Рис. 1. Схема фильтра в эксперименте
Рис. 2. Схема фильтра для разделения суспензии
Железо — один из самых распространенных элементов в природе. Его содержание в земной коре составляет около 4,7 % по массе, поэтому железо, с точки зрения его распространенности в природе, принято называть макроэлементом. В природной воде железо содержится в виде соединений, в которых оно может быть двухвалентным или трехвалентным.
В свою очередь, соединения железа могут образовывать истинные или коллоидные растворы. На воздухе железо двухвалентное быстро окисляется до железа трехвалентного, растворы которого имеют бурую окраску. Таким образом, поскольку соединения железа в воде могут существовать в различных формах, точные результаты могут быть получены только при определении суммарного железа во всех его формах, т.н. «общего железа», хотя иногда возникает необходимость определить железо в его индивидуальных формах.
СанПиН 2.1.4.1175–02 на питьевую воду устанавливает норму 0,3 мг/л для железа, а колебания для подземных вод Подмосковья — от 0,5 до 20 мг/л. В Московской области вода, использующаяся для нецентрализованного водоснабжения (артезианские скважины, колодцы), содержит железо в количествах, значительно превышающих норму. Настоящий бич загородных систем водоочистки — железо в коллоидной форме: нерастворимые частицы малого размера с высоким поверхностным зарядом, в результате чего они отталкиваются друг от друга.
Это препятствует их укрупнению и оседанию, из-за этого коллоидное железо находится в воде во взвешенном состоянии. Такая суспензия моментально забивает всю каталитическую загрузку, в результате последняя плохо отмывается, и ее приходится часто перезасыпать. Конечно, это невыгодно экономически. Поэтому такое железо удаляют из воды преимущественно методом механической очистки.
Очень важно подобрать фильтр так, чтобы, с одной стороны, содержащееся в воде железо задерживалось достаточно эффективно, и вода после фильтра поступала на гранулированный материал уже в достаточной мере избавленной от коллоидов, с другой — не требовать слишком частой промывки. Производители фильтров механической очистки обычно указывают на своих изделиях диаметр пор и скорость фильтрации, но необходимо помнить, что эти данные верны лишь в начальный момент, когда сетка еще чистая.
По мере накопления осадка производительность начинает определяться не параметрами фильтра, а высотой слоя осадка коллоидного железа. Поэтому для каждой конкретной модели и воды определенного качества необходимо определить, какова допустимая высота этого слоя, т.е. в какой момент фильтр забьется настолько, что перестанет пропускать воду.В данной работе автор провел теоретические расчеты, которые затем подтвердил практическими исследованиями.
Для опытов автором был выбран фильтр на трековых мембранах в силу ряда причин [1]:1. Трековая же мембрана — это тонкая (0,012/0,023 мм) лавсановая (полиэтилентерефталат, РЕТ) пленка с порами диаметром 0,2/0,3 мкм (0,0002/0,0003 мм) с плотностью пор по всему полю пленки до 400 млн отверстий на 1 см2. Она в достаточной степени соответствует размеру коллоидных частиц (приблизительно 1 мкм), которые необходимо задержать.
В то же время отверстия не являются слишком узкими, что отрицательно сказалось бы на производительности в начальный период фильтрации и нарушило чистоту эксперимента.2. Геометрия пор в мембране, полученной травлением треков, представляет собой ансамбль параллельных цилиндрических отверстий одинакового размера. Из-за этого она идеально подходит для лабораторных экспериментов. Мембраны, изготовленные другими способами (спекание, экструзия или выщелачевание), этим качеством не обладают.
Для очистки была выбрана аналитическая трековая мембрана производства ЗАО «Реатрек» (г. Обнинск). Выбранный фильтр представляет собой корпус из пластмассы размерами 200 × 68 × 5 мм, со штуцером для выхода отфильтрованной воды (рис. 1). Таким образом, площадь поверхности фильтра составляет:S = 2 × 200 × 68 × 10–6 = 0,0272 м2.На боковых сторонах корпуса находится трековая мембрана, через которую и происходит фильтрация воды.
Диаметр пор в трековой мембране равен 0,4 × 10–6 м. Частота нахождения пор на мембране — 10 %. Поэтому поверхность фильтрования составляет:F = 0,1S = 0,1 × 0,0272 = 0,00272 м2.Так как состав исследуемой воды является суспензией, а способ микрофильтрации по своим характеристикам наиболее приближен (из всех мембранных процессов) к процессу простой фильтрации, целесообразно применять для расчета методику фильтрования суспензий с образованием осадка.
Схема процесса фильтрования представлена на рис. 2. При фильтровании суспензия разделяется с помощью пористой перегородки на жидкую фазу в виде фильтрата и твердую фазу в виде осадка. Движущей силой процесса фильтрования является разность давлений по обе стороны фильтрующей среды, которая состоит из фильтрующей перегородки и слоя образующегося на ней осадка. Процесс фильтрования описывается основным уравнением фильтрования [2]:

где V — объем фильтрата; F — поверхность фильтрования; τ — продолжительность фильтрования. Основной характеристикой процесса является скорость фильтрования — объем фильтрата, получаемый за единицу времени с единицы поверхности фильтра. Скорость фильтрования прямо пропорциональна разности давлений Δp, обратно пропорциональна вязкости фильтрата m и сопротивлению фильтрующей среды, т.е. сумме сопротивлений слоя осадка Ro и фильтрующей системы Rc.
В большинстве случаев Ro существенно больше Rc. Толщина осадка ho, а, следовательно, и его сопротивление в процессе фильтрования увеличивается, в т.ч. и за счет его сжатия под действием Δp и закупорки каналов частицами. Сопротивление перегородки также изменяется вследствие забивки ее пор и сжатия.
На величину сопротивления осадка и перегородки кроме гидродинамических факторов, т.е. размеров и формы пор перегородки, формы, размеров и удельной поверхности частиц осадка, оказывают влияние и физико-химические факторы: степень коагуляции частиц осадка, наличие на них сольватной оболочки, содержание в суспензии смолистых и коллоидных примесей, набухание материала перегородки, изменение поверхностного натяжения жидкости в порах осадка и перегородки, образование у стенок пор неподвижного слоя жидкости, электростатические поля, возникающие на границе раздела фаз при наличии ионов в суспензии.
Влияние этих факторов увеличивается с уменьшением размеров частиц осадка и пор перегородки. Будем считать, что осадок и перегородка несжимаемы, т.е. их пористость и удельное сопротивление потоку жидкости постоянны в течение всего процесса. Не будем также учитывать возможное увеличение Ro и Rc за счет влияния физикохимических факторов.
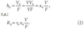
Тогда Rc будет постоянной величиной, а Ro можно записать в виде Ro = roho, где ro — удельное объемное сопротивление осадка (сопротивление потоку фильтрата равномерного слоя осадка толщиной 1 м). Обозначив отношение объема осадка Vo к объему фильтрата через xo, запишем:

Тогда основное уравнение фильтрования с образованием несжимаемого осадка на несжимаемой перегородке:

Это уравнение используется для расчета производительности фильтра заданной поверхности или наоборот — необходимой поверхности по заданной производительности. Значения величин ro и Rc определяются экспериментально. Методику расчетов этих констант фильтрования будет подробно изложена в одном из следующих номеров нашего журнала. На практике используются два основных режима фильтрования — постоянного перепада давления и постоянной скорости фильтрования.
В данном случае имеет место режим постоянного перепада давления, обеспечивающийся постоянным перепадом высот (Δp = r g Δh). После разделения переменных и интегрирования от 0 до V и от 0 до τ основное уравнение фильтрования выглядит так:

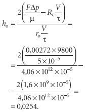
В полученном уравнении V/τ — это предельная скорость, при которой фильтрование можно считать невыгодным. В качестве такой минимальной скорости принимаем капельный режим:V/τ = 10 мл/с = 10–5 м3/с.Теперь подставим в уравнение (5) исходные данные, отсюда максимально допустимая расчетная высота осадка равна 0,0254 м (ровно 1ʺ) при F = 0,00272 м2, Δp = 9800 Па, m = 5 × 10–5 Па⋅с, Rc = = 1,6 × 109 м–1, ro = 4,06 × 1012 м–1:

Экспериментальный показатель предельного слоя осадка, полученный в ходе опытов, при котором фильтрация фактически прекращается, соответствует расчетной величине ho с учетом погрешности и составляет 2,5 см. Итак, мы получили очень важную характеристику фильтра, а именно: при какой высоте осадка вода перестанет проходить через мембрану, и потребуется обратная промывка.
На практике, однако, не следует доводить фильтр до такого состояния, т.к. это сказывается и на скорости фильтрации, и значительно усложняет последующее удаление спрессовавшегося и забившего сетку осадка с поверхности фильтра. Данную методику расчетов можно с успехом применять для любых сетчатых фильтров.
В примере в качестве критического взят капельный режим протока, но, разумеется, эта величина может быть какой угодно в пределах начальной максимальной производительности фильтра. Разница давлений равна атмосферному, поскольку экспериментальная мембранная установка работает под действием гравитации, не будучи подсоединена к водопроводу.
Для иных случаев можно использовать данные производителя и показания установленных на трубопроводе манометров. Как видно, подбор фильтра механической очистки должен непременно основываться не только на теоретических расчетах, но и экспериментальных данных (определение сопротивлений фильтрующей перегородки и слоя осадка). Лишь в этом случае будет обеспечен грамотный подбор фильтра.