Рис. 1. Схема циркуляционного охлаждения конденсационной установки
Рис. 2. Зависимость нагрузки ЭБ и расхода охлаждающей воды
Рис. 3. Потери мощности ЭБ при постоянном расходе охлаждающей воды
Табл. 1
Табл. 2
Табл. 3
Циркуляционный электронасос (ЦЭН) 3 предназначен для подачи охлаждающей воды в конденсатор 2 ЭБ, рис. 1. В этой схеме электропривод насоса осуществляется непосредственно от сети. При этом согласно технологическим требованиям регулирование его расхода должно осуществляться поворотом лопастей. Такое регулирование необходимо для обеспечения экономически оправданного давления pк в конденсаторе, которое оказывает существенное влияние на технико-экономические показатели ЭБ и в первую очередь на КПД ЭБ и его энергоотдачу.
Давление пара в конденсаторе pк всегда следует снижать до минимально возможного значения, которое определяется температурой воды, охлаждающей конденсатор, которая, в свою очередь, зависит от условий окружающей среды и источника водоснабжения. С учетом этих обстоятельств давление пара в конденсаторе принимается 2,5–5 кПа, что соответствует температуре конденсации пара 21–33 °С [1]. Другим экономическим показателем являются затраты на оплату за водопользование и электроэнергию, потребляемую ЦЭН.
В [2] приводятся результаты расчета оптимального расхода охлаждающей воды с учетом затрат на водопользование и электроэнергию, потребляемую ЦЭН типа ОПВ-110 с номинальным расходом 10 м3/с. Расчеты выполнены из условия обеспечения оптимального давления pк и максимальной энергоотдачи ЭБ мощностью 300 МВт для различных значений температуры охлаждающей воды.
Расчеты представлены графически на рис. 2. График дает наглядное представление о зависимости расхода охлаждающей воды от нагрузки ЭБ при условии оптимального давления pк, обеспечивающего наибольший термический КПД. В этой же работе представлены расчеты потерь мощности ЭБ, имеющие место в том случае, если расход воды не регулировать в функции минимума давления в конденсаторе или максимума энергоотдачи ЭБ, а пропускать через конденсатор охлаждающую воду с постоянным расходом 10 м3/с.
На рис. 3 представлены результаты этих расчетов в виде графика. На нем, для температуры воды 20 °С, очевидна тенденция снижения потерь до нуля по мере приближения нагрузки к 300 МВт. При этом оптимальный расход для данной температуры (рис. 2) как раз приближается к значению 10 м3/с. Максимальная величина потерь, как видно из рисунка, при температуре воды 5 °С может достигать 2,4 МВт, что составляет 0,8 % от полной мощности ЭБ, перерасход воды 25 % и электроэнергии свыше 1 МВт⋅ч в год.
Таким образом, имея эти приближенные оценки, можно утверждать, что применение регулирования расхода охлаждающей воды в функции давления в конденсаторе, с учетом ее температуры может в процессе эксплуатации ЭБ сократить потери от:
- снижения энергоотдачи по причине низкого КПД;
- перерасхода охлаждающей воды;
- перерасхода электроэнергии на работу электропривода ЦЭН.
В альтернативной схеме электропривод ЦЭН осуществляется от преобразователя частоты ВПЧА, который обеспечивает изменение частоты вращения, а, следовательно, и расход ЦЭН согласно алгоритму или определенной зависимости оптимальной работы ЭБ. Критерием оптимальной работы может служить максимум термического КПД цикла ЭБ или минимум давления pк для данной температуры охлаждающей воды. Перейдем к уточненным оценкам.
Исходные данные, допущения и ограничения
В целях ограничений неопределенностей при экономических оценках примем следующие условия:
- Временной период для оценки экономии ресурсов примем 1 год.
- Основным переменным показателем, фигурирующим в двух последних факторах экономии ресурсов является расход q ЦЭН.
- График расходов (табл. 1) для базового варианта, согласно техническому решению, принятому на ТЭЦ, имеет трехступенчатый характер в зависимости от внешних температур воздуха (при условии равенства температуры воды и воздуха при их положительных значениях) и обеспечивается дросселированием путем контроля токовых нагрузок ЦЭН.
- График расходов по альтернативному варианту определим из условия работы автоматизированного частотного электропривода ЦЭН по алгоритму обеспечения оптимального давления pк и максимальной энергоотдачи ЭБ мощностью 300 МВт.
Температуру охлаждающей воды для расчетов определим как среднее значение, выбранное по распределению частот появления температур в одном из трех интервалов табл. 1, исходя из максимальной частоты, то есть < 12 °С. Чтобы определить численные значения графика расходов, воспользуемся зависимостью расхода охлаждающей воды через конденсатор от нагрузки ЭБ 300 МВт qNЭБ, рис. 3, которая определена из условий оптимального регулирования расхода.
Из трех зависимостей выбираем кривую наиболее близкую по величине температуры к принятому интервалу < 12 °С, то есть 15 °С. Зависимость между этими двумя величинами для интервала NЭБ ≥ 260 МВт с достаточной точностью (достоверность аппроксимации R2 = 0,99) может быть выражена (рис. 2) аналитическим выражением, учитывающим температуру воды < 12 °С: q = 0,01NЭБ + 5,8.
Нагрузка ЭБ NЭБtимеет случайный характер, тогда и расход должен быть обеспечен насосом в таком же случайном режиме: q = 0,01NЭБt+ 5,8. Поэтому, если принять график нагрузок случайной стационарной функцией с нормальным законом распределения электрических нагрузок в течение года, а максимальную и минимальную нагрузки соответственно 300 и 200 МВт, то матожидание и среднеквадратическое отклонение будут соответственно равны 250 и 16,7 МВт. При этом аналогичные характеристики расхода составят 8,3 и 0,17 м3/с.
Таким образом, получен график расходов для альтернативной схемы — табл. 2.
Математические выражения и результаты расчета
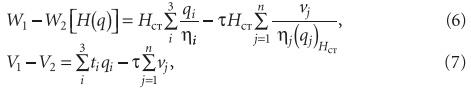
Экономию ресурсов определим как разность расхода охлаждающей воды и расхода электроэнергии на работу электропривода ЦЭН для двух вариантов — базового и альтернативного. В рассматриваемой технологической схеме (рис. 1) в базовом ее варианте электронасос работает в постоянном режиме в течение каждого из трех периодов времени (табл. 1), поэтому его затраты электроэнергии определятся в виде суммы:

где ti — длительность i-го периода; i — номер периода времени; i — КПД ЦЭН для данного расхода qi; Нi — давление для данного расхода qi. В альтернативном варианте, с учетом случайного характера расхода qtи закона регулирования давления Hq= Hст = 15 м водн. ст., энергопотребление регулируемого электронасоса определяется согласно известному выражению [3]:

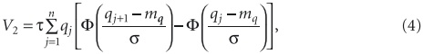
где — интервал времени равный году, за который определяется энергопотребление; j — индекс итерации под знаком суммы; — интегральная функция нормального распределения (значения приводятся в таблицах для нормированной случайной величины, выраженной в кратностях среднеквадратического отклонения); qj+1 – qj = q — шаг итерации; n — число шагов в интервале [0; Qmax]; Hст — давление стабилизации на входе конденсатора; jqjHст — зависимость КПД электронасоса от значений случайной величины qj при законе регулирования Нст. Объем воды для базового варианта определяется по формуле:

Объем воды для альтернативного варианта определяется по формуле:

Получим выражения экономии ресурсов в виде разностей (6) и (7) с учетом (1), (2), (3) и (4), введя обозначение «v» для произведения расхода на вероятность его появления:

где vj — вероятный расход:

Расчеты согласно (6) и (7) сведем в табл. 3, в которой размерности для Н [м водн. ст.] и q [м3/ч] и 367,2 — коэффициент, учитывающий физические свойства воды. Основные данные для расчета представлены в табл. 1 и 2. Значения КПД в выражении (1) для данных расходов находим в справочнике [4], а в выражении (2) — по вышеприведенной методике. С учетом сэ — тарифа стоимости электроэнергии 0,38 руб/ (кВт⋅ч) и св — тарифа платы за водопользование 0,09 руб/м3 можно рассчитать денежные выражения полученной экономии ресурсов: электроэнергии 1,02 млн руб. и за водопользование 6,12 млн руб. В результате получена экономия ресурсов за счет применения частотно-регулируемого электропривода ЦЭН, составившая в денежном выражении сумму более 7 млн руб.
При этом не был произведен расчет снижения потерь в самом ЭБ, что равносильно выработке дополнительной электроэнергии и получению прибыли. При грубой оценке этих потерь в размере 0,3 МВт, дополнительная выработка электроэнергии в год составит более 2600 МВт⋅ч, или 988 тыс. руб.