Рис. 1. и Рис. 2.
Табл. 1. Диапазон изменения коэффициентов теплопередачи и их рекомендуемые соотношения
Табл. 2. Данные для оценки коэффициентов температурной эффективности и теплового эквивалента промежуточного теплоносителя
По количеству источников и потребителей теплоты, способу их объединения циркуляционным контуром, системы можно классифицировать следующим образом (рис. 1):
- Индивидуальные системы, в которых циркуляционным контуром промежуточного теплоносителя (ПТ) объединяются один источник теплоты и один потребитель (рис. 1, а);
- Индивидуально-групповые системы, в которых циркуляционным контуром ПТ объединяются один источник теплоты с несколькими потребителями или один потребитель с несколькими источниками теплоты (рис. 1, б);
- Групповые системы, в которых циркуляционным контуром ПТ объединяются несколько источников теплоты и несколько потребителей.
Каждая из указанных систем может быть одно (рис. 1, в), двух (рис. 2) или многоконтурной. Опыт внедрения систем передачи теплоты показывает, что одним из главных факторов, влияющих на эффективность использования температурных потенциалов теплообменивающихся сред, является правильный выбор расхода циркулирующего ПТ или его теплового эквивалента Wц = cцGц, где с и G — теплоемкость и массовый расход ПТ.
Наибольшее количество теплоты ПТ передает от одной основной среды к другой при каком-то среднем значении расхода, при котором эффективен как температурный, так и расходный режим ПТ. Так, для конкретного значения kxFx + kгFг = 6654 и соотношения тепловых эквивалентов Wг/Wx = 0,394: при распределении (kxFx)/(kгFг) = 0,394 наибольшее значение коэффициента эффективности теплообмена равно 0,677, а Wц/Wг = 1,207.
сли распределение принять (kxFx)/(kгFг) = 2,535, то наибольшее значение коэффициента эффективности теплообмена достигается приWц/Wг = 1,767 и равно 0,676. При осуществлении распределения площадей поверхности теплообменников между потоками (kxFx)/(kгFг) = 1 коэффициент эффективности достигает наибольшего значения 0,768 при Wц/Wг = 1,434.
Выполненный автором анализ термодинамических особенностей передачи теплоты в системе, исходя из условия максимальной эффективности использования температурных потенциалов основных теплообменивающихся сред, показал, что для индивидуальных систем при выбранных площадях поверхностей теплообмена теплообменников циркуляционного контура наибольшее количество теплоты будет передано, если тепловой эквивалент ПТ определяется из соотношения [1],

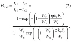
где k — коэффициент теплопередачи; F — площадь поверхности теплообмена; индексы «х» и «г» соответствуют холодной и горячей средам. Из соотношения (1) следует, что тепловой эквивалент ПТ является переменной величиной и обусловливается техническими характеристиками конкретной установки передачи теплоты. При данном значении теплового эквивалента ПТ температурная эффективность теплообмена основных теплообменивающихся сред Qг–х определяется по зависимости,

где tг1, tг2, tх1, tх2 — температуры горячей и холодной сред на входе и выходе теплообменника. Коэффициент ϕ определяется по формуле

Как видно из зависимости (2), теплообмен между основными взаимодействующими средами можно рассматривать происходящим в теплообменнике, установленном в одной из основных сред, в данном случае — горячей среде, при этом коэффициент теплопередачи всей системы, отнесенный к площади поверхности в горячем потоке, определяется из выражения k1 = ϕkг. Коэффициент ϕ определяется соотношением площадей Fг и Fх. Принимая Fг = ε(Fг + Fх) и Fх = (1 – ε)(Fг + Fх), находим, что k1Fг принимает наибольшее значение

Из этого соотношения следует, что данную эффективность теплообмена можно получить при минимальных площадях поверхностей теплообмена, если обеспечить их распределение между основными теплообменивающимися средами по закону

При расчете систем утилизации вентиляционных выбросов рекомендуется пользоваться соотношением kгFг = kхFx [1, 2], установленным из условия перераспределения удельных тепловых потоков между теплообменниками, размещенными в потоках различных основных сред. По результатам сравнения суммарных потребных площадей теплообмена теплообменников системами F′ и F″, обеспечивающих одинаковую температурную эффективность и определенных соответственно из соотношений:

видно, что в диапазоне 0,5 < (kг/kх) < 2 с точностью до 3 % можно пользоваться обоими соотношениями. При 0,5 > (kг/kх) > 2 (что наблюдается при использовании в качестве основных теплообменивающих сред разнородных теплоносителей, например газа и жидкости) следует отдать предпочтение равенству

Это позволит уменьшить потребность в поверхностях теплообмена теплообменного оборудования на 30–35 %. При оптимальном распределении площадей поверхностей теплообмена между основными теплообменивающими средами тепловой эквивалент промежуточного теплоносителя определяется из зависимости

Для ориентировочной оценки расхода ПТ и температурной эффективности систем в табл. 1 приведены диапазон из менения коэффициентов теплопередачи kг и kх и рекомендуемые их соотношения для различных сочетаний основных теплообменивающихся сред и ПТ. Из табл. 1 следует, что наиболее характерным для систем являются значения kг/kх, равные 1,90 и 130.
Пример расчета системы при kг/kх = 1 подробно рассмотрен в [1, 2]. В табл. 2 приведены данные для оценки коэффициентов температурной эффективности системы Qг–х и теплового эквивалента промежуточного теплоносителя (воды) Wц при kг/kх = 90.Основной термодинамической особенностью индивидуально-групповых и групповых систем является то, что потоки, составляющие хотя бы одну из сред, имеют различные температуры и расходы, а взаимодействуют они в теплообменниках с ПТ, имеющим одинаковую начальную температуру.
Поскольку после взаимодействия в теплообменниках с потоками, составляющими одну из сред, потоки ПТ смешиваются, то согласно тепловому балансу группу теплообменников по одной из сред можно характеризовать известными коэффициентами температурной эффективности, выраженными через усредненные по тепловым эквивалентам начальные и конечные температуры взаимодействующих сред.
Анализ термодинамических особенностей изменения температурных потенциалов основных теплообменивающих сред и ПТ позволил установить, следующие условия термодинамической оптимизации:
- Промежуточный теплоноситель между потоками, составляющими одну из сред, следует распределять пропорционально долям тепловых эквивалентов этих потоков в cуммарном тепловом эквиваленте данной среды.
- Отношения удельных тепловых потоков теплообменников, размещенных в потоках одной из сред, к тепловым эквивалентам потоков, проходящих через соответствующий теплообменник, должны быть постоянными и одинаковыми для каждого теплообменника.
- Коэффициенты эффективности использования температурных потенциалов в теплообменниках каждого потока одной из сред должны быть равны и, соответствовать аналогичному коэффициенту эффективности использования температурного потенциала всей основной среды и ПТ.
- Расход ПТ для всей групповой системы должен соответствовать расходу, определенному по зависимости, аналогичной зависимости для индивидуальных систем [1], только в качестве удельных тепловых потоков следует принимать сумму удельных тепловых потоков теплообменников, установленных в потоках, составляющих соответствующую основную среду.
- Площади поверхностей теплообмена теплообменников в основных средах следует распределять из условий:
- для индивидуально-групповой системы:

- для групповой системы:

- для индивидуально-групповой системы:
Выполнение вышеуказанных пяти условий термодинамической оптимизации позволяет провести теплотехнический расчет индивидуальных, индивидуально-групповых и групповых систем утилизации с ПТ, обеспечив при этом наименьшую потребную площадь поверхностей теплообмена у теплообменников всей системы.
Для удобства расчета, а также для ориентировочного выбора возможного термодинамического режима работы системы ниже приводится ряд зависимостей, установленных из условий оптимизации, которыми можно пользоваться при решении различных практических задач. Автором установлены также зависимости для определения температуры смеси промежуточного теплоносителя tц1 и tц2, коэффициента эффективности использования температурного потенциала взаимодействующих сред в отдельных теплообменниках и их связь с общим коэффициентом эффективности использования температурных потенциалов основных взаимодействующих сред.
С установлением указанных выше особенностей работы циркуляционных колец упрощается методика их расчета. Так, прежде всего температуры ПТ на выходе из каждого теплообменника. Рассчитав эти температуры для теплообменников, в которые поступает наиболее холодная и наиболее горячая среда, определяют тем самым рабочий температурный диапазон ПТ, по которому следует сделать выбор вида ПТ.В случаях применения двухконтурных систем передачи теплоты тепловой эквивалент промежуточного теплоносителя определяется по следующим зависимостям:
- в первом контуре:

- во втором контуре:

Минимум установочной площади поверхности теплообмена обеспечивается при распределении площадей поверхностей теплообмена в следующих отношениях:

Далее определяют коэффициент температурной эффективности всей двухконтурной системы. Минимальная суммарная площадь поверхностей теплообмена всех установленных в двухконтурной системе теплообменников составляет

При использовании в двухконтурной системе однородных энерготеплоносителей, т.е. при kг = kх = kц — Fобщ = 2,71Fг, при использовании разнородных энерготеплоносителей и kц > kг = kх — Fобщ = 2,07Fг, а при kц = kг > kх — Fобщ = 11,3Fг.
Приведенные выше зависимости в сочетании с указанными условиями позволяют выполнять теплотехнические расчеты систем передачи теплоты при помощи промежуточного теплоносителя с учетом термодинамически оптимальных режимов, т.е. обеспечивать передачу наибольшего количества теплоты при минимальных площадях поверхностей теплообмена теплообменного оборудования.