Рис. 1
Таблица 1
Рис. 2
Рис. 3
С точки зрения капитальных затрат экономичнее использовать одну систему, вместо двух. В южных странах (Япония, Испания, Италия и т.д.) с небольшими отрицательными температурами система кондиционирования с режимом теплового насоса обеспечивает круглогодичное поддержание температуры помещений.Однако конструктивные особенности оборудования, а именно небольшой предел работы при отрицательных температурах, не позволяли до настоящего времени использовать ту же схему в зданиях России.
Новая VRF-система кондиционирования КХ4 от MITSUBISHI HEAVY INDUSTRIES обладает расширенным температурным диапазоном работы и позволяет использовать режим обогрева до наружной температуры –20°С. Таким образом, климатические условия городов юга России уже позволяют использовать систему кондиционирования КХ4 не только для охлаждения помещений в теплый период, но и для их обогрева в холодный. Отсюда возникает первый вопрос— а для каких городов возможно использование системы воздушного теплового насоса (коим является VRF-система кондиционирования КХ4) в качестве основного и единственного источника обогрева помещений? Давайте посмотрим на расчетные температуры наружного воздуха по параметрам Б для зимнего периода (табл. 1).
Глядя на табл. 1, можно отметить следующий факт — фактически для всего Краснодарского края возможно использование системы КХ4 в качестве основной системы отопления зданий. Но теперь необходимо ответить на второй вопрос— а насколько экономично будет использование режима теплового насоса для отопления зданий? Для ответа на него необходимо рассмотреть теоретические характеристики работы тепловых насосов.
Тепловыми насосами называются установки, при помощи которых осуществляется перенос энергии в форме теплоты от более низкого к болеевысокому температурному уровню, необходимому для теплоснабжения [1].
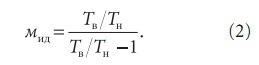
Удельная затрата работы или эквивалентной ей электрической энергии, отнесенной к единице теплоты с температурой Tв, определяется для идеального цикла Карно по формуле: Эид = 1 – Tн/Tв, (1), где Tв и Tн — верхний и нижний температурные уровни, °К. Обратное значение удельной затраты работы называется коэффициентом трансформации теплоты или коэффициентом преобразования. Коэффициент трансформации теплоты равен отношению полученной теплоты tн к тепловому эквиваленту затраченной работы. Коэффициент трансформации теплоты идеального обратного цикла Карно:

Для идеального цикла при 0< Tн/Tв <1 безразмерное значение эид < 1, а безразмерное значение мид > 1. При снижении отношения Tн/Tв увеличивается эид и снижается мид. В реальных компрессионных теплонасосных установках удельная затрата работы э > эид и соответственно коэффициент трансформации теплоты м < мид вследствие:
- энергетических потерь из-за необратимого теплообмена между источником низкого потенциала и рабочим агентом в испарителе, а также между рабочим агентом и теплоносителем повышенного потенциала в конденсаторе;
- замены детандера дроссельным вентилем;
- сжатия в компрессоре перегретого пара рабочего агента по необратимой политропе вместо обратимого сжатия пара в идеальной установке.
Определим теоретические характеристики теплонасосных установок для условий России при условии, что источником теплоты служит наружный воздух.
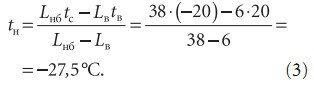
Идеальный верхний температурный уровень равен температуре внутреннего воздуха в зимний период. Температуру внутреннего воздуха можно принять +20°С или +293°К.Однако в реальных установках необратимость процесса теплообмена между рабочим агентом в конденсаторе и теплоносителем повышенного потенциала (т.е. воздухом в помещении) вынуждает повышать tв. Для приемлемого теплообмена между рабочим агентом и воздухом должен быть перепад температур около +20°С. Следовательно, температура tвсоставит +40°С или +313°К.
Нижний температурный уровень должен быть ниже температуры наружного воздуха. Рассмотрим расчетную температуру наружного воздуха –20°С. Тогда температура хладагента в испарителе должна быть не менее –30°С или 243°К.
Сейчас мы можем вычислить значения удельной затраты работы и коэффициента трансформации теплоты:
Э = 1 – (243/313)= 0,224, М= (313/243)/(313/243)– 1 = 4,46.
Следовательно, при тех параметрах, которые мы приняли в качестве исходных данных, мы можем максимально получить 4,46 кВт тепловой энергии, затратив 1 кВт электрической. Однако реальная величина полученной тепловой энергии будет несколько меньше, т.к. в расчетах мы не учли необратимость процессов: сжатие перегретого газа в компрессоре и дросселирование в ТРВ.
Номинальная температура наружного воздуха, при которой приведены характеристики любых систем кондиционирования в режиме обогрева равна +7°C по сухому термометру и +6°C по влажному. При понижении температуры наружного воздуха эффективность теплового насоса уменьшается (рис. 1) и при температуре –20°C для наружного блока FDCA450HKXE4 системы КХ4 составляет 2,5. Много это или мало? Cмотря с чем сравнивать. Если сравнивать с системой прямого электроотопления (электрокотлами, масляными радиаторами и т.д.), то мы при использовании воздушных тепловых насосов затратим даже при температуре наружного воздуха –20°C в два с половиной раза меньше электроэнергии, чем в случае использования электрообогревательных приборов. Если же сравнивать с газовым отоплением или отоплением от тепловой сети, то становятся критичными стоимость получаемой энергии и распределенная стоимость затрат на установку дополнительной системы отопления (приведенные затраты).В целом для оценки затрат энергии на работу теплового насоса в течение всего отопительного периода необходимо использовать не расчетные (с минимальной наружной температурой), а усредненные значения эффективности, которые в свою очередь зависят от средних температур отопительного периода. Так, для Москвы средняя температура отопительного периода равна –3,2°C (при расчетной –26°C), для Новор0оссийска уже +4,4 (при расчетной –13°C). Естественно при работе теплонасосной установки на общий расход энергии будет влиять именно средний за отопительный сезон коэффициент энергетической эффективности, который для системы КХ4 равен, например, для 0°C— 3,3 ед. (рис. 1).
Еще один важный вопрос — а хватит ли мощности кондиционера, подобранного для условия охлаждения помещений в теплый период, для обогрева тех же помещений в холодный (учитывая естественно снижение производительности теплового насоса при низких температурах)? Для этого обратимся к рис. 2.
На рис. 2 показаны изменения потребляемой мощности и производительности по теплу конкретной модели наружного блока системы КХ4. Из графика видно, что производительность наружного блока в диапазоне от 0 до +16°C практически не меняется, а вот в диапазоне от 0 до –20°C происходит снижение производительности наружного блока фактически на 40%. Чтобы понять, достаточно ли этого для обогрева помещений здания, необходимо обратиться к таким величинам, как удельная тепловая нагрузка здания в теплый период и удельные теплопотери здания в холодный период. Для теплого периода теплоизбытки помещений зависят от многих факторов: величины солнечной радиации, количества людей в помещениях, вида и количества оборудования, величины воздухообмена и т.д.
Для 90% помещений удельные теплоизбытки в теплый период находятся в пределах от 100 до 200 Вт/м2 помещений.
Теперь давайте обратимся к холодному периоду и величине теплопотерь помещений, по которым собственно и подбирается мощность системы отопления. Удельные теплопотери помещений нормируются и для большинства городов нашей страны составляют от 40 до 80 Вт/ м2 [1]. Посчитаем для нашего блока FDCA450HKXE4 MHI, хватит ли его мощности для обогрева кондиционируемых помещений.
Мощность блока FDCA450HKXE4 составляет 45 кВт по холоду. Если удельная тепловая нагрузка составляет 120 Вт/ м2, значит мощности этого блока хватит для охлаждения 375 м2обслуживаемых помещений. В холодный период для обогрева этой площади требуется 375 •60 = 22 500 Вт, т.е. 22,5 кВт тепловой энергии. Согласно рис. 2 при расчетной наружной температуре –20°C производительность наружного блока составит 30 кВт, что на 30% превышает требуемую мощность для системы отопления.
Для городов Краснодарского края применение новой системы кондиционирования КХ4 от MITSUBISHI HEAVY INDUSTRIES не только к качестве системы охлаждения воздуха в теплый период, но и в качестве единственной системы отопления в холодный период возможно и оправдано. А для остальной территории нашей страны? Для ответа на этот вопрос необходим график, показывающий число часов с наружной температурой ниже определенной величины. В качестве примера на рис.3 этот график приведен для Москвы.
Из рис. 3 мы можем определить промежуток времени, в который система кондиционирования КХ4 не сможет работать в качестве системы отопления например для коттеджа в Подмосковье. Число часов с температурой ниже критичной –20°C составляет 172 ч или семь с небольшим суток. Весь отопительный период для Москвы равен 205 суток т.е. 96% времени в течение отопительного периода система кондиционирования КХ4 может работать в климатических условиях Москвы в качестве основной системы отопления.
Интересным представляется компоновочное решение, позволяющее увеличить диапазон минусовых температур для эксплуатации наружных блоков и снизить при этом величину потребляемой электрической энергии. Не секрет, что современные здания требуют не только систем, регулирующих тепловлажностный режим помещений, т.е. систем отопления и кондиционирования воздуха. В зданиях всегда присутствуют системы вытяжной вентиляции, которые выбрасывают теплый загрязненный воздух из помещений.
Температура вытяжного воздуха в зимний период значительно выше, чем температура наружного воздуха, поэтому правильно таким образом выбрать место установки наружных блоков систем кондиционирования и выброса вытяжного воздуха систем вентиляции, чтобы испарители наружных блоков обдувались вытяжным воздухом. Давайте определим, насколько данное решение может расширить диапазон работы систем кондиционирования в режиме теплового насоса и увеличить энергетическую эффективность.
Допустим, системы кондиционирования и вентиляции обслуживают одни и те же помещения. Кратность воздухообмена в современных зданиях зависит в первую очередь от назначения помещений и меняется в основном от 1,5 до 6 обменов в час. Для примера возьмем офисное здание с кратностью 2. Значит на 1 м2 площади офисного здания приходится 6 м3/ч приточного воздуха и соответственно столько же вытяжного. Расчетная производительность системы кондиционирования около 120 Вт/м2 помещений. Если посмотреть на характеристики наружных блоков КХ4, то на 1 кВт производительности по теплу приходится 300 м3/ч производительности по воздуху вентилятора наружного блока. Приводя к 1 м2помещений, получаем 38 м3/ч наружного воздуха. Для наружного блока важно, чтобы температура смеси была не ниже –20°C. Значит минимальная температура наружного воздуха при организации обдува конденсаторов вытяжным воздухом:

Естественно данный расчет проведен укрупненно и требует уточнения для каждого конкретного объекта, но, тем не менее, он необходим для качественной оценки варианта использования тепла вытяжного воздуха в условиях России.
Выводы:
- Благодаря расширенному температурному диапазону и высокой энергетической эффективности VRF-система кондиционирования КХ4 от MITSUBISHI HEAVY INDUSTRIES может быть использована в качестве основного источника тепла для южных регионов России.
- Для климатических условий Москвы 96% времени в течение отопительного периода система кондиционирования КХ4 может работать в качестве основной системы отопления.
- Вариант совместного конструктивно компоновочного решения VRF-систем кондиционирования и систем вытяжной вентиляции значительно расширяет температурный диапазон работы наружных блоков и повышает их энергетическую эффективность в режиме теплового насоса.
- Бакластов А.М., Бродянский В.М., Голубев Б.П. и др. Промышленная теплоэнергетика и теплотехника: Справочник.— М.: «Энергоатомиздат», 1983.
- Inverter driven multi-indoor-unit climate control system, MITSUBISHI HEAVY INDUSTRIES, 04-KX-T-092.
>>> Также читайте по теме Мировой рынок систем VRF в журнале СОК 2006 №9