Стремление потребителя защитить систему теплоснабжения от размораживания при аварийных отключениях электроэнергии, или в периодически действующей системе часто реализуется в ее переводе с воды на «незамерзающий теплоноситель». Наиболее часто используется довольно широкий спектр водногликолевых теплоносителей (ВГТ) с комплексными присадками, обеспечивающими стабильность свойств, низкую коррозионную активность, безнакипный режим работы системы. Однако, перевод автономных систем теплоснабжения на ВГТ зачастую вызывает нарушения режима работы системы отопления, выражающиеся в снижении теплоотдачи, гидравлической разрегулировке и попадании воздуха в систему, а также сбои в работе теплогенератора, сопровождающиеся снижением теплопроизводительности или даже разрушением поверхностей нагрева из-за образования внутренних отложений. В научной и технической литературе неоднократно рассматривалось влияние на гидравлический режим работы системы теплоснабжения более высокой по сравнению с водой вязкости, термического объемного расширения, плотности ВГТ, а также меньшей теплоемкости и других факторов. Наиболее полно сравнение расходов теплоносителя, потерь давления в системе и особенностей выбора объема расширительного сосуда в системе отопления рассмотрено для ВГТ Dixis марок 30 и 65 в работе [1]. Вместе с тем, в ранее опубликованных работах и в указанной статье авторами сделан не вполне корректный количественный вывод о необходимости увеличения расчетных напоров циркуляционных насосов в системе отопления при использовании ВГТ Dixis-30 на 54%, а для Dixis-65 на 72%, так как выводы по росту гидравлического сопротивления в системе основаны на соответствующем росте сопротивления трения по длине гидравлически гладких труб. Суммарные же гидравлические потери в системе складываются из потерь на трение ∆Ртр и в местных сопротивлениях ∆Рмс, которые в большинстве случаев для насосных систем являются превалирующей составляющей гидравлических потерь

В уравнении значение коэффициента местного гидравлического сопротивления (ξ j) [2] также как и коэффициент сопротивления трения зависит от числа Рейнольдса (Re):
ξ= 0,184 Re-0,2 ,
т. е. для условий течения теплоносителя с соответствующим увеличением расхода и скорости (w) в 1,08 раза [1] (из-за уменьшения теплоемкости ВГТ), рост потерь давления в местных сопротивлениях при переходе с воды на ВГТ (с температурой начала кристаллизации -30°С) составит:

Таким образом, учет роста потерь давления в местных сопротивлениях увеличивает гидравлические потери в системе теплоснабжения для ВГТ (-30) на 48%. Однако, целью настоящей публикации является необходимость обратить внимание потребителя не столько на особенности работы ВГТ в системе отопления (где последствия использования ВГТ не столь существенны), сколько на последствия применения ВГТ в теплогенераторе этой системы. Основное отличие заключается в том, что при теплопередаче в отопительных приборах и трубопроводах системы отопления наибольшее термическое сопротивление имеет место на внешней поверхности теплообмена (c воздухом):

где F — поверхность теплообмена, м2 ; ∆t — разность температур теплоноосителя и воздуха, K; k — коэффициент теплопередачи Вт/м2 K; δ,λ — толщина разделяющей стенки (м) и ее коэффициент теплопроводности (Вт/м2 К), для металлических отопительных приборов и труб δi/λi имеет малые значения; αвн — коэффициент теплоотдачи на внутренней поверхности, со стороны теплоносителя (для воды величина ~ 400–600 Вт/м К); αн — обобщенный коэффициент теплоотдачи усредненный по всей внешней поверхности элемента системы отопления, со стороны воздуха (величина ~ 20 Вт/м К). Так как внутренний коэффициент теплоотдачи αвн на порядок больше соответствующего значения αн, то даже существенное ухудшение теплообмена на внутренней поверхности (снижение aвн в два и более раз) не окажет решающего влияния на процесс теплопередачи через элемент системы отопления (не более чем на 1–2%). Совершенно иначе обстоит дело в поверхностях нагрева теплогенераторов систем отопления, где отдельные участки поверхностей нагрева в топке имеют весьма значительные удельные тепловые напряжения (qF Вт/м2), как со стороны дымовых газов (часто развитые оребренные поверхности), так и приведенные к внутренней гладкой поверхности охлаждаемой теплоносителем. Например, для настенного котла Saunier Duval SD-235 полная геометрическая поверхность оребренного проточного теплообменника составляет F = 4.9 м2, при этом внутренняя поверхность труб теплообменника Fтр = 0.12 м2. Работа котла в номинальном режиме Q =35 кВт характеризуется средним удельным тепловым напряжением полной поверхности нагрева:
qF = Q/F = 7111 Вт/м2,
а аналогичная величина в расчете на гладкую поверхность охлаждаемой трубки теплообменника:
q FTP = Q/Fтр = 290000 Вт/м2.
Столь значительные тепловые потоки для трубок теплообменника приводят к существенным перепадам температур по толщине стенки и между стенкой и потоком теплоносителя, в значительной степени зависящим от условий охлаждения. Чем эффективнее охлаждение, т.е. чем больше значение коэффициента теплоотдачи от стенки к теплоносителю, тем ниже температура металла стенки при идентичной тепловой нагрузке. Поэтому при осуществлении перевода теплогенератора на ВГТ необходимо прежде всего предварительно оценить изменение условий теплообмена на внутренней стороне тепловоспринимающей поверхности котла. Для сравнительной оценки используется уравнение подобия [2] для турбулентного течения (Re > 10000 ) жидкости в гладких трубах:
Nu = 0,021 Re0,8 Pr0,4 (Pr/Prст)0,25,
в котором за определяющий размер принят эквивалентный диаметр (dэ), а за определяющую температуру — средняя температура жидкости.

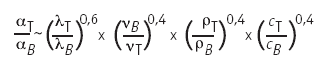
Для идентичных условий течения теплоносителей (одинаковый объемный расход, а следовательно и скорость движения теплоносителя) в аналогичных поверхностях нагрева котлов можно получить относительные значения искомых величин:

Последняя зависимость получена с допущением что изменение теплофизических свойств теплоносителей в рассматриваемом диапазоне температур примерно идентично и не оказывает существенного влияния (оценивается не более чем 3–5%) на конечный результат. Для проведения количественной оценки в расчетах для воды и ВГТ (c температурой начала кристаллизации - 30°С) использовались следующие значения физических величин при температуре 80°С. Соотношение коэффициентов конвективной теплоотдачи для ВГТ (αт ) и воды (αв ) при принятых значениях составляет:
αт / αв = 0,454
Таким образом использование ВГТ (-30) вместо воды при идентичных условиях приводит к снижению коэффициента конвективной теплоотдачи более чем в два раза, что обуславливает рост температуры металла стенки и теплоносителя в пограничном, пристенном, слое потока ВГТ. Используя то же уравнение подобия можно определить необходимое увеличение скорости движения теплоносителя ВГТ (-30) для достижения идентичных с водой условий конвективного теплообмена:

Полученное значение показывает что для достижения одинаковых условий теплоотдачи на поверхности скорость потока ВГТ (-30) должна почти в 2,5 раза превосходить скорость движения воды. Столь существенный рост скорости движения теплоносителя вызывает увеличение гидравлического сопротивления системы (участка):
∆P ~ f (ώ2) ~ (2,4)2 ~ 5,8 раз.
С учетом выводов сформулированных в работе [1] полученное значение по отношению к гидравлическому сопротивлению системы при использовании воды должно быть увеличено для более вязкой жидкости ВГТ (-30) еще в ~ 1,5 раза. Таким образом, при замене в системе теплоснабжения и теплогенераторе воды на водногликолевый теплоноситель (в данном примере ВГТ с температурой начала кристаллизации -30°С) для сохранения условий теплообмена в источнике теплоты расход теплоносителя через него должен быть увеличен в ~2,5 раза, что потребует питательный насос с напором в ~ 8,7 раза превышающем напор развиваемый аналогичным насосом при использовании воды.
Полученный результат указывает на то, что для теплогенераторов с высоконапряженными топками невозможна простая замена воды на ВГТ, это в первую очередь относится к проточным конструкциям котлов (термоблоков). Ухудшение условий теплообмена на поверхностях нагрева котла приводит к повышению температуры металла и локальным перегревам теплоносителя, сопровождающимся термической деструкцией ВГТ и отложением продуктов деструкции на внутренней поверхности теплообменника усугубляющим этот процесс.
В тоже время необходимо учитывать и режимные особенности работы котлов, так для проточных (малоинерционных) котлов, включая настенные, характерны режимы позиционного регулирования/включено — выключено/с максимальными нагрузками, сопровождаемые режимами пуска — останова циркуляции теплоносителя при которых имеют место кратковременные перегревы стенок теплообменника. Это еще более остро ставит задачу исключения перегрева теплоносителя, поэтому в проточных котлах (в том числе одно- и двухконтурных термоблоках) практически однозначно необходимо исключить использование ВГТ.
Особое внимание к условиям работы теплогенератора на ВГТ нужно уделять чугунным котлам, очень чувствительным к перегреву металла и воздействиям термической деформации секционной конструкции. Для них наиболее «жесткими» оказываются режимы запуска системы из относительно холодного состояния при низких температурах теплоносителя, сопровождающиеся повышенной вязкостью ВГТ, что не позволяет до прогрева системы обеспечить требуемый для надежного охлаждения поверхностей нагрева котла расход теплоносителя.
Поэтому запуск чугунных котлов при использовании ВГТ необходимо производить на минимальной мощности с постепенным выходом на режим.
Благодарим компанию «Селект» за предоставленный материал.