербурга европейского уровня, несмотря на всю ее сложность, трудоемкость, требования высокого профессионализма и дороговизну, должна быть, по нашему мнению, завершена и, главное, широко представлена в Интернете общественности: специалистам-акустикам, санитарным врачам и любому жителю города.
Столичные власти обеспокоены шумом: почти 70 % территории Москвы находится в зоне шумового дискомфорта (данные ГПУ «Мосэкомониторинг», отвечающей за измерение уровня шума в столице). Главный санитарный врач Москвы Николай Филатов заявил, что за последние 10 лет из-за лишних децибел в городе в два-три раза увеличился рост сердечнососудистых заболеваний и гипертонии. По его убеждению, громкие звуки на 8–12 лет сокращают продолжительность жизни москвичей («Российская газета», 21.01.2008 г., № 304(4567).
Завтра
«Завтра» для нас в данный момент находится в Европейском Союзе (50 лет назад СССР был во многом впереди). Борьба с шумом в Западной Европе опирается на солидную нормативную базу. Здесь действует практика принятия Европейским Парламентом следующих Директив, которые направлены на соблюдение единых требований, норм, измерительных процедур и пр. в области борьбы с шумом, например: 2000/14/ЕС «О шуме оборудования во внешней среде»; 2002/49/ЕС «Об оценке шума в окружающей среде»; 2003/10/ЕС «О требованиях к безопасности и здоровью рабочих под действием шума»; 70/157/EEC, 97/24/EC, 2001/43/EC, посвященные шуму автотранспорта; 96/48/EC, 2002/735/EC, 2002/732/EC — железнодорожного транспорта; 80/51/EEC, 89/629/EEC, 92/14/EEC, 2002/30/EC — авиационного транспорта.
Все это неуклонно внедряется в жизнь. Законодательная база для создания карт шума была определена Директивой 2002/49/EC, имеющей цель: недопущение, предотвращение или сокращение вредного действия шума путем обеспечения контроля общественности; создание сообществом стран Европейского Союза мер по снижению шума. Показатель шума определяется уровнем звука L = Lden [дБА] за сутки:

где Lday — уровень звука за день, Leven — за вечер, Lnigh — за ночь. Расчетный день составляет 12 ч, расчетный вечер — 4 ч и расчетная ночь — 8 ч. Уровни звука L при этом — взвешенные долгосрочные уровни звука: эквивалентные уровни звука LAэкв [дБА] или максимальные уровни звука LAmax, дБА.
Согласно этой Директиве карты шума должны содержать информацию о существующей или прогнозируемой акустической ситуации, превышении нормативных значений уровня шума, количестве населения и площади территорий, подвергающихся повышенным уровням шума, а также количестве жилых домов, больниц и школ, расположенных на рассматриваемом участке. Согласно европейскому законодательству карты шума должны быть составлены для всех:
- населенных пунктов с населением более 100 тыс. жителей;
- автомагистралей с движением более 3 млн автомобилей в год;
- железных дорог с движением более 30 тыс. поездов в год;
- аэропортов с движением более 50 тыс. операций в год.
Затем каждые пять лет государства-члены должны информировать Комиссию ЕС по основным дорогам, основным железным дорогам, основным аэропортам и агломерациям в пределах их территорий. Соседние государств-члены должны сотрудничать по стратегическому отображению шума и в отношении планов действий для приграничных регионов.
Государства-члены ЕС должны обеспечить проведение консультаций с общественностью по поводу предложений о планах действий, учитывая ранние и эффективные возможности для участия в подготовке и пересмотре планов действий, чтобы результаты этого участия были приняты во внимание, и чтобы общественность была информирована о принятых решениях. Разумные сроки должны быть предусмотрены для предоставления общественности достаточного времени для участия в каждом этапе процесса.
Государства-члены ЕС должны обеспечить доступность и распространение стратегических карт среди населения в соответствии с законодательством Сообщества, в частности, Директивы Совета 90/313/EEC о свободе доступа к информации об окружающей среде, в т.ч. с помощью доступных информационных технологий. Эта информация должна быть четкой, понятной и доступной. Должно быть предусмотрено краткое изложение наиболее важных моментов.
Минимальные требования для создания шумовой карты:
- На стратегической карте шумов должны быть представлены данные по одному из следующих аспектов: существующие, предыдущие или будущие ситуации шума с точки зрения шумового показателя; превышение предельного значения; предполагаемое число жилых домов, школ и больниц на определенной территории, которые подвергаются конкретному значению показателя шума; оценочное число людей, подвергающихся воздействию шума.
- Стратегические карты шумов могут быть представлены общественности как: графические изображения, числовые данные в таблицах, данные в электронной форме.
- На стратегических шумовых картах агломераций необходимо ставить особый акцент на шум, излучаемый: дорожным движением, железнодорожным транспортом, аэропортами, деятельностью промышленных объектов, включая порты.
Минимальные требования к создаваемым планам действий:
- План действий, по меньшей мере, должен включать следующие элементы: описание агломерации, основных дорог, крупных железнодорожных или крупных аэропортов и других источников шума; ответственный орган; правовой контекст; любые предельные значения на месте; отчет о результатах отображения шума; оценка предполагаемого числа людей, подвергшихся воздействию шума, выявление проблем и ситуаций, которые должны быть улучшены; отчет о публичных консультациях; любые меры уменьшения шума, уже вступившие в силу, и любые проекты в стадии подготовки; действия, которые компетентные власти намерены принять в ближайшие пять лет, включая любые меры, чтобы сохранить район тихим; долгосрочная стратегия; финансовая информация: бюджеты, экономическая оценка эффективности затрат и оценка выгоды; положения, предусмотренные для оценки осуществления и результатов плана действий.
- Действия, которые компетентные власти намерены предпринять в таких областях в пределах своей компетенции: дорожно-транспортное планирование; планирование землепользования; технические меры на источниках шума; выбор менее шумных источников; уменьшение передачи звука; нормативные или экономических меры.
- Для каждого действия план должен содержать смету с точки зрения сокращения числа пострадавших людей.
Данные, которые должны быть направлены в специальную комиссию ЕС:
1. Для агломераций (компактная пространственная группировка поселений): краткое описание агломерации: месторасположение, площадь, количество жителей; ответственный орган; шум управления программами, которые были проведены в прошлом и меры; вычисление или методы измерений, которые были использованы; число людей (сотни), проживающие в жилищах, которые подвергаются воздействию каждой из следующих полос значений Lden [дБА] в 4 м над поверхностью земли на наиболее подверженные фасады: 55–59, 60–64, 65–69, 70–74, > 75, отдельно для шума от автомобильного, железнодорожного и воздушного транспорта, и из промышленных источников.
Цифры должны быть округлены до ближайшей сотни (например, значения между 5150 и 5249 — до 5200; между 50 и 149 — до 100; менее 50 — до 0); предполагаемое общее число людей (сотни), проживающие в жилищах, которые подвергаются воздействию каждой из следующих полос значений Lnigh в 4 м над поверхностью земли на наиболее подверженные фасады: 50–54, 55–59, 60–64 , 65–69, > 70, отдельно для автомобильного, железнодорожного и воздушного транспорта и промышленных источников; в случае графического представления стратегические карты должны иметь контуры 60, 65, 70 и 75 дБА, и краткое изложение плана действий по всем важным аспектам.
2. Для крупных дорог, основных железных дорог и крупных аэропортов: общее описание дороги, железной дороги и аэропорта: расположение, размер и данные о трафике; характеристика их окружения: агломерации, села, деревни или иным образом, информация о землепользовании, других основных источниках шума; программы управления шумом, которые были проведены в прошлом, и меры; вычисления или методы измерений, которые были использованы; предполагаемое общее число людей (сотни), живущих за пределами агломераций в жилых помещениях, которые подвергаются воздействию каждой из следующих полос значений Lden [дБА] в 4 м над поверхностью земли, а в наибольшей степени подвержены фасады: 55–59, 60–64, 65–69, 70–74, > 75; предполагаемое общее число людей (сотни), живущих за пределами агломераций в жилых помещениях, которые подвергаются воздействию каждой из следующих полос значений Lnigh [дБА] в 4 м над поверхностью земли, а в наибольшей степени подвержены фасады: 50–54, 55–59, 60–64, 65–69, > 70; общая площадь [км2], ставшая жертвой значений Lden [дБА] выше, чем 55, 65 и 75, соответственно — предполагаемое общее количество жилых помещений и общее число людей (сотни), проживающих в каждой из этих областей должны быть также предоставлены.
Недостаток всех существующих карт шума городов и агломераций в России и в Европейском Союзе — неизвестные точность и надежность указанных в них величин уровней звука. Настало время разработать метод определения точности и надежности шумовой карты города, а, значит, и иметь рациональную возможность повышать их практическую эффективность.
Для разработки такого метода авторы данной статьи воспользовались классическим методом дисперсионного анализа теории вероятностей и математической статистики [1, 2]. Итак, городской шум будем аппроксимировать стационарно-случайной функцией при нормальном распределении измеряемой величины. Для такого распределения в данном случае предлагается производить статистическую оценку результатов измерения шума с учетом как пространственных, так и случайных флюктуаций во времени следующим образом.
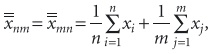
Представим отдельные результаты измерения городского шума L = xij по формулам (1) и (2) в виде матрицы значений M(xij), в строках которой по горизонтали находятся величины xi в i разных точках пространства общим числом n, а по вертикали в столбцах — величины xj в различных моментах времени j общим числом m.
Если случайные отклонения измерений x в пространстве не зависят от случайных отклонений этой величины во времени, то матрица значений M(xij) трансформируется в матрицу значений M(xi + xj), где величина xi зависит только от измерений в пространстве, а величина xj зависит только от измерений во времени. В результате имеем следующую среднюю величину:

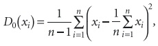
дисперсию отклонений в пространстве:

дисперсию отклонений во времени:

и дисперсию отклонений в пространстве и во времени:
D0 = D0(xi) + D0(xj).
Воспользуемся следующим соотношением дисперсионного анализа [2]:

и, поскольку зависимость между xi и xj в действительности может хотя бы частично существовать, и обычно n ≠ m, то наименьшая погрешность будет соответствовать приведенному выше соотношению для средней арифметической величины перекрестных значений матриц перехода от M(xij) к M(xi + xj). Следовательно:
D(aj) = 0,5[S2(x–nj) + S–2mn] и
D(xi) = 0,5[S2(x–im) + S–2nm].
Тогда расчетные формулы для оценки сверху дисперсий с использованием функций Пирсона Ψ(χq2) с вероятностью, близкой к единице, примет вид:
D~(xi) = 0,5(n/χq2)[S2(x–im) + S–2nm] и
D~(aj) = 0,5(m/χq2)[S2(x–nj) + S–2mn].
Итого, получим с вероятностьюΦ(t)Ψ(χq2),где Φ(t) — функция Лапласа, статистическую оценку «рукава» результатов измерения городского шума при достаточно больших числах величины x, практически уже при nm > 100 (n ≥ 10, m ≥ 10), средней величины по формуле:

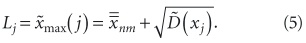
И при тех же nm > 100 (n ≥ 10, m ≥ 10) получим следующую величину наибольших значений x по формуле значений для шумовой карты города:

Тогда наибольшие из возможных значения шума с учетом отклонений только в пространстве рассчитывается по формуле:

и наибольшие из возможных значения с учетом отклонений только во времени — по формуле:

В наиболее ответственных случаях практики борьбы с шумом, каким является составление шумовой карты города, рекомендуется принимать следующие значения надежности:
- вероятность Φ(t) = 0,9973 (высшая степень надежности), тогда t = 3,00;
- вероятность Ψ(χq2) = 0,95, тогда χq2 имеет значения в зависимости от n, m, указанные в табл. 2.
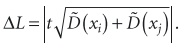
Итоговая вероятность статистических оценок величин уровней звука x = L [дБА], при выбранных Φ(t) = 0,9973 и Ψ(χq2) = 0,95 дает надежность P = Φ(t)Ψ(χq2) ≈ 0,95 указанных величин для шумовой карты города по формуле (3) с точностью [дБА]:

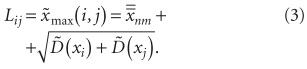
Задавая величину надежности (например, P = 0,95) и величину точности (например ΔL = 1 дБА), получаем по предложенной методике число измерений эквивалентных уровней звука Lij [дБА] в пространстве n и во времени m. Проблема представления уровней звука на шумовой карте города одним числом для конкретной целой улицы, площади, переулка и т.д. и одновременно для целого года может быть решена предложенным методом с указанием точности и надежности этого числа.
Шумовые карты города и агломераций, составленные с заданной точностью и надежностью, потребуют проведения невиданного до сих пор количества измерений уровней звука в пространстве и во времени и высочайшей скорости обработки результатов измерений. Пример: 2 км Невского проспекта в Петербурге с n = 10 и m = 24 потребуют в сутки измерений уровней звука nm = 240; если проводить эти измерения 10 раз в месяц, то в год количество измерений уровней звука только на Невском проспекте составит 40 × 10 × 12 = 28 800.
Впрочем, современная акустическая аппаратура, компьютерная техника, средства связи позволяют это сделать.
Заключение
Борьба с шумом в городе и агломерациях должна соответствовать в России требованиям ГОСТ Р 53187–2008 «Акустика. Шумовой мониторинг городских территорий» и требованиям строительных норм и правил СНиП 2303–2003 «Защита от шума», а также требованиям соответствующих международных стандартов. Законодательной базой для создания карт шума у нас может временно послужить подробно рассмотренная выше следующая Директива Европейского Союза 2002/49/EC «Об оценке шума в окружающей среде».
В настоящее время главной проблемой борьбы с шумом у нас и за рубежом продолжает оставаться неопределенная точность и надежность указанных в шумовых картах величин уровней звука [3, 4, 5, 6, 7, 8, 9]. С использованием метода дисперсионного анализа теории вероятностей и математической статистики [1, 2] авторами предложен метод, который поможет решить эту проблему [10].
Электронная база аппаратуры акустических измерений, компьютерная техника XXI в. и глобальные средства связи достигли сегодня уже такого уровня, что применение предлагаемого метода является вполне реальным делом. Работа в этом направлении будет продолжена, в частности, путем объединения усилий РФ и ЕС в рамках национальных исследовательских университетов, производителей акустической аппаратуры, компьютерной техники и средств связи, а также центров сертификации, социальных учреждений и властных структур.
Здесь именно тот случай, когда важное дело следует решительно продвигать квалифицированными специалистами сообща с помощью новейшей измерительной техники, мощных компьютеров и системы ГЛОНАСС (Глобальная навигационная спутниковая система) созданием в данном случае точных и надежных шумовых карт города.