Рассмотрим рис. 1, на котором представлены некоторые особенности формирования внутреннего давления воздуха внутри здания. За исходный момент принимаем, что температура воздуха в здании равна температуре наружного воздуха, давление по высоте здания определяется плотностью воздуха (изоденситами-бар), здание герметично (не сообщается с атмосферой). В этом случае эпюры давления (изоденситы-бары) совпадают и исходят из одной точки. На рис. 1 это условно показано параллельными синей и зелёной линиями. Зелёными точками обозначены средние давления по высоте здания. В действительности температура воздуха в здании поддерживается отличной от температуры наружного воздуха.

В связи с этим средние давления внутри и снаружи здания по высоте различаются. Связь этих давлений определяется зависимостью:

где Р — давление; Т — абсолютная температура; индексы: «ср» — среднее, «в» — внутри здания, «н» — вне здания (наружное), «0» — на отметке кровли здания.
На рис. 1 изображён случай, когда Тв > Tн (зима). Красная точка — это среднее давление по высоте здания при Тср.в, определённое по вышеприведённой зависимости. Жёлтая линия, проведённая через красную точку — это изоденситабар, характеризующая давление внутри здания по высоте, которое математически описывается зависимостью (без учёта аэродинамических потерь давления на циркуляцию внутреннего воздуха):

Аналогичная зависимость изоденситы-бар для наружного воздуха записывается следующим образом:

Эти эпюры давлений изображаются так, как это представлено на рис. 1. На некоторой высоте здания (YN) эпюры пересекаются. Точка пересечения отмечена треугольником — на данной высоте здания внутреннее давление совпадает с наружным. Координаты этой точки:

Горизонтальная линия, проведённая через треугольник, есть не что иное, как «гравитационная» нейтральная линия. Она делит здание по высоте на зоны пониженного и повышенного давления из условий гравитации и обусловлена объективными законами: давлением воздуха вне здания, высотой здания и соотношением температур наружного и внутреннего воздуха. Последнее колеблется в пределах 0,9–1,25. На атмосферное давление Р0 серьёзное влияние оказывает ветровая нагрузка. Высота здания обусловливается замыслами и профессиональностью авторов проекта.
Из изложенного выше следует, что внутреннее давление в здании непостоянно, изменяется в значительных пределах, а расположение нейтральной точки — «гравитационной» нейтральной линии — определяет зоны повышенного и пониженного давления в здании.
Соединим здание с атмосферой (разгерметизируем), например, отверстием А в стенке (рис. 1) на отметке YN. В этой точке давления внутри и вне здания должны совпадать, несмотря на различие температур. Поскольку в здании больше нет факторов, влияющих на давление, то оно должно корректироваться внутренним давлением, что отражено изоденситой-бар, отмеченной жёлтой линией. Это эпюра, характеризующая требуемое изменение давления по высоте здания. Она определяет полное и статическое давление в здании.
Если же мы соединим здание с атмосферой ещё одним отверстием (точка Б) и осуществим аналогичные построения, то на уровне этой точки возникает новая изоденсита-бар, обусловливающая в данном случае в здании ещё одно полное и статическое давление.
Таким образом, в здании возникают зоны с различным давлением, что предопределяет возникновение подвижности воздуха внутри здания. В этом случае нанесённые треугольники следует рассматривать как точки статического давления.
Соединим треугольники и получим эпюру, характеризующую статическое давление в здании, обусловленное внешними условиями.
Изоденситы-бар, соответствующие местам соединения здания с атмосферой, следует рассматривать как эпюры полного давления, обусловленные связью объёма здания с внешней средой. Взаимное расположение эпюр полного давления и статического даёт основания считать, что в объёме здания происходит перемещение внутреннего воздуха. Последовательность расположения давлений: полное — статическое обусловливает разрежение, а статическое и полное — нагнетание. За счёт этого в здании, в зоне между отверстиями, происходит циркуляция воздуха, определяющая общее внутреннее давление в разгерметизированном (только с одной стороны) здании.
Принимаем, что характер изменения по вертикали внутреннего давления обусловливается плотностью внутреннего воздуха, а среднее давление по высоте здания определено изоденситами-бар нижнего и верхнего отверстий, а также количеством воздуха, проходящих через них.
Заметим, что потенциально отверстия А и Б могут располагаться на любом расстоянии друг от друга: на большом или малом. В последнем случае два отверстия в пределе превращаются в одно, и всё, что сказано для двух отверстий, можно отнести к одному отверстию, разделённому горизонтальной нейтральной линией на два. Данное обстоятельство особенно важно учитывать, например, при устройстве в стенах вентиляционных клапанов, проёмов и фрамуг. Наличие в ограждении здания любого отверстия или канала в естественных условиях обусловливает одновременное перетекание воздуха как в здание, так и из здания, то есть воздухообмен (приток и вытяжку) между внутренним объёмом здания и атмосферой. Всё определяется соотношением давлений воздуха в здании и снаружи.
Определение общего внутреннего давления проиллюстрируем на рис. 2, сохранив все принятые ранее обозначения.

Эпюра общего внутреннего давления на графике, очевидно, расположится параллельно между изоденситами-бар верхнего и нижнего отверстий, примерно так, как это условно показано на графике сдвоенной жёлтой линией. Наклон линии обусловлен плотностью внутреннего воздуха и аэродинамическими потерями циркулирующего внутреннего воздуха, однако у нас нет привязки к объективному значению давления, определяющего фактическое давление в здании.
Примем за точку привязки точку пересечения условно нанесённой линии общего внутреннего давления с эпюрой наружного давления (синяя линия) или, что тоже самое, с эпюрой статического давления внутри здания (белая линия) — кружок с ординатой hн. На этом уровне давление в здании равно атмосферному и вычисляется:

а общее внутреннее давление будет рассчитываться по выражению:

Разность давлений воздуха (внутри и вне здания) между отверстиями на любой высоте описывается формулой:

Из данного выражения следует, что рассматриваемое здание по высоте делится ординатой hн на части с давлением выше и ниже атмосферного. Это определяет то, что в первом случае через отверстия в ограждениях внутренний воздух будет выходить наружу, а во втором случае в здание через отверстия будет поступать наружный воздух. Величина ординаты hн обусловлена равенством входящих и выходящих в здание объёмов воздуха.
Допустим, что отверстия в точке А имеют суммарную площадь FА, а в точке Б — FБ. Через данные отверстия, соответственно, циркулирует воздух:
- через отверстие Б из здания выходит:

- через отверстие А в здание входит:

Равенство количеств воздуха, покидающего здание и поступающего в него, физически обеспечивается при равенстве FБ и FА и подкоренных выражений. Но первое условие определяется конструктивными особенностями ограждений здания и может быть любым, второе — установившимся давлением в здании.
При установившемся состоянии объём воздуха в здании должен быть неизменным, поэтому VБ = VА. Это возможно при:

Общая зависимость внутреннего давления в здании с учётом выше установленных связей примет вид:

а разность внутреннего давления в здании и атмосферного представится как:

Отметим некоторые особенности вышеприведённых выкладок:
1. Известно, в наружных ограждениях возможны по меньшей мере отверстия (каналы) с тремя аэродинамическими характерами течения воздуха. Объём воздуха, проходящий через ограждение по этим каналам, характеризуется для каждого типа аналогичными уравнениями.
Поэтому необходимо найти для всех типов каналов общее среднее значение внутреннего давления PвY. При современной вычислительной технике это не представляет затруднений, но отсюда следует жёсткое требование: внутреннее давление в здании необходимо определять из совместного рассмотрения объёмных расходов воздуха через все разновидности каналов в ограждении зоны отверстий здания — при условии одновременного равенства их суммы нулю. Сейчас величиной внутреннего давления пренебрегают, а расходы воздуха через ограждения определяют по гравитационному давлению. Это физически неверно, но даёт возможность пользоваться элементарными арифметическими действиями.
2. Вышеприведённые зависимости установлены для сосредоточенного размещения отверстий в ограждении. При других вариантах расположения отверстий (равномерно по высоте и т. п.) функциональные зависимости будут иметь другой вид.
3. Принятая исходная зависимость для внутреннего давления в здании не учитывает аэродинамические потери давления, связанные с вынужденной циркуляцией внутреннего воздуха. Движение воздуха внутри здания, как в канале (воздуховоде), происходит с потерями энергии (давления) на преодоление местных и линейных сопротивлений, что сказывается на величине среднего внутреннего давления.
Это видно из рис. 3, на котором сохранены построения рис. 2 и нанесены эпюры изменения давлений в «канале» зоны здания с отверстиями, с учётом потерь на трение и местные сопротивления. Они показаны для соответствующих отверстий одинарными линиями красного цвета. Аэродинамические потери (затраты энергии) циркулирующих воздушных потоков влияют на величину общего внутреннего давления в здании (показано двойной линией красного цвета).

Все построения выполнены только для зоны здания между отверстий и в предположении, что сопротивления для ниспадающего и восходящего воздушных потоков определяются по общеизвестным зависимостям, где в качестве коэффициентов местного сопротивления используется удельный по высоте зоны коэффициент местного сопротивления:

С учётом этого:

где Wy± — скорости ниспадающих (-) и восходящих (+) воздушных потоков.
Суммарные аэродинамические потери циркулирующего внутреннего воздуха:

Как следует из рис. 3, аэродинамические потери изменяют общее внутреннее давление в здании, а это, в свою очередь, обусловливает коррекцию воздухообмена здания с внешней средой.
Так, для случая, изображённого на графике, разность между внутренним и наружным давлениями в зоне здания с отверстиями уменьшается, что ведёт к сокращению инфильтрующегося воздуха:

Как следует из данных зависимостей (и это показано на рис. 4), аэродинамические потери циркулирующего внутреннего воздуха «поворачивают» эпюру внутреннего давления против часовой стрелки, что содействует сокращению воздушной инфильтрации здания.

Таким образом, можно утверждать, с инфильтрацией возможно бороться не только совершенствованием конструкции наружных ограждений, но и созданием соответствующих аэродинамических условий циркуляции внутреннего воздуха. К ним следует отнести различного рода преграды на пути движения воздуха, удаление из отапливаемой части здания лестничных клеток и лифтовых шахт, мусоропроводов и т. п.
Представляют интерес аэродинамические особенности движения воздуха внутри здания, если оно подвержено воздействию нескольких атмосферных давлений, как это имеет место, например, при ветре, воздействующем на противоположные ограждения здания.
В специальной литературе имеются предложения по учёту ветрового воздействия на воздушную среду здания от нескольких различных давлений наружного воздуха. Здесь мы попытаемся проанализировать влияние воздействие двух разных давлений на внутренний воздушный режим здания, то есть ветрового давления на противоположные ограждения здания (аэродинамическими потерями давления циркулирующим внутренним воздухом пренебрегаем).
Пусть здание (рис. 4) находится под ветровым воздействием, и в его ограждениях, соответственно, с наветренной и заветренной сторонах расположены дискретные отверстия 1 и 2. Эпюры давлений рассматриваются в пределах объёма здания, расположенного между отверстиями. Площади отверстий f1i и f2i.
Линия Ог1–Ог2 (белая) — линия статического давления внутри здания, обусловленная особенностями связи объёма здания с атмосферой. Синим цветом помечены зависимости атмосферного давления: «-» указывает, что это с заветренной стороны здания, а «+» — с наветренной стороны. Между этими линиями также расположена линия, отражающая абсолютное атмосферное давление. Зелёная линия, проходящая через точку Ог12, — линия гравитационного внутреннего давления.
Анализируя эти линии, нетрудно сделать вывод, что в случае, изображённом на рис. 3, наружный воздух через отверстие 2 входит в здание, а через отверстие 1 — выходит из здания. То есть наблюдается протечка воздуха через здание. В рассматриваемом случае движение внутреннего воздуха в здании будет происходить от отверстия 2 к отверстию 1.
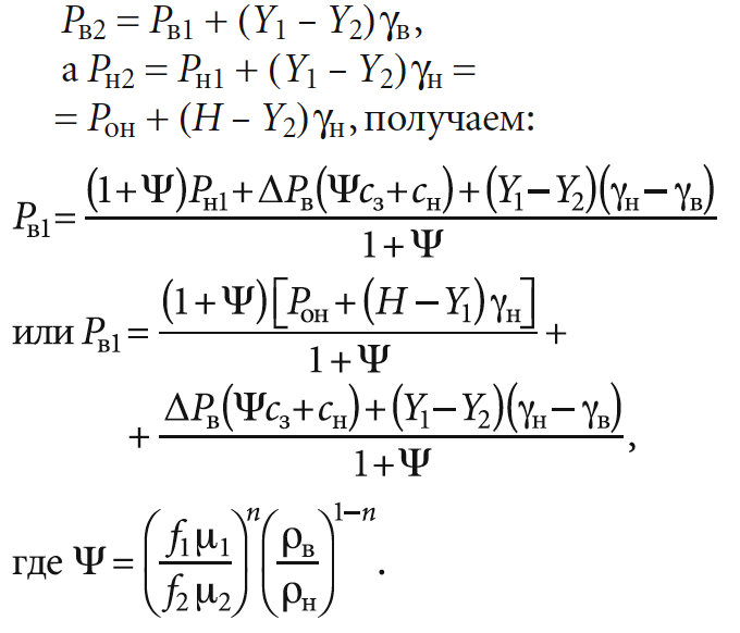
Установившийся режим будет наблюдаться, когда массовые суммарные расходы воздуха через все типы отверстий 1 и 2 сравняются, то есть: М1 = М2 или

где ΔPв, cз и cн — динамическое давление ветра и коэффициенты преобразования динамического давления ветра в давления на ограждения (считаем положительными), соответственно.
Решая данное уравнение относительно Pв1 и принимая во внимание, что

Перепад давлений, обусловливающий инфильтрацию наружного воздуха, на данном уровне определяется уравнением:

Аналогичные зависимости для уровня 2 имеют вид:

Данные зависимости составлены для двух дискретных отверстий, и внутреннее давление в зоне отверстий здания находится между величинами наружных давлений, воздействующих на рассматриваемые ограждения здания. Гидравлические потери давления циркулирующего в здании внутреннего воздуха из-за усложнения формул не учитывались. Кроме того, отметим, что постоянный воздушный поток через отверстия в здание предопределяет изменение величины внутреннего давления в здании от величины давления наружного воздуха. На рис. 2 это отразится так, что красная линия Ог1–Ог2 сместится ниже и левее синей линии.
В действительности в ограждениях возможны различные варианты взаимного расположения отверстий и их габариты, а также соотношения зон внутреннего и наружных давлений в здании. Одно принципиально важно — характер функциональных зависимостей вряд ли будет отличаться.
Из анализа представленных зависимостей видно, что ветровое динамическое давление, воздействующее на два противоположных ограждения, незначительно влияет на величину внутреннего давления в здании, но оказывает существенное воздействие на величину перепада давления, обусловливающую интенсивность инфильтрации.
Кроме того, зона отверстий здания по высоте разделится на:
а) зоны, в одной из которых внутреннее давление выше наружного давления;
б) зону, в которой внутреннее давление в здании ниже наружного давления;
в) зону, в которой внутреннее давление выше одного наружного давления и ниже другого.
Координаты разделения описываются сомножителями в слагаемых, содержащих разности удельных весов.
Изучив совместное влияние двух давлений наружного воздуха на внутреннее давление в здании, невольно возникает вопрос: «А правильно ли мы в настоящее время определяем инфильтрацию?»
При всех рассуждениях, приведённых в этой и предыдущих статьях, мы рассматривали здание как абстрактное помещение. Это могла быть лестничная клетка, квартира, комната и т. п.
Однако в реальности перечисленные помещения существуют в тесной конструктивной взаимосвязи, например, «лестничная клетка — квартира». Если их рассматривать совместно, то получается, что каждое помещение подвержено по крайней мере двум различным внешним для него давлениям. Лестничная клетка подвержена наружному давлению и внутреннему давлению квартиры, а квартира находится под давлением наружного воздуха и внутреннего давления воздуха лестничной клетки (рис. 5). Внутренние давления этих помещений взаимно влияют друг на друга, и каждое из них обусловливает инфильтрацию в соответствующем помещении.

Если всё это так, то инфильтрация воздуха в квартиру зависит от внутреннего давления в квартире, а не от внутреннего давления на лестничной клетке, как это считается сейчас. Точно так же это относится и к лестничной клетке. Кроме того, отметим, что принимаемые площади, через которые происходит инфильтрация воздуха, обусловливаются координатой нейтральной линии помещения, которая делит площадь ограждения помещения на «инфильтрующую» и «эксфильтрующую» части. Эти площади обычно не равны площади всего ограждения. Возможны случаи, когда рассматриваемое помещение может быть связано своими ограждениями не только с соседними независимыми помещениями, но и само иметь несколько разноориентированных наружных ограждений. Не исключён вариант расположения квартир в зоне разряжения на лестничной клетке и т. п. Допустимы и другие случаи. Например, рассматривать взаимную трансформацию внутренних давлений каждой комнаты в отдельной квартире и установить естественный обмен воздухом между комнатами (комнатами и кухней, санузлом и т. п.).
Естественное разделение здания (помещения) на зоны повышенного и пониженного давлений даёт основания утверждать, что при рассмотрении инфильтрации необходимо учитывать постоянно работающую естественную вытяжную вентиляцию как отверстие, расположенное в помещении в зоне повышенного внутреннего давления (через него воздух удаляется) и влияющее на количество свежего инфильтрирующегося в помещение воздуха (при определении мощности системы отопления затраты теплоты на подогрев этого воздуха не учитываются). Инфильтрация и естественная нерегулируемая вытяжная вентиляция неразрывно связаны между собой и должны рассматриваться вместе.
Вообще, помимо естественной вентиляции, как правило, многие здания обустраиваются механической вентиляцией. В этом случае трудно сбалансировать количество приточного и вытяжного воздуха, определяющее естественное (без механической вентиляции) сбалансированное внутреннее давление в помещении. Несбалансированность сказывается на внутреннем давлении в помещении.
Допустим, что за счёт избытков воздуха (механическая вытяжная вентиляция), покидающего здание, среднее внутреннее давление изменилось на величину –ΔPдоп, тогда будет иметь место:

При «+» на эту величину следует уменьшить внутреннее давление в здание, при «-» — увеличить. Разделив на разность удельных весов наружного и внутреннего воздуха, установим, насколько переместится нейтральная линия по высоте здания. Именно эта линия является характерной, поскольку от неё отсчитываются количества воздуха, поступающего в здание и выходящего из него.
Выводы
Из рассмотренных фактов, влияющих на аэродинамику естественных воздушных потоков в здании, следует, что:
- основным фактором, определяющим воздушный режим здания, помимо температурного, является внутреннее давление, трансформирующееся архитектурной планировкой здания;
- воздушный режим в здании обусловливается не только воздухопроницаемостью наружных ограждений, но и вызванной циркуляцией внутреннего воздуха;
- любое здание подвержено естественному проветриванию, поэтому даже во вновь возведённом строении должны обеспечиваться нормальные санитарно-гигиенические условия воздушной среды за счёт выбора конструкций и материалов ограждений и планировки;
- внутренняя циркуляция воздуха в здании ведёт к уменьшению давления в зоне здания с избыточным давлением и к повышению давления в зоне разряжения (принудительное увеличение циркуляции внутреннего воздуха сокращает инфильтрацию в помещении);
- при расчёте естественной вентиляции помещения необходимо учитывать изменчивость внутреннего давления;
- количество инфильтрующегося в помещение наружного воздуха определяется внутренним давлением в этом помещении, а не давлением на лестничной клетке;
- инфильтрация происходит не по всей поверхности ограждения или площади вертикального проёма (часть поверхности работает на приток воздуха в помещение, другая часть — на удаление);
- проектируемая в здании естественная и механическая вентиляции существенно влияют на инфильтрационные процессы в здании (естественная вытяжка обусловливает количество воздуха, покидающего здание, и, как следствие, изменяет ординату расположения гравитационной нейтральной линии);
- на инфильтрацию влияют:
а) герметичность ограждающих конструкций;
б) пространственная ориентация помещения (здания), количество разноориентированных ограждений в помещении;
в) высота сооружения;
г) наличие внутри здания на пути циркулирующего внутреннего потока воздуха различных архитектурных препятствующих им устройств;
д) наличие в здании архитектурных решений, создающих требуемое движение циркулирующего в здании воздуха; - мероприятия, предлагаемые по сокращению энергозатрат на борьбу с инфильтрационными потерями:
а) лестничные клетки, лифты и лифтовые холлы обособить от здания и поддерживать в них тепловой режим, близкий к наружному;
б) вход в любую квартиру или группу рядом расположенных квартир выполнять непосредственно с улицы;
в) все вертикальные инженерные коммуникации осуществлять в блоках для лифтов, лестниц и т. п.;
г) при необходимости обогрева вертикальных лифтовых и лестничных блоков следует оборудовать их по вертикали межэтажными разделительными преградами;
д) размещать квартиры на этажах по коридорной системе с входом на него из неотапливаемого лифтового холла.