Табл. 1. Возможное применение труб при устройстве ЦВО
Табл. 2. Сроки службы и предложения по периодичности ремонтов, доле ежегодных отчислений на ремонты и восстановление вновь построенных ЦВО
Каждый вид труб требует особого типа сборки. Например, медные трубы собираются на капиллярной пайке и/или на компрессионных соединениях. Утверждать, что следует использовать те или иные трубы в системах отопления повсеместно, опираясь только на хотя и очень важный, но один какой-то аргумент, будет не совсем правильно. Для того чтобы отдать предпочтение одному или нескольким трубным материалам, надо проанализировать целый ряд аргументов, которые должны касаться всех указанных материалов, в т.ч. и стали.
Сделать это возможно только в рамках вариантного обоснования применения труб [6] из какого-либо материала. Причем предварительно необходимо, используя, например, графово-аналитический метод, выбрать наиболее подходящий по целому ряду показателей [7] нагревательный прибор для будущего ЦВО. К сожалению, методики проведения таких обоснований для ЦВО сегодня нет.
Мы предлагаем один из подходов, который позволяет выбрать оптимальный вариант устройства ЦВО на основании технико-экономического анализа [8] особенностей применения нескольких видов труб как из металлов, так и из полимерных (металлополимерных) материалов для малоэтажных и высотных зданий, естественно, с учетом необходимости зонирования сетей. Согласно этой методике сравниваются экономические факторы, которые должны определяться заранее для каждого i-го варианта— Э1,Э2, ..,Э6.
В случаях, когда выбор какого-либо из вариантов ЦВО необходимо сделать по желанию заказчика, нужно проводить сравнение Эi с Э1.Экономический фактор Э1 служит оценкой базового варианта Эб. Базовый вариант предназначен для системы ЦВО, смонтированной из стальных труб. Такие системы эксплуатируются в течение длительного времени. Имеются и достаточный статистический материал, и соответствующие нормативы для того, чтобы получить адекватный показатель их техникоэкономического фактора.
Этого нельзя сказать, к сожалению, про другие пять вариантов. Для них многое придется принимать с определенной долей вероятности, а после накопления статистических данных нормировать. После сравнения экономических факторов предпочтение следует отдавать варианту устройства ЦВО, для которого Эi будет иметь минимальное значение. Технико-экономический фактор ЦВО:
Эi= ΣПо, (1)
где По — приведенные затраты на каждую i-ю ЦВО. Приведенные затраты [4] на ЦВО:
По = Псо + Пэо, (2)
где Псо — составляющие приведенных затрат на строительство ЦВО; Пэо— составляющие приведенных затрат на эксплуатацию ЦВО. Составляющая приведенных затрат на строительство ЦВО:
Псо= [(Цо + Сто)КомоКзсо + Смо + Но]КпноКсмо, (3)
где Цо — расходы на приобретение труб для устройства ЦВО в оптовых ценах; Сто — расходы на транспортировку труб для устройства ЦВО до места строительства; Комо— коэффициент, учитывающий отходы труб при монтаже ЦВО, при отсутствии точных данных можно принимать этот коэффициент ≈1,02; Кзсо — коэффициент, учитывающий заготовительно-складские расходы на трубы, используемые при монтаже ЦВО, при отсутствии точных данных можно принимать этот коэффициент ≈1,02; Смо — расходы на производство монтажных работ при устройстве ЦВО (подготовительные работы, сборка соединений, проведение гидравлических испытаний и др.);Но — накладные расходы строительных организаций на производство строительно-монтажных работ при устройстве ЦВО; Кпно — коэффициент, учитывающий плановые накопления строительных организаций при производстве строительно-монтажных работ при устройстве ЦВО, при отсутствии точных данных можно принимать этот коэффициент ≈1,06;Ксмо— коэффициент, учитывающий переход от сметной стоимости к полной стоимости устройства ЦВО, при отсутствии точных данных можно принимать этот коэффициент ≈1,15–1,3.
Расходы на транспортировку труб определяются согласно используемым схемам доставки их к месту проведения строительно-монтажных работ для устройства ЦВО по тарифам на перевозку грузов (автомобилем либо по железной дороге с учетом затрат на такелажные работы при погрузке-разгрузке, наценок на сбыт и т.п.).
Расходы на производство работ, Смо, на устройство ЦВО (подготовительные работы, сборку соединений, проведение испытаний и др.), отнесенные к расчетной единице длины, допускается определять по единым районным единичным расценкам (ЕРЕР) и укрупненным сметным нормам (УСН). Накладные расходы Но строительных организаций, производящих работы по устройству ЦВО, рассчитываются так:
Но = φ(Созо + Сэмо), (4)
где Созо — расходы на основную заработную плату рабочих, занятых на производстве работ при устройстве ЦВО; Сэмо — расходы на эксплуатацию механизмов и средств малой механизации, используемых в процессе монтажа ЦВО; φ— коэффициент (φ= 0,47). При отсутствии точных данных можно принимать накладные расходы в размере 0,16 от суммы прямых затрат на устройство ЦВО (основной зарплаты рабочих, затрат на эксплуатацию механизмов и средств малой механизации, стоимости труб и других материалов).
Составляющие приведенных затрат на эксплуатацию ЦВО, Пэо, должны учитывать комплекс приведенных к моменту ввода их в действительные расходы на текущие и капитальные ремонты, техническое обслуживание, восстановление изношенных при последующей эксплуатации элементов ЦВО. Расходы на эксплуатацию ЦВО:
Пэо = (Птро + Пкро + Пто + Пво)Кобщо + Пэло, (5)
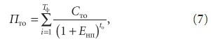
где Птро — расходы на текущие ремонты ЦВО; Пкро — расходы на капитальные ремонты ЦВО; Пто — расходы на техобслуживание ЦВО; Пво—расходы на реконструкцию ЦВО; Пэло —затраты на электроэнергию, расходуемую на преодоление потерь напора в ЦВО; Кобщо — коэффициент, учитывающий общие эксплуатационные затраты на устройство ЦВО (на содержание аварийных служб, административно-управленческого аппарата, технику безопасности и прочие расходы). Расходы на текущие ремонты ЦВО:

где Стро — среднегодовые расходы на текущий ремонт ЦВО; tо — год эксплуатации ЦВО; Тфо — расчетные сроки службы ЦВО (табл. 2); ЕНПО — нормативы приведения сравниваемых вариантов устройства разных ЦВО к одному моменту времени, при отсутствии нормируемых значений можно принимать значение 0,1. Расходы на текущее обслуживание ЦВО:

где Сто — среднегодовые затраты на техническое обслуживание ЦВО. Расходы на капитальные ремонты ЦВО:

где Скро — расходы на проведение i-го капитального ремонта ЦВО; Ткро — время от начала эксплуатации до i-го капитального ремонта ЦВО, определяемое сроком ее службы; niо — число капитальных ремонтов ЦВО за период ее функционирования. Расходы на восстановление ЦВО:

где Сво — расходы на прокладку новых ЦВО взамен отслуживших свой срок; Тэо — время от начала эксплуатации до j-й полной замены, определяемое сроком службы реконструированной ЦВО; njо — число полных замен ЦВО в течение расчетного периода. Среднегодовые затраты на текущий ремонт ЦВО:
Стро = ПсоРтро, (10)
где Псо— сметная стоимость ЦВО; Ртро— доля ежегодных отчислений, % сметной стоимости на текущие ремонты ЦВО (см. табл. 2).Среднегодовые затраты на техническое обслуживание ЦВО:
Сто = НчоФзпо, (11)
где Нчо— нормативная численность обслуживающего персонала на 1 км протяженности трубопроводов ЦВО; Фзпо — годовой фонд заработной платы с начислениями, приходящийся на одного рабочего, эксплуатирующего ЦВО. Среднегодовые затраты на капитальный ремонт ЦВО:
Скро = ПсоРкро, (12)
где Ркро — доля ежегодных отчислений, % от сметной стоимости ЦВО, на их капитальный ремонт (см. табл. 2). Среднегодовые затраты на восстановление ЦВО:
Сво = ПсоРво, (13)
где Рво - доли ежегодных отчислений на восстановление ЦВО, % от их сметной стоимости (см. табл. 2). Приведенные затраты на электроэнергию, расходуемую на преодоление потерь напора в ЦВО:
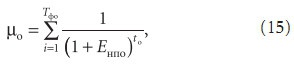
Пэло = Сэло(μо + μооСо), (14)
где Сэло — годовые затраты на электроэнергию для преодоления потерь напора в ЦВО; μо— коэффициент приведения к одному сроку разновременных затрат на ЦВО:

μоо — коэффициент приведения дополнительных затрат на электроэнергию в результате возрастания гидравлического сопротивления в ЦВО в процессе эксплуатации. При отсутствии нормируемых значений коэффициентов рекомендуется, например [4], принимать: для 5 лет эксплуатации — 23; для 10 — 56,6; 20 — 97,6; 30 — 125,7, для 50 лет — 154,6. Со — коэффициент, учитывающий увеличение гидравлических сопротивлений в ЦВО, вызванное явлениями коррозионного отложения или обрастания внутренних поверхностей трубопроводов. При отсутствии таких явлений коэффициенты принимаются равными 0. Годовые затраты на электроэнергию для преодоления потерь напора в ЦВО:

где G — расчетный расход теплоносителя, кг/ч, подаваемого по трубопроводам ЦВО; ρ— плотность теплоносителя, кг/м3; σ— сметная стоимость 1 кВт ֹч электроэнергии, руб., используемая для перекачки теплоносителя насосами; l — длина трубопроводов в ЦВО, м; h — потери напора, м/м, должны определяться путем гидравлического расчета ЦВО [9] с учетом местных сопротивлений в соединительных частях [10]; Ксо — коэффициенты, учитывающие сезонные перерывы в работе ЦВО; ηо — КПД насосов, обслуживающих ЦВО.
В заключение следует отметить, что, по нашему мнению, расчеты по изложенной методике позволят осуществить оптимальный выбор труб (из одного либо из нескольких материалов) для устройства центрального водяного отопления. Однако ее использование в полном объеме требует более точного знания некоторых параметров и коэффициентов, отражающих особенности применения медных, металлополимерных и полимерных труб в системах отопления.
Для этого целесообразно продолжить разработку нормативов, сбор и обобщение статистических данных по устройству и эксплуатации отопительных систем из различных труб и впоследствии подготовить обобщенные материалы в виде соответствующих рекомендаций или, что еще лучше, нормативов.