В современном мире стремительно развиваются компьютерные технологии, которые уже занимают весомую позицию в жизни каждого человека. С каждым годом приходится хранить и обрабатывать всё бóльшие объёмы данных. Скорость процессов играет важную роль при достижении результата. Происходит рост количества центров обработки данных (ЦОД), работающих без остановок.

Центр обработки данных (ЦОД) — специализированный объект, представляющий собой связанную систему ИТ-инфраструктуры, инженерной инфраструктуры, оборудование (серверное и сетевое), части которых размещены в здании или помещении, подключённом к внешним сетям, как инженерным, так и телекоммуникационным. Дата-центры исполняют функции обработки, хранения и распространения информации. ЦОД обеспечивает бесперебойный контроль работоспособности приложений и устройств посредством систем охлаждения, питания и безопасности, необходимых для достижения максимальной эффективности и надёжности функционирования.

Удаление сбросной теплоты центров обработки данных является одним из основных аспектов корректного проектирования объектов подобного типа. Процесс удаления теплоты необходим для поддержания оптимальной температуры внутри помещений ЦОД, а также для минимизации рисков выхода из строя оборудования.

Центры обработки данных включают системы охлаждения, состоящие из кондиционеров, вентиляторов, термостатов и т. д. Они удаляют избыточную теплоту, генерируемую оборудованием (серверы, маршрутизаторы и т. д.), а также ту теплоту, которое выделяют люди.

Существует несколько способов утилизации сбросной теплоты:

  • геотермальное охлаждение;
  • технологии «холодного хранения» — избыточная теплота идёт на обогрев здания или на обеспечение его горячим водоснабжением;
  • использование тепловых насосов.

Рассмотрим применение теплонасосных установок.

В принципиальных схемах утилизационных установок используют теплообменники-теплоутилизаторы, которые применяются для передачи теплоты между средами. Они извлекают теплоту, возникающую в процессе производства, и используют её. В основном такие теплообменники применяют для снижения потребления энергии производства и повышения его энергоэффективности.

Утилизация сбросной теплоты ЦОД — важный шаг в повышении энергетической эффективности и уменьшении воздействия на окружающую среду.

Способы утилизации теплоты вентиляционных выбросов и применение утилизируемой теплоты

Теплоту можно сбрасывать и в окружающую среду, но этот подход имеет низкую энергетическую эффективность, поскольку её можно использовать различными способами, которые принесут значительную пользу, и важный энергетический ресурс не будет утерян. Необходимо учитывать, что проектируемые в настоящее время ЦОД имеют значительные размеры и вмещают крупные машины, выделяющие теплоту.

Оценка энергоэффективности действующих ЦОД и анализ потенциала улавливания отработанной теплоты были проведены в Финляндии [1–3]. Установлено, что 97% потребляемой электроэнергии можно использовать в качестве отработанной теплоты. Следовательно, теплота, удаляемая из ЦОД мощностью 1 МВт, работающего на половине номинальной нагрузки, способна покрыть потребность в теплоте для 30 тыс. м² нежилых зданий ежегодно. Анализ повторного использования сбросной теплоты ЦОД для отопления спа-салонов и коттеджей северной части Финляндии показал, что отработанная теплота практически полностью покрывает потребность в тепловой мощности на площади 60 тыс. м².

Сравнение двух вариантов охлаждения ЦОД в здании Futura в Ювяскюля (центральная часть Финляндии) показало, что использование сочетания автономного охлаждения с тепловыми насосами приводит к экономии € 280 тыс. в течение 20 лет по сравнению с использованием установок естественного охлаждения и холодильных машин.


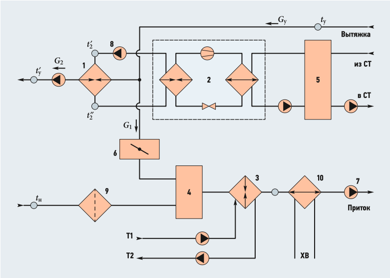
Рис. 1. Схема утилизации теплоты вытяжного воздуха при помощи теплонасосной установки (1 — теплообменник-утилизатор; 2 — тепловой насос типа «антифриз — вода»; 3 — калорифер подогрева наружного воздуха; 4 — камера смешения; — бак-аккумулятор; 6 — воздушная регулирующая заслонка; 7 — приточный вентилятор; 8 — циркуляционный насос; 9 — воздушный фильтр; 10 — воздухоохладитель)

Выделяют несколько способов утилизации теплоты вентиляционных выбросов:

  • использование теплонасосных установок (рис. 1);
  • применение теплообменников (рис. 2);
  • использование конденсационных отопительных котлов;
  • передача теплоты вытяжного воздуха к приточному с применением схемы с промежуточным контуром и теплообменником с выпадением влаги.


Рис. 2. Схема утилизации теплоты вытяжного воздуха при помощи теплообменника-утилизатора (1 — теплообменник-утилизатор; 2 — калорифер подогрева наружного воздуха)

В тепловых насосах наружный воздух подогревает промежуточный теплоноситель — антифриз. При использовании теплового насоса необходимо учитывать длительность периода, за который рассчитывается экономия. Он ограничен температурой наружного воздуха +8°C, то есть длительностью отопительного периода. Его можно расширить на весь год, учитывая то обстоятельство, что в летнее время тепловой насос будет работать в режиме охлаждения воздуха [2].

Применять утилизируемую теплоту можно различными способами. Зачастую теплота используется для обогрева помещений и подогрева воды. Это помогает уменьшить затраты на отопление и повысить энергетическую эффективность зданий.

Оборудование утилизационных установок

Утилизационные установки ЦОД содержат оборудование, которое помогает эффективно использовать тепловую энергию, выделяющуюся при работе серверов, устройств, ЭВМ и других элементов дата-центров [4].

Одним из основных компонентов являются теплообменники. В них воздух из серверных помещений используют для передачи теплоты другим теплоносителям (зачастую воде) и её дальнейшего использования. В состав утилизационных установок могут входить:

  • охладители;
  • тепловые насосы;
  • экономайзеры;
  • приточные и вытяжные вентиляторы.

Комплектация утилизационных установок ЦОД зависит от условий эксплуатации и требований к энергоэффективности здания.

Из существующих методов отвода теплоты от оборудования центров обработки данных можно выделить:

  • жидкостное охлаждение;
  • использование теплообменных аппаратов;
  • охлаждение наружным воздухом (фрикулинг) [5].

Фрикулинг — метод охлаждения воздуха в помещении с помощью наружного воздуха без применения холодильных установок, компрессоров и другого энергоёмкого оборудования.

Этот метод является менее энергозатратным, а также более эффективным и экологичным по сравнению с системами охлаждения, которые используют сжатый хладагент. При помощи вентиляторов и фильтров холодный наружный воздух забирается и направляется внутрь ЦОД, затем он используется для охлаждения оборудования серверов. Метод может сочетаться с традиционными системами охлаждения. При низких температурах целесообразно использовать фрикулинг, а в периоды, при которых температура воздуха окружающей среды становится чрезмерно высокой, переходить на традиционные системы охлаждения.

У фрикулинга имеются ограничения, связанные с климатическими условиями. Для ЦОД, где вырабатывается большое количество теплоты, только этой системы охлаждения может оказаться недостаточно для поддержания низкой температуры в помещении.

Критерии энергетической эффективности утилизации теплоты вторичных энергоресурсов.

Энергоэффективность утилизации теплоты вторичных энергоресурсов ЦОД можно определить, основываясь на факторах:

  • КПД теплогенерирующих установок;
  • окружающая среда;
  • экономическая выгода;
  • безопасность работы;
  • надёжность;
  • совместимость.

Уменьшение потребления энергии и снижение затрат на эксплуатацию можно получить, эффективно используя при утилизации теплоты вторичные энергоресурсы.

Принцип работы теплового насоса

Тепловой насос — устройство для переноса тепловой энергии от теплоисточника с низкой температурой к теплоприемнику с высокой температурой; перенос осуществляется с затратой энергии. Рабочие процессы подобны процессам в холодильных машинах.

Принципиальная схема теплового насоса представлена на рис. 3, его цикл в T-S-диаграмме — на рис. 4.


Рис. 3. Принципиальная схема теплового насоса (1 — конденсатор; 2 — дроссель; 3 — испаритель; 4 — компрессор)

Точка 1 — состояние сухого насыщенного пара, который образуется после полного испарения жидкого хладагента в испарителе. После этого происходит сжатие хладагента в компрессоре с резким повышением давления, представленным на диаграмме процессом 1–2. Перегретый пар (точка 2) подаётся в конденсатор, где он охлаждается до сухого насыщенного состояния, а затем полностью конденсируется (точка 3), отдавая тепловую энергию. Затем хладагент в жидком состоянии проходит через дросселирующее устройство, где его давление и температура понижаются (процесс 3–4). Процесс 3–4 является изоэнтальпийным, так как он проходит практически адиабатно. В процессе 4–1 происходит кипение хладагента в испарителе, он получает теплоту низкопотенциального источника [6].


Рис. 4. Термодинамический цикл теплового насоса в T-S-диаграмме (1–2 — сжатие в компрессоре; 2–3 — отвод теплоты к потребителю; 3–4 — расширение в дросселе; 4–1 — подвод теплоты от низкопотенциального источника)

Тепловая энергия для цикла отбирается из окружающей среды, для работы компрессора по перемещению хладагента необходима электрическая энергия. Следовательно, необходимости расходовать энергию на подогрев или охлаждение нет.

Тепловые насосы имеют высокую энергоэффективность, так как энергия, полученная из окружающей среды, используется для передачи теплоты, а не для её производства.

Источники низкотемпературной теплоты и типы тепловых насосов

Источники низкотемпературной теплоты — источники с низкой температурой, которые могут использоваться для работы тепловых насосов.

В качестве низкопотенциальных (низкотемпературных) источников теплоты могут выступать [6]:

1. Вторичные энергетические ресурсы:

  • вентиляционные выбросы;
  • «серые» канализационные стоки;
  • технологические процессы.

2. Нетрадиционные возобновляемые источники энергии:

  • окружающий воздух;
  • грунтовые и геотермальные воды;
  • водоёмы и природные водные потоки;
  • солнечная энергия.
  • поверхностные и более глубокие слои грунта.

Типы тепловых насосов

Первый критерий, по которому можно разделить тепловые насосы — циклы и схемы работы:

1. Компрессионные:

  • газокомпрессионные (ГТН);
  • парокомпрессионные (ПТН);

2. Сорбционные:

  • абсорбционные (АБТН);
  • адсорбционные (АДТН).

По принципу взаимодействия рабочих тел тепловые насосы бывают [6]:

  • открытого цикла;
  • закрытого цикла.

По режиму температур тепловые насосы подразделяются на:

  • низкотемпературные (могут работать при температуре ниже +50°C);
  • среднетемпературные (от +50 до +80°C);
  • высокотемпературные (выше +80°C).

Выбор типа насоса по температуре зависит от требуемой температуры в здании, вида системы отопления и других факторов.

По виду теплоносителя в контурах [6]:

  • «грунт — вода»;
  • «грунт — воздух»;
  • «вода — вода»;
  • «вода — воздух»
  • «воздух — вода»;
  • «воздух — воздух»;
  • «лёд — вода».

Производительность также относится к критериям, по которым можно классифицировать тепловые насосы на виды:

  • бытовые (малые, 5–20 кВт);
  • промышленные (средние, 20–600 кВт);
  • большие (от 1 МВт и выше).

Разработка принципиальной схемы утилизации теплоты

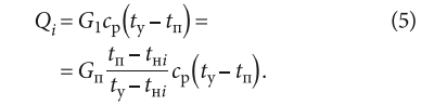
Рассмотрим систему, представленную на рис. 1. Вытяжной воздух является источником низкопотенциальной теплоты для теплового насоса типа «антифриз — вода».

Чтобы утилизировать сбросную теплоту ЦОД, необходимо использование теплообменного аппарата, который встраивается в вытяжной воздуховод системы вентиляции дата-центра. Теплота от вытяжного воздуха с помощью промежуточного теплоносителя (антифриза) передаётся испарителю теплового насоса.

Работу системы вентиляции ЦОД можно разделить на три режима. Режим №1 имеет место при наружной температуре tн < +18°C. Приточный воздух, подаваемый на охлаждение, необходимо подогревать. Подогрев происходит за счёт смешения наружного и части удаляемого воздуха в камере смешения. В режиме работы №2, при +18°C < tн < +27°C, удаляемый воздух полностью направляется в теплообменник-теплоутилизатор. Режим №3 наступает при tн > +27°C. В этом режиме необходимо охлаждение приточного воздуха, который удаляется и подаётся в теплообменник-теплоутилизатор.

В первом режиме теплота разделяется на две части: первая обеспечивает нужды ЦОД, а вторая идёт внешнему потребителю. В других режимах весь расход удаляемого воздуха Gy направляется на охлаждение в теплообменнике-утилизаторе.

Конструктивный расчёт теплообменника-теплоутилизатора

Исходные данные:

  • горячий теплоноситель — воздух: t1′ = +27°C, t1″ = +20°C, G1 = 166 тыс. м³/ч;
  • холодный теплоноситель — вода: t2′ = +10°C, t2″ = +13°C;
  • относительная влажность воздуха на входе в теплообменник ϕ′ = 70%.

Результаты расчёта водяного воздухоохладителя с влаговыпадением приведены в табл. 1.

Расчёт потребления энергоресурсов утилизационной установкой

Для того, чтобы рассчитать годовое количество теплоты, воспользуемся графиком числа часов средней температуры наружного воздуха (табл. 2).

Расход приточного воздуха определяется по формуле:

где ∆Q — тепловая мощность, поступающая в помещение от оборудования ЦОД (на уровне 50% от электрической мощности ЦОД), ∆Q = 500 кВт.

Уравнение теплового баланса для камеры смешения:

G1cpty + Gнcptн = Gпcptп. (2)

Уравнения материального баланса по воздуху:

G1 + Gн = Gп; (3)

Gy = Gп.

Из уравнений (2) и (3) следует:

G1cpty + Gпcptн — G1cptн = Gпcptп.

Расход удаляемого воздуха через камеру смешения:

Тепловая мощность, передаваемая наружному воздуху в процессе смешения при текущей температуре наружного воздуха tнi:

Максимальный расход воздуха в системе утилизации теплоты:

Расход воздуха через теплообменник-утилизатор:

Рассчитаем экономию тепловой энергии за год (табл. 3) при применении рециркуляции вытяжного воздуха за период времени с температурой наружного воздуха ниже +18°C:

Оценим мощность, передаваемую внешнему потребителю посредством теплообменника-утилизатора и теплового насоса (табл. 4).

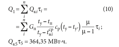
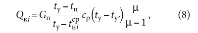
Тепловая мощность [ кВт], передаваемая в теплообменнике-утилизаторе при температуре наружного воздуха tcpнi [°C] промежуточному теплоносителю и испарителю теплового насоса:

Тепловая мощность [ кВт], передаваемая с горячей водой внешнему потребителю в режиме вентиляции №1 [2]:

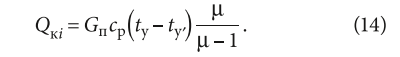
где μ — коэффициент трансформации энергии теплового насоса при температуре промежуточного теплоносителя на входе в испаритель, μ = 3,5.

Потребление электрической энергии (мощность) [ кВт] тепловым насосом [2]:

Количество тепла, передаваемого внешнему потребителю [ кВт·ч] за период времени с температурой наружного воздуха ниже +18°C (индекс «1″ означает режим вентиляции №1):

Количество электрической энергии, потребляемое тепловым насосом за рассматриваемый период времени (табл. 5):

Для режима вентиляции №2 полагаем, что расход воздуха остаётся постоянным и равным 55,23 кг/с (табл. 6).

Из расхода приточного воздуха (1) найдём ty при tп = tcpнi:

Тепловая мощность, передаваемая внешнему потребителю в режиме вентиляции №2 при условии tcpнi = tп:

Количество теплоты, передаваемой внешнему потребителю [ кВт·ч], за рассматриваемый период времени:

Количество электрической энергии, потребляемое тепловым насосом за рассматриваемый период времени:

Расчёт экономии топлива на источнике при реализации утилизации сбросной теплоты

Для расчёта экономии топлива в условных единицах примем средние расходы условного топлива по стране:

bQ = 0,1486 т.у.т/Гкал;

bэ = 0,3445 кг у.т/ кВт·ч.

Экономия тепловой энергии за год при применении рециркуляции вытяжного воздуха за период времени с температурой наружного воздуха ниже +18°C:

∆Bp = ∆QрbQ = 242,9 т.у.т.

Экономия теплоты и затраты электрической энергии, потребляемой тепловым насосом при температуре наружного воздуха ниже +18°C:

∆Bк = ∆QкbQ = 212,1 т.у.т.;

∆BТН = ∆PТНbэ = 163,4 т.у.т.

Экономия теплоты и затраты электроэнергии в режиме работы вентиляции №2:

∆Bк = ∆QкbQ = 177,2 т.у.т.;

∆BТН = ∆PТНbэ = 136,59 т.у.т.

Суммарная экономия топлива на источнике при реализации утилизации сбросной теплоты: Σ∆Bк = 632,1 т.у.т. Суммарная затрата энергии в условном топливе на источнике при реализации утилизации сбросной теплоты составит:

Σ∆BТН = 299,9 т.у.т.

Выводы

1. Рассмотрены процессы утилизации сбросной теплоты центров обработки данных с целью определения оптимальных способов её использования с повышенной энергетической эффективностью.

Проанализированы перспективные методы утилизации вентиляционных выбросов: применение тепловых насосов и теплообменников-утилизаторов. Рассмотрены принципы отвода теплоты от оборудования центров обработки данных: жидкостное охлаждение, теплообменники и фрикулинг, а также оборудование утилизационных установок и критерии их энергетической эффективности.

2. Описано устройство и принципы организации рабочего процесса в тепловых насосах. Представлена принципиальная схема и их работа в виде T-S-диаграммы. Обсуждаются виды низкопотенциальных источников теплоты и типы теплонасосных установок.

3. Разработана принципиальная схема утилизационных установок с применением тепловых насосов. Выполнен расчёт теплообменника-утилизатора для заданных параметров теплоносителей.

4. Проведена оценка потребляемых утилизационной установкой энергетических ресурсов. Определена экономия топлива при реализации предложенного метода утилизации сбросной теплоты, составившая 632 тонн условного топлива. Затраты энергии при утилизации сбросной теплоты составляют 300 т.у.т.