Внимание: корректное написание уравнений и формул приводится только в печатной версии журнала СОК и его PDF-версии. Подписаться или скачать журнал можно здесь.
Введение
Настоящая статья посвящена вопросу оценки влияния отпуска теплоты из отбора паровой турбины для теплоснабжения потребителей на эффективность использования топлива. Известны различные критерии оценки влияния изменений в тепловой схеме паротурбинной установки на её экономичность, по которым с разной степенью точности может оцениваться эффективность теплофикации: коэффициент недовыработки, коэффициент ценности теплоты, коэффициент изменения мощности, КПД дополнительного отбора и др. Разнообразие критериев свидетельствует о серьёзности предмета исследования, с одной стороны, и наличии тех или иных недостатков в каждом из разработанных методов, с другой. Недостатками, например, наиболее известного метода, основанного на использовании коэффициента ценности теплоты, являются его относительная сложность, недостаточная точность, вызванная принятыми в основе метода допущениями, и методическая ошибка вычисления коэффициента для отборов турбины, расположенных выше промперегрева.
Повышение экономичности энергоустановки при отпуске тепловой энергии потребителям из отбора турбины вместо отпуска его из котельной является очевидным фактом, не вызывающим сомнений [1–7]. Однако получаемая экономия оценивается с разной степенью точности. Поэтому произведён обзор методов оценки изменений в тепловой схеме паротурбинной установки источника теплоснабжения. Выполнен обзор методов оценки изменений в тепловой схеме паротурбинной установки, на основании принятого метода оценки эффективности использования теплоты отработавшего в турбине пара для теплоснабжения разработан коэффициент относительной эффективности использования теплоты пара любого отбора турбины, означающий экономию подведённой к турбине энергии в долях отпускаемой потребителю теплоты.
Обзор методов оценки изменений в тепловой схеме паротурбинной установки
Ещё В. И. Гриневецким [9] в уравнении материального баланса турбины с отбором пара Dт = Dк + yDотб применялся так называемый «коэффициент отбора» или «коэффициент недовыработки»:

где Dт — расход пара на турбину при работе с отбором; Dк — расход пара на турбину при чисто конденсационном режиме; Dотб — расход отбираемого пара; iо, iотб и iк — энтальпия пара, соответственно, перед турбиной, в отборе и перед конденсатором.
Однако коэффициенту y присущ ряд следующих недостатков: он не учитывает влияния регенеративного подогрева воды на экономичность турбины; не учитывает дополнительный эффект от подогрева воды, возвращаемой от потребителя, и добавки воды, восполняющей потери в схеме регенерации турбины; не учитывает влияние промежуточного перегрева пара и др.
Коэффициент недовыработки широко использовался в практических целях [7] более чем 40 лет. В последние годы в проектной и эксплуатационной практике этот коэффициент уже практически не применяется, но, несмотря на это, он продолжает находить место в учебниках для вузов без указания на его недостатки [2, 13].
В 1929 году [13] была предложена приближенная эмпирическая формула «коэффициента ценности теплоты»:
ξ = (1 — λ)(1 + k λ),
где λ = (io — iотб)/(io — iк) — отношение теплопадения, использованного паром данного отбора, к полному использованному (внутреннему) теплопадению турбины; k — эмпирический коэффициент, зависящий от начальных параметров рассматриваемой установки и особенностей её схемы. Точность вычисления значения ξ при соответственно подобранных значениях коэффициента k оказалась достаточной для прикидочных расчётов схем турбоустановок без промежуточного перегрева пара.
Для более точных расчётов приходилось в каждом конкретном случае находить значение ξ «эмпирически», то есть, в соответствии с определением этого коэффициента, для каждой тепловой схемы путём составления «дополнительных тепловых балансов» подсчитывать то изменение полного расхода теплоты на установку, которое является следствием подвода определённого количества теплоты на данной ступени регенерации [11].
Широкое применение имело и другое выражение коэффициента ценности теплоты, а именно:

где tпв и tкотб — энтальпии, соответственно, питательной воды и конденсата отбираемого пара; (io — tотб)/(io — iк) — относительный прирост расхода теплоты на вырабатываемую энергию конденсационной турбины без регенерации.
Для того чтобы выражение (1) можно было распространить на турбоустановки с регенеративным подогревом воды и промежуточным перегревом пара, в нём необходимо произвести замену множителя:

где αпп и αк — доля пара, поступающего, соответственно, в промперегреватель и конденсатор; Δiпп — приращение энтальпии пара в промперегревателе.
Если отбор пара производится до промежуточного перегрева пара, то к числителю (iотб — iк) в выражении (1) нужно прибавить приращение энтальпии Δiпп.
В результате таких подстановок выражение (1) для общего случая преобразуется в выражение:

Как видно из изложенного выше, определение значения по выражению (2) весьма трудоёмко и требует большого объёма исходной информации.
Очевидно, поэтому Я. М. Рубинштейн и М. И. Щепетильников не стали усложнять формулу (1), а пошли по пути разработки аналитического метода определения коэффициента ценности теплоты ξ [12], согласно которому предварительно находят коэффициент изменения мощности e. При разработке этого метода была сделана предпосылка (допущение), что при небольшом значении количества теплоты, подводимой извне к той или иной ступени подогрева питательной воды (Q << Q0), изменение экономичности установки не должно зависеть от способа определения, то есть относительное уменьшение общего расхода теплоты ΔQ0 в первом случае и относительный прирост мощности ΔN во втором должны быть одинаковы:

где η — внутренний (абсолютный) КПД установки.
Расчёты сравнительной эффективности обычно проводятся при выборе способа удовлетворения одной и той же потребности, то есть сравниваемые варианты должны приводиться к одинаковому эффекту, в энергетике — к одинаковому количеству теплоты и электроэнергии, отпускаемых потребителю [14]. Если рассматривать условие (3) с этой позиции, то оно действительно для случая отпуска только электроэнергии, а для сравнения вариантов удовлетворения потребителя одновременно теплотой и электроэнергией оно неприемлемо.
На самом деле при отпуске потребителю теплоты, например, паром, поступающим в конденсатор (вместо отпуска теплоты из котельной), имеет место большая экономия теплоты ΔQ0 при неизменной мощности установки, то есть ΔN = 0, а отношение ΔN/ΔQ0 = 0 ≠ η. Поэтому коэффициент ценности теплоты ξ, вычисленный по методу [10], применим лишь в случае, когда речь идёт только о структурных изменениях рассматриваемой схемы, при которых отсутствует подвод (или отвод) теплоты извне.
Для анализа и оптимизации тепловой схемы предназначен метод эквивалентных теплопадений и вытекающий из него коэффициент полезного действия отбора турбины [10]: «…метод предполагает, что расчёт исходной тепловой схемы выполнен заранее». Для сравнения эффективности вариантов раздельной и комбинированной выработки теплоты и электрической энергии этот метод также неприменим, поскольку КПД отборов турбины вычисляется при постоянном расходе теплоты на неё и не приводится к условию постоянного производственного эффекта (одинаковое количество отпускаемых в сравниваемых вариантах теплоты и электроэнергии). Таким образом, вышеперечисленные методы оказались применимыми только для анализа небольших структурных изменений в пределах конденсационной паротурбинной установки и неприемлемыми для оценки эффективности теплофикации.
Для приближенной оценки эффективности теплофикации в [6] дано выражение коэффициента ценности теплоты:
ξ = 1 — ΔQ, (4)
где ΔQ = (bк — bт)ω = Δbω — снижение затрат (экономия теплоты в турбоагрегате на единицу отпущенной теплоты); bк и bт — удельные расходы теплоты, соответственно, на конденсационный и теплофикационный 1 кВт·ч вырабатываемой электроэнергии; Δq — удельные потери теплоты в конденсаторе турбины; ω — удельная теплофикационная выработка электроэнергии на единицу отпущенной за пределы турбоустановки теплоты.
В работе [8], посвящённой оптимизации режимов работы ТЭЦ, удельная экономия расхода теплоты за счёт комбинированного производства энергии на каждую единицу теплоты, отпускаемой из отбора турбины, представлена в виде комплекса mтΔqк, который по своему физическому смыслу идентичен величине ΔQ = ωΔb из выражения (4), поскольку mт — относительный прирост теплофикационной мощности при увеличении тепловой нагрузки, а Δqк — относительный прирост потерь теплоты в конденсаторе (при замещении теплофикационной мощности конденсационной).
Однако в упомянутых работах нет вывода аналитических выражений экономии теплоты, получаемой при теплофикации на паротурбинных ТЭЦ, которые основывались бы на параметрах турбинной установки и соответствовали бы физической сущности протекающих в ней процессов. Такое выражение представлено в [15], однако и оно рекомендуется только для предварительной оценки эффективности теплофикации, поскольку включает в себя энтальпию пара в «условном регенеративном отборе» и имеет ряд других условностей. Разновидности перечисленных методов оценки эффективности теплофикации с присущими им недостатками встречаются и у других авторов [1, 3].
Метод оценки эффективности использования теплоты отработавшего в турбине пара для теплоснабжения
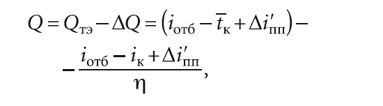
Разработанный автором метод [4, 5] позволяет быстро и с достаточной точностью производить анализ энергобаланса турбоустановки: он учитывает как первичные, так и вторичные изменения в режиме её работы. Если при неизменном расходе подведённой энергии на турбину (рис. 1) отпустить из её отбора тепловому потребителю (ТП) 1 кг пара, а конденсат возвратить в конденсатор турбины, то произойдёт уменьшение выработки электроэнергии на (iотб — iк + Δiпп) и сокращение затрат теплоты на выработку электроэнергии на (iотб — tк + Δiпп).

Потребитель, получая тепловую энергию от турбины Qтэ = iотб — tк + Δiпп, отказывается от получения такого же количества энергии от котельной. Сокращение потерь энергии в окружающую среду через конденсатор с охлаждающей водой составляет (iк — tк). Для восстановления выработки электроэнергии до исходного уровня увеличим расход подведённой энергии на турбоустановку на ΔQ = (iотб — iк + Δiпп)/η.
Снижение расхода энергии на производство тепловой энергии составит:

где iотб — энтальпия отбираемого пара; iк и tк — энтальпия, соответственно, пара и конденсата в конденсаторе; Δi´пп — приращение энтальпии пара в промперегревателе (величина со знаком «´» учитывается только при отборе пара потребителю до промперегрева); η — КПД паротурбинной установки.
Разделив полученное выражение на количество отпущенной тепловой энергии Qтэ = iотб — tк + Δi´пп, найдём удельную экономию подведённой энергии в долях отпущенной теплоты, которая по физическому смыслу является коэффициентом относительной эффективности использования теплоты отбора турбины:

Коэффициент K´о.эф — это экономия подведённой энергии (в долях отпускаемой теплоты), получаемая при комбинированной выработке теплоты и электроэнергии за счёт сокращения потерь энергии через конденсатор с охлаждающей водой. Разность (1 — K´о.эф) — это дополнительный расход энергии на турбоагрегат в долях отпускаемой теплоты:

При iотб = iк обычно имеем K´о.эф = = 0,1–0,12 и 1 — K´о.эф = 0,88–0,9. Как было обусловлено выше, конденсат от потребителя с температурой tк возвращается в конденсатор турбины.
Следовательно, значение K´о.эф учитывает регенеративный подогрев конденсата от температуры tк до температуры насыщения tотб , соответствующей давлению пара в отборе, из которого отпускается пар потребителю. Однако на практике конденсат, как правило, возвращается от потребителя, например, из сетевого подогревателя, с температурой насыщения tотб. Поэтому теплота отбора турбины будет использоваться для теплофикации с меньшей эффективностью: Kо.эф < K´о.эф. Если конденсат возвращается от потребителя в точку отбора пара, то для условия iотб = iо, очевидно, 1 — Kо.эф = 1 или Kо.эф = 0.
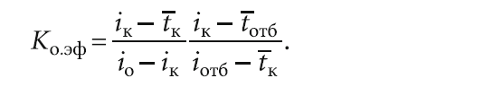
Найдём множитель М, учитывающий влияние изменения точки возврата конденсата от потребителя (для отбора с энтальпией iотб = iо):

Для любого отбора получим:

Сокращая числитель и знаменатель на величину η, получим:

Приводя полученное выражение к общему знаменателю, выведем в общем виде формулу коэффициента относительной эффективности теплоты отбора турбины для теплофикации:

В конкретных случаях применения этой зависимости она приобретает более простой вид:
- отбор пара до промперегрева
  
- отбор пара после промперегрева
  
- турбина без промперегрева
  
Вычисление коэффициентов относительной эффективности теплоты отборов турбин по разработанной автором методике не представляет затруднений. Значения коэффициента Kо.эф для распространённых типов турбин приведены в табл. 1 и на рис. 2.


Примечание: следует учесть, что конденсат отбираемого пара от потребителей возвращается в схему регенерации с температурой, соответствующей температуре пара в точке отбора.
С достаточной для технических расчётов точностью этот коэффициент может также приниматься по его графической зависимости от известного коэффициента недовыработки Kо.эф = f (y) (рис. 3). Для оценки полученных результатов на рис. 3 также показана зависимость коэффициента ценности теплоты ξ = f (y) [12], полученной по более сложной и менее точной методике, в частности, неправильно учитывающей приращение энтальпии пара в промежуточном пароперегревателе [неправомерное смещение кривой ξ = f (y) выше точки промежуточного перегрева].

Коэффициент относительной эффективности использования теплоты любого отбора турбины для теплоснабжения, означающий экономию подведённой к турбине энергии в долях отпускаемой потребителю теплоты, не зависит от КПД турбины и доли пара на регенерацию, а является только функцией теплоперепадов в соответствующих отсеках турбины.
Выводы
С точки зрения экономии топлива может быть целесообразной организация промежуточного перегрева пара после промышленного отбора. Эффективность теплоты отбора при этом не уменьшится, а, наоборот, несколько увеличится за счёт снижения относительного прироста расхода теплоты на выработку электроэнергии или в крайнем случае останется неизменной, то есть δKо.эф = 0.
Разработанный коэффициент относительной эффективности использования теплоты пара любого отбора турбины (означающий экономию подведённой к турбине энергии в долях отпускаемой потребителю теплоты) является только функцией теплоперепадов в соответствующих отсеках турбины и не зависит от коэффициента полезного действия турбины, в отличие от известных более сложных и менее точных методов оценки ценности теплоты.
На основе данного коэффициента разработаны методы расчёта экономии топлива, получаемой при переходе от раздельного к комбинированному способу производства электрической и тепловой энергии и рационализации тепловых схем тепловых электростанций.
 
				 
                                        																		 
			 
			 
			 
			 
			 
			 
			 
			 
			 
			 
			 
			 
			 
			 
			 
			 
                                     
                                     
                                     
                                     
                                    