Составляющие теплового баланса помещения
Физический смысл теплового баланса помещения в холодный период года заключается в поддержании постоянной температуры внутреннего воздуха tв [ °C] системами обеспечения параметров микроклимата. Сведение всех составляющих поступления и расхода теплоты определяет дефицит или избыток её в помещении. Тепловой баланс составляется для таких расчётных условий, когда возникает наибольший дефицит теплоты. Наличие дефицита теплоты ΔQ [Вт] показывает следующую количественную характеристику мощности системы отопления [Вт] [1]:
Qот = ΔQ = Qогр + Qин ± Qт-б, (1)
где Qогр — потери теплоты через наружные ограждения, Вт; Qин — расход теплоты на нагрев инфильтрующегося воздуха, Вт; Qт-б — технологические или бытовые поступления (расходы) теплоты, Вт.
Для производственных помещений промышленных зданий в (1) при расчёте мощности систем отопления логично и оправдано определять величину ± Qт-б для периодов технологических циклов с наименьшими тепловыделениями.
Формирование теплового режима в помещениях жилых и общественных зданий во многом отличается от производственных. При продолжительном отсутствии в квартире жильцов, а в общественных зданиях посетителей или обслуживающего персонала какие-либо дополнительные (бытовые) тепловыделения Qт-б отсутствуют. Поэтому они не должны учитываться при расчётах тепловых балансов данных помещений [2, 3], то есть расчётные температурные параметры воздуха должны поддерживаться при отсутствии людей и неработающем бытовом или служебном оборудовании.
Однако в отечественную нормативную литературу для снижения реальной расчётной мощности систем отопления было введено понятие теплового потока, поступающего в жилые комнаты и кухни: 21 Вт на 1 м2 площади пола [4]; затем
он был произвольно уменьшен до 10 Вт на 1 м2 площади пола [1]. Данное положение привело к законодательному нарушению санитарно-гигиенических норм по поддержанию минимальной расчётной температуры в жилых и общественных помещениях. Авторами нормативов по субъективному введению бытового теплового потока при расчёте теплового баланса жилого помещения подменено понятие «энергоэффективность», то есть рациональное и, по возможности, полное использования потенциала искусственно генерируемой энергии, на «энергосбережение», которое осуществляется административными методами.
Поэтому зависимость (1) для жилых и общественных зданий должна иметь следующий вид:
Qот = ΔQ = Qогр + Qин. (2)
Формирование теплового режима в помещениях жилых и общественных зданий во многом отличается от производственных. Например, при продолжительном отсутствии в квартире жильцов, а в общественных зданиях посетителей или обслуживающего персонала какие-либо дополнительные тепловыделения отсутствуют
В сельскохозяйственных зданиях расчётный температурный режим в холодный период года возможно, как правило, создать только за счёт варьирования теплофизическими характеристиками наружных ограждений (пассивных элементов систем обеспечения параметров микроклимата). В процессе жизнедеятельности животные, птицы, хранящееся сочное растительное сырьё (картофель, овощи, фрукты) выделяют явную теплоту: физиологическую Qф или биологическую Q6. Рациональный подбор теплофизических характеристик наружных ограждений позволяет в таких помещениях отказаться от искусственно генерируемой теплоты. Поддержание расчётной внутренней температуры осуществляется за счёт утилизации явной теплоты, то есть помещения эксплуатируются как неотапливаемые с естественными источниками энергии. Для помещений таких энергопассивных производственных сельскохозяйственных комплексов уравнение теплового баланса имеет вид:
Qот = ΔQ = Qогр + Qин – (Qф или Qб) = 0. (3)
Потери теплоты отапливаемыми помещениями через ограждения
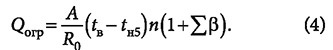
Расчётные трансмиссионные потери теплоты помещением при выборе тепловой мощности определяются как сумма потерь через все ограждения. Количество теплоты, проходящее через каждое ограждение при стационарном режиме Qогр [Вт] определяется по формуле Фурье [1] (расшифровка обозначений в формуле (4) приведена далее в статье):

Основным критерием теплотехнических показателей энергоэффективных зданий должно быть снижение затрат тепловой энергии системами обеспечения параметров микроклимата.
Не претендуя на полноту освещения всех вопросов по эффективному использованию теплоты, предлагаемый в статье анализ физических процессов переноса теплоты через ограждения позволяет уточнить факторы формирования температурного режима помещений.
Рассмотрим соответствие закономерностей переноса теплоты и логики протекания этих процессов по основополагающей формуле (4) некоторым современным широко рекламируемым (в том числе в нормативных источниках) рекомендациям по рациональному использованию подаваемой в помещения тепловой энергии.
Расчётная площадь каждой ограждающей конструкции А [м2] вычисляется с соблюдением определённых условно принятых правил обмера, которые стабильны с первой половины ХХ века. В них заложены особенности переноса теплоты теплопроводностью в каждом из конструктивных видов ограждений.
Положение ограждения относительно наружного воздуха (коэффициент n) учитывается для ограждений, отделяющих отапливаемые помещения от неотапливаемых (чердаки, подвалы, скотные дворы в сельских домах).
Температура в неотапливаемых помещениях всегда выше наружной. Поэтому потери теплоты уменьшаются и соответствуют разности температур (например, для чердака tчер):
tв – tчер = (tв – tн5)n. (5)
Значения понижающего расчётную разность температур коэффициента n, приведённые в нормах [5], несмотря на их ориентировочный характер, показали свою востребованность и необходимость в практических расчётах. Термодинамическая основа коэффициента n показывает возможную степень использования энергетического потенциала теплоносителя системы отопления путём последовательного использования как высокопотенциальной, так и низкопотенциальной энергии. Многие способы наиболее полной утилизации поданной в здание теплоты характерны для индивидуальных зданий, имеющих чердаки, подполья, сени, тамбуры, пристроенные животноводческие помещения. В нормативных документах следует расширить область использования коэффициента n, разработать и внести его значения для многоквартирных домов. Например, значения n отсутствуют: для лифтовых холлов домов с наружными пожарными лестницами, для «тёплых» чердаков с естественной или механической вытяжной вентиляцией, для застеклённых лоджий и т.п.

Об этом цикле статей
Представленный в данном цикле статей анализ методов создания и поддержания теплового режима помещений в холодный период года не является альтернативой общепринятых апробированных практикой методик расчёта, конструирования и эксплуатации систем обеспечения параметров микроклимата. Необходимость анализа современных тенденций формирования комфортного теплового режима помещений вызвана повышением требований по энергосбережению в строительстве. Однако предлагаемые новые решения по экономии тепловой энергии (даже включённые в нормативную литературу) не всегда соответствуют физическим законам тепломассопереноса, санитарным нормам, а иногда и здравому смыслу. При этом, жёстко регламентируя применение одних технических решений, действующие нормы не учитывают их совместную работу с другими элементами эксплуатируемых систем.
Нормативные документы, регламентирующие проектирование и эксплуатацию систем обеспечения параметров микроклимата, должны включать научно систематизированные, физически обоснованные и экономичные схемы систем, порядок их выбора и расчёта, рекомендации по реконструкции объектов, не позволяющие различной их трактовки. С другой стороны, они должны позволять отказываться от одних средств автоматизации и кажущегося «энергосбережения», являющихся обязательными по нормативным документам, на иные, способные повысить энергетические и экономические показатели систем. Этот фактор является особо актуален с учётом появившегося в области принятия инженерных решений не проверенных в отечественной практике зарубежных стереотипов, навязанных рекламой или лоббированием частными компаниями.
Проведённый анализ нормативной и справочной литературы по энергосбережению в строительстве подготовлен в рамках выполнения НИР «Разработка и научное обоснование теплофизических закономерностей переноса теплоты и влаги в неотапливаемых производственных сельскохозяйственных зданиях» с финансированием из средств Минобрнауки России, в рамках базовой части государственного задания на научные исследования.
Разность температуры внутреннего tв и наружного воздуха tн5 [°C] в холодный период года с коэффициентом обеспеченности kоб = 0,92 в формуле (4) определяет максимальную величину переноса теплоты из помещения в атмосферу. Расчётные значения температуры (tв каждого из помещений жилых зданий приведены в нормах [6]. Современная квартира представляет собой единый комплекс обитания семьи, поэтому практически невозможно поддерживать стабильный индивидуальный температурный режим в каждом из помещений, но для фиксации общего количества необходимой подаваемой в квартиру теплоты это различие имеет определённое значение.
Более сложным является расчёт потерь или поступлений теплоты через внутренние ограждения смежных помещений с различной расчётной температурой. Потери или поступления теплоты допускается не учитывать, если разность температуры в этих помещениях не более 3 °С [1]. В научной и справочной литературе не обнаружено теплотехнических и каких-либо иных объяснений субъективному снижению существовавшей ранее разности температур от 5 до 30 °C. Следствием является возникновение ряда практически тупиковых расчётных ситуаций. Например, расчёт нестационарного по функциональному назначению температурного режима ванных, совмещённых туалетов (25 °C) и окружающих помещений (18-20 °C).
Не изученной до практического внедрения является методика нормирования и теплофизического расчёта количественных показателей ограждений между смежными помещениями с различной расчётной температурой.
Они важны не только по количественным характеристикам переноса теплоты, но и по стабилизации влажностного состояния внутренних ограждений. Необходимым и обязательным условием должна быть недопустимость наблюдаемой на практике конденсации водяных паров на внутренних поверхностях ограждений смежных помещений с более высокой температурой. Характерный пример, ограждение между кухней tв = 20 °C) и лестничной клеткой в многоэтажных домах с лифтовыми холлами tв = 16 °C) и в жилых домах с неотапливаемыми лестничными клетками tв = 5 °C). Только для единственного последнего случая СНиП 23-02-2003 [5] при разности расчётных температур смежных помещений 6 °С и более обязывает нормировать и, соответственно, конструктивно менять ограждающие конструкции.
Ориентированные на другие стороны горизонта наружные ограждения получают в холодный период года меньшее количество лучистой энергии, вследствие чего их наружные поверхности имеют более низкую температуру и потери теплоты через них увеличиваются
Добавки к основным потерям теплоты отапливаемых помещений (Σβ, доли), то есть определение реальных потерь теплоты отапливаемым помещением, относится до настоящего времени к наименее изученному, субъективно трактуемому вопросу. Количественные характеристики добавок к основным потерям теплоты составляют [1]:
Σβ = βст.г + βн.д + βt. (6)
Добавки на ориентацию по сторонам горизонта βст.г, согласно нормам, принимаются на все вертикальные и наклонные (проекции на вертикаль) ограждения. Условно из-за наличия солнечной радиации за расчётную принята ориентация наружных ограждений на юг и юго-запад (βст.г = 0). Считается, что ориентированные на другие стороны горизонта наружные ограждения получают в холодный период года меньшее количество лучистой энергии, вследствие чего их наружные поверхности имеют более низкую температуру и потери теплоты через них увеличиваются. В то же время наиболее холодный период суток приходится на ночные и предутренние часы при отсутствии лучистого теплопритока, а теплоинерционность непрозрачных ограждающих конструкций препятствует колебаниям суточных температур их внутренних поверхностей. Данные добавки βст.г существуют с начала прошлого века [3], считаются традиционными и незыблемыми, однако они противоречат физическому смыслу процесса определения максимального дефицита теплоты в помещении и не должны учитываться при расчётах мощности систем отопления.
В понятие добавок βст.г одновременно включены величины, имеющие иной физический смысл и которые следует учитывать в расчётах. Например, в общественных, административнобытовых и производственных, включая сельскохозяйственные, зданиях при наличии двух и более наружных стен добавка βст.г = 0,05 (увеличение потерь теплоты в углах). В помещениях жилых зданий с двумя наружными стенами добавка βст.г = 0, но она заменена увеличением расчётной температуры воздуха в угловых помещениях на 2 °C. Для горизонтально расположенных наружных ограждений применяется добавка βст.г = 0,05 для необогреваемых полов при температуре холодной пятидневки tн5 < -40 °C.
Имеются добавки на поступление наружного воздуха при открывании наружных дверей βн.д, не оборудованных воздушными или воздушнотепловыми завесами. При определении добавок на открывание дверей следует учитывать два обстоятельства. Во-первых, в современных многоквартирных жилых домах и в общественных зданиях внутренние лестничные клетки или отсутствуют из-за наличия наружных пожарных путей эвакуации или при их наличии они непосредственно не контактируют с атмосферой. Для таких зданий βн.д = 0. Во-вторых, добавки на открывание дверей физически правильно учитывают изменение их теплотехнических показателей в зависимости от конструктивного исполнения входа в здание. Однако термин «кратковременное открывание дверей» зависит в жилых и общественных зданиях от количества проживаемых в подъезде людей или количества посетителей в общественных зданиях (от частоты открывания наружных дверей). Этот факт следует конкретизировать и включить в количественное обоснование добавки внд. Некоторые исследователи в качестве рекомендации предлагают для общественных зданий принимать βн.д = 5,0-6,0 [7].
Добавки на высоту помещения βt необходимы в расчётах потерь теплоты верхней части помещений высотой hпом [м], где температура воздуха tв выше, чем в рабочей зоне, то есть тепловой контур верхней части помещений теряет теплоту при более высоких значениях (tв - tн5), чем расчётная. На практике на каждый метр высоты помещения сверх 4 м добавка увеличивается на 0,02, то есть βt = 0,02(hпом - 4).
Максимальная величина βt не должна быть более 0,15. Для лестничных клеток βt на высоту не принимаются, так как расчётное количество теплоты для лестничных клеток от систем отопления выделяется на уровне нижних этажей и конвективными токами воздуха равномерно распределяется по высоте. Отсутствие конкретных значений βt в нормативных документах влечёт необходимость проведения расчётов распределения температуры воздуха по высоте помещений с различным функциональным назначением и снижает точность расчётов теплопотерь.
Заключение
Проведённый анализ реальных потерь теплоты при расчётах энергоэффективных систем обеспечения параметров микроклимата показал:
1. Максимальный дефицит теплоты в холодный период года в отапливаемых помещениях необходимо определять: в промышленных — по формуле (1); в жилых и общественных — по (2); в производственных сельскохозяйственных помещениях — по (3).
2. При расчётах потерь теплоты по зависимости (4) требуется: расширить области использования коэффициента n (для многоквартирных домов и иных встречающихся в практике случаев); разработать методы нормирования и теплофизического расчёта ограждений между смежными помещениями с различной внутренней температурой, восстановив её минимальную разность до 5-6 °C.
3. В процессе определения добавочных коэффициентов при расчёте дефицита теплоты в помещении по зависимости (6): исключить добавочный коэффициент на ориентацию по сторонам горизонта βст.г; уточнить значения добавочных коэффициентов на открывание дверей βн.д и на высоту помещений βt для жилых и общественных зданий.
Далее будет опубликован материал под рабочим названием «Тепловая защита зданий».