Рис. 1. Графическое представление в поле i–d-диаграммы о процессе охлаждения-осушения воздуха и соответствующих расходах холода в СКВ
Рис. 2. Примерный график почасового изменения расчетной холодильной нагрузки и ее составляющих в административных зданиях и в зрелищном объекте при расчетных летних условиях и расчетной заполняемости помещений
Рис. 3. Удельные теплоизбытки в характерных административных и общественных помещениях и зданиях (Вт/м2), рекомендуемые типы СКВ по данным FLAUKT
Рис. 4. График обобщенных сочетаний удельных теплоизбытков
Рис. 5. Алгоритм компьютерного расчета холодильной нагрузки здания по программе ALVO (а) и пример расчета потребления теплоты и холода центральными СКВ здания (б)
Рис. 6. Номограмма для определения плотности вероятности d 2 p/dtHdn _ л холодильной нагрузки СКВ Арены СКК в зависимости от плотности повторяемости температуры наружного воздуха dp/dtH (для Санкт-Петербурга) и заполняемости зала dp/dn _ л, принимаемой по опытным данным
Рис. 7. Графическое представление о годовых теплоизбытках объекта и годовых режимах потребления холода разными СКВ
Рис. 8. Холодильные и тепловые нагрузки здания в Японии в долях от расчетной часовой
Рис. 9. Сравнение затрат на системы ОВК по месяцам года
Рис. 10. Суточный график работы переключаемой на офисы и гостиницу одной центральной водовоздушной СКВ здания
Табл. 1. Основные сравнительные характеристики холодильных компрессоров разных типов
При всей правильности такой формулы остается неясным, какими слагаемыми он определяется, как эти слагаемые меняются в суточном и годовом разрезе и какими мерами их можно уменьшить. Ни расход воздуха, ни его начальная и конечная энтальпии не относятся к исходным данным* по А.А. Рымкевичу [3], а суть — промежуточные величины, определяемые после некоторых предварительных расчетов и построений в i–d-диаграмме.
Поэтому правильно определенная холодильная нагрузка, а тем более анализ ее изменения, возможны только на основе ниже приводимых зависимостей. Мгновенный расход холода–нетто СКВ при текущих нагрузках одного или нескольких помещений, обслуживаемых данной системой (Qном.явн, Gвл), параметрах воздуха в помещении (tB, iB), наружного воздуха (GH, tH, iH), расходе приточного воздуха Gпр и его нагреве ∆tпр в вентиляторе, двигателе и воздуховодах, объясняет формула (1) и соответствующее построение процесса охлаждения-осушения в i–d-диаграмме (рис. 1).
Термин «мгновенный» здесь введен сознательно, чтобы напомнить о постоянном изменении основных составляющих тепловой и влажностной нагрузки обслуживаемых СКВ помещений, температуры и энтальпии наружного воздуха (пунктир), расходов приточного и наружного воздуха. В общем случае расход холода–нетто определяется пятью составляющими:
QXнетто(t)= Qном.явн(t)+ Gвл(t)iпар + GH(t)[iH(t)– iB]+ Gпр(t)cB∆tпр + ∆QXдоп.
Пример 1. Определить расчетную холодильную нагрузку СКВ в период 15–16 часов дня в расчетных летних условиях для Санкт-Петербурга и доли отдельных составляющих.
Исходные данные: iНРТ = 51,5 кДж/кг; iB =46 кДж/кг (при tB = 23°С, φB = 50%), kL = 1; Qном.явн = 50 кВт; Gвл = 0,003 кг/с; Gпр = 5 кг/с; GHmin = 2 кг/с, ∆tпр= 1,5°С. Дополнительный расход холода, возникающий, если процесс охлаждения-осушения заканчивается при меньших tK и dK, чем требуется, не учитывать. Вычисления расчетного расхода холода–нетто проводим по формуле (1), т.е. через вышеперечисленные исходные данные: QXнетто = 50 + 0,003 •2500 + 2•(51,5 – 46)+ 6•1•1,5 = 77,5 кВт.
В данном случае, а условия могут изменяться (уменьшится iH, Qном и т.п.), в расчетной холодильной нагрузке на ассимиляцию явной теплоты приходится 65%, скрытой теплоты — 10%, снижения энтальпии наружного воздуха — 14%, на ассимиляцию теплоты при нагреве приточного воздуха ~11%. Таким образом, любая (текущая или расчетная) холодопроизводительность может быть определена по исходным данным без построения процессов в i–dдиаграмме.
При такой методике особенно удобно не столько вычисление QX, сколько анализ его изменения в течение суток, теплого периода и всего года. В вечерние и ночные часы энтальпия iH изменяется (уменьшается) и поэтому расход холода не остается постоянным (рис. 2), даже не принимая в расчет изменения других составляющих.
Укрупненный расчет холодильной нагрузки по удельным тепловыделениям помещений
Обратим внимание на то, что в расчетной и текущей холодильной нагрузке преобладает явное и скрытое тепло, выделяющееся в помещении и поступающее извне. Другая составляющая в условиях нежаркого климата мала в силу близких значений температур и энтальпий наружного и внутреннего воздуха, а значит, малы разности этих величин. Теплота, вносимая в приточный воздух при его нагреве в вентиляторе, двигателе и воздуховодах, определяется несложно.
В этих условиях на стадии предпроектных разработок, а может и на следующих стадиях,удобно пользоваться удельными теплоизбытками (кВтм2) помещений разного назначения. Для их определения предлагаются данные фирмы FLA .. KT (рис. 3) и собственные разработки автора (рис. 4). На основе этих данных удельные теплоизбытки умножают на площадь пола соответствующего помещения, а для учета других слагаемых вычисленную величину достаточно увеличить на 20–30%. Однако не во всех расчетах учитывают максимальное значение холодильной нагрузки (см.пример 3).
Расчет холодильной нагрузки по компьютерной программе
В силу многочисленных величин, определяющих расчет по формуле (1), наряду с «ручным» расчетом холодильной нагрузки в СКВ известны варианты применения компьютерных программ [2]. Расчет позволил определить: почасовые расходы энергии элементами СКВ, продолжительность работы СКВ в отдельных оптимальных режимах и комплексы климатических параметров, при которых установочные мощности СКВ и холодильной машины недостаточны. Основной частью программы ALVO (рис. 5, а) являлась детальная модель наружного климата в виде трехмерного распределения:
TH(t)– tH(t – ε)– φH(t),
образуемого для каждого часа t суток данного месяца по статическим характеристикам температуры и относительной влажности наружного воздуха: средним m(tH), m( φH), среднеквадратическим отклонениям σtH, σ φH и коэффициентом корреляции rtHφH. Пример расчета потребления теплоты и холода центральными СКВ здания показан на рис. 5, б. Очевидно, что в такой программе можно учесть наибольшее число параметров, что при ручном расчете сделать нельзя. В инженерной практике учитывают не только расчетную часовую холодильную нагрузку СКВ, но и другие ее значения: почасовые значения в летние расчетные сутки; значения в теплый период и в течение года (для некоторых СКВ, например водовоздушных).
Снижение расчетной холодопроизводительности на основе вероятностных методов
Потребность в холоде воздушных СКВ отличается коротким периодом при tH > tпр = 13–16°C для Севера и центра России, большой неравномерностью, что зависит, с одной стороны, от климатических условий (энтальпий и температур) и режима работы объекта и типа СКВ, а с другой, — от колебаний составляющих тепловой и влажностной нагрузок. Поэтому нужно очень тщательно подходить к выбору расчетной холодопроизводительности, стараясь ее всячески снизить системно-аналитическими и вероятностными методами.
Ошибки, приводящие к завышенной против реально необходимой холодопроизводительности, первоначально возникают в применяемом методе скажем так «автоматического» суммирования всех составляющих теплопритоков. Суммируют обычно все максимумы без разбора, не принимая во внимание физический или стохастический характер изменения (распределения) складываемых величин.
Кроме того выделяющуюся теплоту не разделяют на поступающую в воздух (конвективную) и поступающую на поверхность и в массу конструкций и оборудования (лучистую, кондуктивную). Основные составляющие тепло- и влаговыделений, зависящие от числа людей, солнечной радиации, работы технологического оборудования, освещения и др., меняются на больших отрезках времени неупорядоченно, иначе говоря, стохастически.
А поэтому к этим величинам применимы вероятностные оценки [4, 5]. Во всяком случае, сомнительна или маловероятна ситуация, когда на Арене СКК при расчетных летних наружных условиях соберется 100% зрителей (!). Если в этом случае складывают максимумы, то возникает неоправданный запас расчетной холодопроизводительности. Суммирование в этом случае на основе вероятностных методов поясняет номограмма рис. 6.
Она построена для условий, когда для независимых или слабокоррелирующих событий (погода и репертуар) вероятность суммы двух слагаемых определяется как произведение вероятностей. Например, если в каком-то пункте вероятность высоких температур в течение года мала (при tH = 25–30°С P1 = 0,01), а вероятность заполняемости 90–100% Арены P2 = 0,07 (7% случаев), то общая вероятность такого сочетания как независимых событий:
P|tH = 25-30 °C = P1P2 = 0,7 • 10-3
т.е. в среднем один случай из тысячи. Можно поставить и обратную задачу, т.е. по заданной обеспеченности выработки холода и поддержания температуры определить расчетную заполняемость зала и расчетную наружную температуру. Если система (СКВ, СХС) обслуживает не одно, а несколько помещений, в которых максимумы теплоизбытков могут не совпадать во времени, то это тоже приведет к уменьшению расчетной холодопроизводительности.
Рассматривая отдельные помещения как составляющие холодильной нагрузки центральной СКВ, независимые друг от друга и равновеликие, можно найти расчетную обеспеченность каждой из них по общей обеспеченности pобщ = 0,9–0,95 и числу помещений n:

Наконец расчетную холодопроизводительность можно заметно уменьшить, применяя баки-аккумуляторы холодной воды или льдоаккумуляторы (последние представляют емкости с ледяной водой и погружными испарителями). Чем меньше время работы объекта и СКВ в течение расчетных суток, тем сильнее может быть снижена расчетная холодопроизводительность против первоначально вычисленной.
Так, при односменной работе и постоянных теплоизбытках она составит около ⅓ от начальной. Неслучайно поэтому раздел 9 «Холодоснабжение» СНиП 41-01–2003 рекомендует применение баков-аккумуляторов (п. 9.6). Публикации в литературе не всегда подробно и, более того, часто исключительно скупо описывают процедуру расчета холодильной нагрузки крупных объектов.
Например, о центральной СХС СКВ помещений такого крупнейшего объекта, как Храм Христа Спасителя [1], мы можем прочитать немного, буквально следующее: «…для обеспечения круглогодичного режима работы СКВ расчетная потребность в холоде составила: Верхний Храм (до 16 тыс. чел.) — 2060 кВт, Нижний Храм— 977 кВт, Соборный зал— 861 кВт, Трапезная — 675 кВт, всего — 4573 кВт, с учетом потерь — 5030 кВт, а с учетом 80% одновременности — 4024 кВт».
При таком кратком описании нельзя узнать об учтенных составляющих теплоизбытков, в т.ч. по нижней зоне, выбранном расчетном расходе наружного воздуха с учетом продуктов горения свечей, графика загрузки помещений, особенности нестационарных режимов и многих других факторов, учитываемых при определении расчетной холодильной нагрузки такого сложного объекта.
Годовые режимы потребления холода разными СКВ
При выборе разных систем кондиционирования (водовоздушных, воздушных VAV- и CAV-систем) учитывают в основном капитальные затраты, интересующие инвестора. Возникающие при этом режимы потребления теплоты и холода, а также соответствующие энергетические затраты учитывают упрощенно или вовсе не учитывают. Проанализируем годовые режимы потребления холода разными центральными СКВ, для анализа используем ось температуры наружного воздуха (рис. 7).
Если СКВ предназначена для поддержания двух технологически заданных параметров состояния (tB, φB), а в системе применено изоэнтальпийное увлажнение, то граница режима охлаждения–осушения (iK) требует построений относительно энтальпии iH. Тепловую нагрузку обслуживаемых СКВ помещений линеаризуем относительно tH и упростим. Внутренние составляющие будем полагать относительно постоянными, наружные — приближенно линейно-зависящими от tH.
Пусть расчетная температура tB = 23,5°C, а соответствующая tпр = 17°С. В объекте GHmin, например по саннорме, существенно меньше чем Gпр по условию ассимиляции теплоизбытков. Рассмотрим, как в этих условиях разные типы СКВ потребляют холод на ассимиляцию тепловлагоизбытков и снижение энтальпии наружного воздуха. Центральная водовоздушная система снимает теплоизбытки наружным обработанным до tпр = 17°С воздухом и холодной водой, подаваемой в местные кондиционеры-доводчики (фанкойлы).
Холодную воду при круглогодичных теплоизбытках нужно подавать круглогодично, однако для этого не требуется круглогодичная работа холодильных машин, возможны и другие решения (см. рис. 7), по крайней мере используя охлаждение воды наружным воздухом (dry-cooled). Артезианская вода есть далеко не везде, ее расход и температура должны быть достаточными для СХС СКВ.
Холод водопроводной воды в принципе можно использовать по закрытой схеме (через теплообменник «вода-вода»), но здесь наиболее сложным является несовпадение времени водоразбора и расхода воды на хозяйственно-бытовые нужды (максимум утром и вечером) со временем работы СКВ и требуемым расходом холодной воды. Можно использовать ледяную воду, запасая природный специально сохраненный лед при большом удельном съеме холода: qX = 335 + + 4,19tWK.
Холод, не компенсируемый природными источниками, обеспечивают холодильные машины. В центральных СКВ постоянного расхода (CAV-системах) холод потребляется при tH ≥ tпр = 17°С, т.e. малую часть года. Но потребление холода в этот период постоянно, что объясняет принцип работы такой системы: при уменьшении теплоизбытков применяют дополнительный подогрев (второй, пофасадный, местный), так что в сумме ΣQизб.ном + QT(II) = const, а расход холода не изменяется.
Поэтому на рис. 5 линия потребления холода CAV-системой параллельна оси tH при tH ≥ tпр= 17°С. В остальное, причем большее в условиях России время года, холод не нужен, потому что для обеспечения tпр = 17°С используют переменное смешение наружного и рециркуляционного воздуха. Иначе тем самым используют термодинамический потенциал наружного воздуха. При каждой наружной температуре, например tH = 5°С и известных tпр= 17°С и tB = 23°С можно найти процент (долю) необходимого наружного воздуха в смеси:

и автоматически выставить клапаны наружного и рециркуляционного воздуха в положения, соответствующие требуемым расходам воздуха, что и делает соответствующий регулятор. В центральной СКВ переменного расхода (VAV-система) холод потребляется при tH ≥ tпр= 17°С, причем потребление холода в отличие от CAV-системы меняется пропорционально тепловой нагрузке, т.е. уменьшается линейно (линия QX для VAV-системы) в силу изменения температуры и энтальпии наружного воздуха (слагаемое GH(iH – iB) изменяется и меняет знак на «минус» в соотношении (1).
Таким образом, из трех сравниваемых VAV-система потребляет наименьшее количество холода и только при tH > tпр, т.е. самый короткий период потребления. Более детально нужно сравнивать почленно каждое из слагаемых соотношения (1). Среди них могут быть одинаковые (Qном, Gвл), но остальные могут отличаться, например, из-за различия GH = Gпр (водовоздушная СКВ) и GH < Gпр (VAV-система).
Здание как объект одновременного круглогодичного потребления теплоты и холода
Возможность более полного использования холодильных машин одновременно для охлаждения и нагрева разных помещений здания вытекает из анализа графиков (рис. 8–9) одновременной потребности в теплоте и холоде по литературным источникам. Как и следовало ожидать, потребность в нагреве больше в зимние месяцы, а в охлаждении — в летние.
Если холодильная нагрузка превышает отопительную примерно в два раза, то летом должны работать две холодильные машины, а зимой— одна; возможна и другая комбинация, когда в пиковых условиях работают три холодильные машины, летом в среднем две, а отопительную нагрузку зимой покрывает одна машина. При учете горячего водоснабжения, например в гостинице потребность в теплоте может быть весьма значительной и в холодное, и в теплое время года.
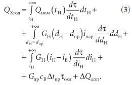
Суммарный годовой расход холода каждой из систем аналитически может быть записан как сумма нескольких интегралов с учетом вышеописанных особенностей работы и потребления холода (всего: природного и искусственного) данной системой:

В этом выражении последнее слагаемое есть годовой расход теплоты на второй, пофасадный или местный подогревы в CAV-системах за режим, соответствующий периоду года при tH > tпр. При вычислении интегралов используют сглаженные функции [6, 7, 8]: композиционного распределения плотности температуры dt/dtH и энтальпии dt/diH наружного воздуха и логарифмически-нормального распределения влагосодержания. Можно использовать метод суммирования, если данные о повторяемости эмпирические и не слажены.
Экспертная оценка водоохлаждающих машин с разными компрессорами
При выборе типа холодильных машин учитывают расчетную холодопроизводительность, стоимостные, виброакустические, надежностные, конструктивные и другие характеристики (см. табл. 1). Поясним методику выбора холодильной нагрузки разных кондиционируемых объектов примерами.
Пример 2. Выбрать принципиальные решения СКВ и СХС четырехэтажного многофункционального здания площадью каждого этажа 80•15 = 1200 м2 типа «бизнес-центр–гостиница», где административно-офисные помещения занимают первый и второй этажи, а гостиница — третий и четвертый. Здание имеет подвал и технический этаж. Полезно используемая площадь основных кондиционируемых помещений составляет 70% от площади этажа.
Время работы СКВ офисов — с 9 до 18 ч, основное время работы СКВ гостиницы — с 18 ч до 9 ч. СКВ предусмотреть переключаемую на бизнес-центр или гостиницу (в последней с учетом нахождения людей) и сравнить с двумя «раздельными» СКВ. При оценке холодильной нагрузки примем удельные тепловыделения (рис. 4) в офисах q = 0,1 кВт/м2, при этом для площади на двух этажах 0,7•2•1200 м2 расчетные теплоизбытки составят Qизб =170 кВт. При плотности работающих в офисах 8 м2/чел число сотрудников 210 человек, число посетителей принимаем 50 человек.
Расчетный расход наружного воздуха в этом случае составит LH = 60•210+20•50 = 13 600 м3/ч, расчетный расход приточного воздуха при рабочей разности температур ∆tp = tух – tпр = 7°С составит
Lпр = 170/(1•1,2•7)= 20м3/с = 72 000 м3/ч.
Отношение расчетных расходов наружного и приточного воздуха в СКВ офисов составляет
LH/Lпр = 13 600/72 000 = 0,19.
При таком отношении расходов отдаем предпочтение водовоздушной СКВ. Расчетный расход холода с учетом скрытой теплоты, выделяемой людьми
Qскр = iПnлgвл = 2500 •260 •0,1/3600 = 18 кВт,
нагрева приточного (наружного) воздуха в вентиляторе, двигателе и воздуховодах
∆Qпр = (LНcBρB∆tпр)/3600 = 13 6001•1,2•1,5/3600 = 7 кВт,
потерь холода и других составляющих нагрузки принимаем QXрасч = 210 кВт. В двухэтажной гостиничной части здания примем удельные расчетные тепловыделения усредненно по фасадам q = 0,06 кВт/м2, плотность числа людей в жилых помещениях 10 м2/чел. При таких условиях расчетные теплоизбытки кондиционируемых жилых помещений гостиницы составят
Qизб = qΣFпл = 0,06•0,7•2•1200 = 100 кВт,
а расчетный расход наружного воздуха
LH = LHсанΣFпл/10 = 60•0,7•2 •1200/10 = 10 000 м3/ч.
Для ассимиляции расчетных теплоизбытков всех одновременно занятых номеров при рабочей разности температур ∆tp = tух – tпр = 7°С расчетный расход приточного воздуха составит
Lпр = 100/(1•1,2•7)= 12 м3/с = 43 000 м3/ч.
Отношение расчетных расхода наружного и приточного воздуха составит LH/Lпр =10 000/43 000 = 0,23. При таком отношении расходов отдаем предпочтение водовоздушной СКВ. Расчетный расход холода принимаем QXрасч = 130 кВт. Обобщим результаты определения расчетных воздухо- и холодопроизводительности (рис. 10) для административной и офисной части здания при использовании водовоздушной СКВ.
Если проектировать две независимые СКВ с самостоятельными холодильными машинами, то их суммарная производительность составит по наружному воздуху ΣLH = 24 000 м3/ч, а по холоду ΣQXрасч = 340 кВт. Заметим при этом, что суммируемые величины одного порядка, т.е. соизмеримы. Для основного варианта переключаемой центральной водовоздушной СКВ в режиме «офисы» требуется LH =14 000 м3/ч, QXрасч = 210 кВт, т.е. воздухо- и холодопроизводительность может быть снижена на 35–40%, что сулит существенное сокращение капитальных затрат на основное холодильное и вентиляционное оборудование. Здесь надо учитывать и определенный отрицательный момент — уменьшение возможности аккумуляции холода, а значит снижения расчетной холодопроизводительности холодильных машин.
Использование ХМ типа «вода-вода» позволяет одновременно с холодом получать теплоту для отопления помещений при подаче в местные подоконные вентиляторные доводчики (фанкойлы) и нагрева подаваемого в помещения наружного воздуха. Эти две составляющие тепловой нагрузки здания (кроме теплоты на горячее водоснабжение) линейно зависят от температуры наружного воздуха и возрастают с понижением последней.
Оценим расчетную потребность в теплоте на отопление и вентиляцию здания при его объеме Vзд =20 000 м3, удельной отопительной характеристике qo = 0,1 Вт/(м3•°С), расчетных внутренней и наружной температурах tB = 20°С и tнрх = –26°С, расчетном расходе наружного воздуха LH = 14 000 м3/ч = 4,7 кг/с: ΣQТрасч = (qoVзд + LНcBρB)(tB – tнрх)= (0,1•20000•10–3+4,7•1)•[20 – (–26)]= 310 кВт. Чтобы снизить в этот короткий период расчетный расход теплоты на вентиляцию сократим саннорму наружного воздуха до 20 м3/ч•чел, тогда ΣQТрасч= 175 кВт.
Требуемое количество теплоты и холода можно круглогодично получать, предусмотрев например водоохлаждающую машину CARRIER 30RW210 с водоохлаждаемым конденсатором, позволяющим получать воду при tWH =45–50°С. В системах холодоснабжения с заметной суточной неравномерностью теплопритоков и при использовании баков-аккумуляторов холода (не путать с баками промежуточной емкости!) холодильную нагрузку объекта следует определять не для расчетного часа суток, когда она наибольшая, а для всех суток.
Поясним методику такого расчета примером для жилого здания с центральной системой холодоснабжения поквартирных охладителей-доводчиков.
Пример 3. Жилое восьмиэтажное здание суммарной площадью жилых помещений 6500 м2 имеет следующее остекление жилых помещений на этаже: 15 м2на южном фасаде, 40 м2на западном, 70 м2на восточном, 93 м2— второй свет на последнем этаже, теплопритоки на северном фасаде не учитываем. Объект находится в Санкт-Петербурге.
Требуется проверить при вычисленной холодильной нагрузке (вариант 1) достаточность расчетной холодопроизводительности при схеме холодоснабжения с баком-аккумулятором холода и его объем в условиях ограниченных площадей подвала для размещения водоохлаждающей машины, бака-аккумулятора, акустических ограничений при установке dry-cooler на кровле, где находятся жилые помещения (второй свет), ограниченных капитальных затратах и располагаемых электрических мощностях.
Результаты такого расчета сравнить со следующими вариантами систем холодоснабжения СКВ этого здания без ограничений: вариант 2 — водоохлаждающая машина на среднесуточную нагрузку и бак-аккумулятор холода; вариант 3 — водоохлаждающая машина на пиковую часовую нагрузку и бак — промежуточная емкость. В центральных СХС кондиционируемых объектов с аккумуляцией холода расчет ведем не по максимальной часовой величине (кВт), а по суточной сумме (кВт ˙ч/сут) за расчетные летние сутки и с учетом продолжительности облучения фасадов не более 12 ч.
На основе климатологических данных суммарные радиационные теплопоступления (падающая радиация) на широте 60° составляют для восточного и западного фасадов — 5 кВт/(м2 ˙сут), для южного фасада — то же 5 кВт/(м2 ˙сут), на горизонтальную поверхность — 7,7 кВт/(м2 ˙сут). Коэффициент пропускания радиационного тепла стеклопакетом принят 0,9, коэффициент пропускания светлых портьер, штор и жалюзи принят в среднем 0,40.
Суммарная эквивалентная по радиационным теплопритокам площадь остекления жилых помещений здания, включая верхний свет равна: Расчетные суточные теплопоступления в жилые помещения здания (кВт ˙ч/расч.сут) с учетом радиационных теплопритоков и внутренних теплоизбытков при 100% подключении квартир к централизованной системе холодоснабжения здания составляют:
ΣQизб.зд = ΣQизб.рад + ΣQизб.вн= kпропkзаштΣqсутΣFост.зд + ψрабqуд.срΣFпл.зд = 0,9 •0,4 •5,0 •1150 + 0,02•0,5•6500 = 2750 кВт•ч/сут.
где ψраб= 0,5 — относительное время работы систем охлаждения каждой квартиры при условии нахождения жильцов и по времени облучения остекления каждого из фасадов не более 12 ч/сут; qуд.ср = 0,02 кВт/м2 — средняя величина удельных внутренних теплопоступлений в жилые помещения от людей, искусственного освещения, бытовой и оргтехники.
По условиям размещения в подвале, располагаемым площадям и высотам, ограниченным электрическим мощностям в варианте 1 принимаем к установке водоохлаждающую машину CARRIER 30RW110 с водоохлаждаемым конденсатором и установленным на кровле dry-cooler. При пиковых температурных режимах в Санкт-Петербурге: tHср.сут = 25°С (на кровле вблизи dry-cooler), tWH = 35°С (перед конденсатором), tWH= 5°С (после испарителя) холодопроизводительность испарителя QX = 101 кВт, в этом случае за летние расчетные случаи при непрерывной работе ХМ выработает: ΣQ Хвыраб = 2424 кВт ˙ч/сут, из которых на охлаждение воздуха (снижение температуры) пойдет ~80%, остальное— на осушение воздуха, потери холода в трубопроводах и др.
В результате количество холода за сутки на охлаждение воздуха в квартирах 0,8•2424 = 1920 кВт ˙ч/сут. Размеры бака-аккумулятора по условиям размещения в подвале приняты 4•4•1,5(h) м. При перепаде температур в системе холодоснабжения кондиционеров в квартирах 5/15°С количество холода, аккумулируемое в баке, составит ∆QХбак-акк = VбcWρW∆tW/3,6 = 24 •4,19 •1•10/3,6 = 270 кВт•ч, что соответствует ~3 ч работы холодильной машины на полностью разряженный бак, предпочтительно по ночному (льготному) тарифу зарядки.
В условиях ограниченной холодильной мощности, ограниченных капитальных затрат на систему холодоснабжения и ограниченных электрических мощностей оценим величину расчетного коэффициента спроса** на систему охлаждения жилых помещений здания, как произведение коэффициентов подключения квартир и включения охладителей в квартирах при наличии жильцов: Ψспр = ψподкл /ψвкл = 1920/2750 = 0,70. Например, при ψподкл= 0,8 (80% всей нагрузки) ψвкл= 0,7/0,8 = 0,88.
Фактическим показателем холодильной нагрузки,превышающей расчетную, является повышение температуры воды, возвращаемой от потребителей, расчетной величины 15°С. В реальных условиях коэффициент включения охладителей в квартирах в весенне-летний период может колебаться и быть невысоким с учетом работы людей, командировок, отпусков, посещения дачных участков и других факторов.
В варианте 2 при выборе водоохлаждаюшей машины и бака-аккумулятора холода без каких-либо ограничений, суточном расходе холода 3300 кВт•ч и расчетной холодопроизводительности 3300/24 = 137 кВт потребуется установить холодильную машину большего типоразмера CARRIER 30RW150 большей dry-cooler и бак-аккумулятор на 5-часовой запас холода объемом 60 м3.
Как видно, такой вариант центральной СХС здания значительно дороже, требует больших площадей и большей электрической мощности. В варианте 3 в расчетный час 7–8 ч утра при падающей радиации на восточный, самый остекленный фасад здания 0,67 кВт/м2 и в это же время плотности потока радиации на горизонтальную поверхность 0,48 кВт/м2 при включении кондиционеров во всех квартирах восточного фасада расчетная часовая холодильная нагрузка составляет 275 кВт, что требует установки водоохлаждающей машины наибольшего типоразмера CARRIER 30RW300, наибольшего типоразмера dry-cooler, наибольшей подсоединяемой электрической мощности, наибольших диаметров трубопроводов и т.д.
Сравнивая результаты расчетов по трем вариантам, делаем вывод о наименьших затратах при использовании варианта 1, однако при этом частично ограниченном числе квартир, присоединяемых к центральной СХС здания. В дальнейших статьях будут приведены и другие примеры выбора системы холодоснабжения зданий разного назначения на основе холодильных нагрузок.
* К исходным данным для проектирования СКВ и СВ относят: параметры внутреннего воздуха, параметры наружного воздуха, тепловлажностную нагрузку помещения или их группы, минимальный расход наружного воздуха. Этих данных вполне достаточно, чтобы определять и анализировать холодильную нагрузку СКВ, начальная энтальпия наружного воздуха относится к исходным данным, если этот воздух наружный. ** Аналогично известному в промышленности коэффициенту спроса на электроэнергию при работе станочного парка, как произведение коэффициента загрузки двигателя на коэффициент одновременности работы группы станков.