Табл. 1. Параметры микроклимата в основных помещениях плавательных бассейнов
Табл. 2. Содержание влаги в воздухе при различных температурах, разном воздухообмене в помещении бассейна в течение года в зависимости от параметров наружного и внутреннего воздуха и температуры воды в ванне
Табл. 3. Значения интенсивности испарения на основании формулы стандарта VDI 2089
Требования к микроклимату
Особенностью технологии создания микроклимата в бассейне является борьба с повышенной влажностью в помещении, связанной с испарением воды с больших площадей влажной поверхности, включая собственно зеркало воды, обходные дорожки и т.п. Требования к микроклимату бассейна изложены в следующей нормативной документации: СанПиН 2.1.2.1188–03 [1], СНиП 2.08.02–89* [2], СНиП 2.04.05–91* [3], пособие к СНиП 02.08.02–89 по проектированию плавательных бассейнов [4], СП 31113–2004 [5].
Наиболее полным и обобщающим документом является СП 31113–2004. Целесообразно привести выдержку из требований к параметрам микроклимата в основных помещениях плавательных бассейнов, используя материалы СНиП 2.08–89* и СанПиН 2.1.2.11–88.Системы воздухообмена в залах ванн бассейнов должны исключать образование застойных зон при преобладании вытяжки над притоком (≤ 0,5кратного обмена).
Расчетная температура в зоне размещения зрителей может быть снижена до 20 °C. Подвижность воздуха в зонах пребывания занимающихся: в залах ванн бассейнов — ≤ 0,2 м/с (в т.ч. для оздоровительного плавания и обучения не умеющих плавать) и в залах для подготовительных занятий — ≤ 0,5 м/с.Относительная влажность воздуха должна быть: 50–65 % — в залах ванн бассейнов и 30–60 % — в залах для подготовительных занятий. Нижние пределы относительной влажности приведены для холодного периода года при температурах, указанных в табл. 1. Некоторые рекомендации, отражающие особенности требований к микроклимату в бассейне:
- при теплотехническом расчете ограждающих конструкций залов ванн бассейнов относительную влажность следует принимать 67 %, а температуру 27 °C;
- при применении клеедеревянных конструкций в зоне их расположения должна круглосуточно и круглогодично поддерживаться относительная влажность не менее 45 %, а температура не должна превышать 35 °C;
- нагревательные приборы и трубопроводы в залах ванн бассейнов (в т.ч. для оздоровительного плавания и обучения не умеющих плавать) и в залах для подготовительных занятий не должны выступать из плоскости стен на высоте до 2 м от пола, кроме того, во всех помещениях, где пребывают обнаженные люди, положение нагревательных приборов и трубопроводов отопления должно исключать возможность получения ожогов — в помещениях с влажным и мокрым режимами устройство ниш в наружных стенах для размещения нагревательных приборов не допускается, а если элементы вентиляционных систем (воздуховоды, решетки), а также нагревательные приборы и трубопроводы выступают из плоскости стен или вынужденно устанавливаются на высоте до 2 м от пола, их закрывают щитами или иными средствами, исключающими ожоги и другие возможные травмы занимающихся, причем конструкция защитных устройств не должна снижать функциональные качества отопительно-вентиляционных систем;
- обходные дорожки и стационарные скамьи бассейнов, а также полы водной зоны аквапарка подлежат обогреву;
- в залах ванн рекомендуются системы воздушного отопления, совмещенные с системами вентиляции воздуха — в таких системах допускается применение рециркуляции воздуха, при этом объем подаваемого наружного воздуха не должен быть менее указанного в табл. 1.
Для уменьшения испарения подвижность воздуха у поверхности воды должна быть минимальной. Цель вентиляции — обеспечение комфортных условий для посетителей и предохранение конструкции от преждевременного разрушения. Особенно важно это в холодное время года, когда металлические конструкции страдают от переувлажнения и конденсации влаги.
Проникая в незащищенные бетонные конструкции, она разрушает их вследствие циклических колебаний температуры. Кроме того, вода бассейна содер жит повышенное количество окислителей (хлор, озон), которые повышают коррозионную активность испарений. Так же, как и в предыдущих статьях, не будем останавливаться на системах, предназначенных для небольших частных бассейнов, а рассмотрим в первую очередь технологические схемы, целесообразные для общественных бассейнов и аквапарков.
В связи с этим не рассматривается и вопрос применения отдельных осушителей, устанавливаемых в помещении ванны бассейна.
Алгоритм проектирования
Тепловые потери через ограждающие конструкции компенсируются отоплением здания как радиаторными системами, так и подогревом обходных дорожек. Влага, испаряющаяся с поверхности воды, обходных дорожек, с тел занимающихся и т.п., является основным «вредным» веществом, по которому и рассчитывается необходимый воздухообмен.Естественно, испарение влаги с поверхности самого бассейна, с поверхностей увлажненных материалов и предметов в помещении является основным фактором, влияющим на влажность окружающего воздуха.
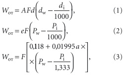
Интенсивность испарения зависит от площади водоема, температуры воды, влажности воздуха, скорости воздушного потока и активности занимающихся. Для расчета количества испаряющейся влаги существует достаточно много расчетных формул, в т.ч. и эмпирических:

где Wот — количество влаги, испаряющейся с открытой водной поверхности плавательного бассейна, кг/ч; F — площадь открытой водной поверхности, м2; А — эмпирический коэффициент, учитывающий наличие занимающихся; d — коэффициент испарения, кг/(м2⋅ч⋅кг) влаги, d = (25 + 19V); V — скорость воздуха над поверхностью воды, м/с; dw, di — влагосодержание насыщенного воздуха и воздуха при заданной температуре и влажности, соответственно (г/кгсухого воздуха); pw и pi — давление водяных паров насыщенного воздуха в бассейне при заданной температуре и влажности воздуха, мбар; e — эмпирический коэффициент, равный 0,5 для закрытых поверхностей бассейна, 5 — для неподвижных открытых поверхностей бассейна, 15 — для небольших частных бассейнов с ограниченным временем использования, 20 — для общественных бассейнов с нормальной активностью занимающихся, 28 — в случае больших бассейнов для отдыха и развлечений, 35 — для аквапарков со значительным волнообразованием; а — коэффициент занятости бассейна людьми, принимаемый 0,5 для больших общественных бассейнов, 0,4 — для бассейнов отелей, 0,3 — для небольших частных бассейнов.
По рекомендации П.П. Антонова [8], наиболее универсальной является формула (2), в которой эмпирический коэффициент е дает возможность учесть наиболее высокую интенсивность испарения в бассейнах с активными играми, горками и значительным волнообразованием, а также в малых индивидуальных плавательных бассейнах. Также в суммарном расчете количества испаряющейся влаги учитывается влага со смоченной поверхности и с тел людей. Далее расчет системы вентиляции ведется на основании тепло-влажностного баланса по [6], используя формулу:

где Wвл — суммарное количество влаги, выделяемой в помещение, кг/ч; dпр — влагосодержание приточного воздуха,г/кг; dп — влагосодержание воздуха в помещении, г/кг; Qизб — количество избыточного тепла в помещении, кДж/ч;C — весовая теплоемкость воздуха, кДж/(кг⋅°C); tп — температура воздуха в помещении, °C; tпр — температура приточного воздуха, °C. Кондиционирование воздуха обусловлено необходимостью сохранять неизменными tп и dп при вероятных изменениях Wвл и Qизб. Поддерживая постоянным количество вводимого в помещение воздуха, приходится непрерывно менять величины dпр и tпр. Количество воздуха G, поступающего в рабочую зону с выделением влаги, составляет

где n — коэффициент, учитывающий долю тепла, поступающего в помещение (при отсутствии опытных данных принимается n = 1); Wвл — количество выделяющейся в помещение влаги, кг/ч;dр.з — влагосодержание воздуха в рабочей зоне, г/кг; dпр — влагосодержание приточного воздуха, г/кг.Количество воздуха, поступающего в рабочую зону, с одновременным выделением влаги и тепла, определяется по следующей формуле:

где m — коэффициент, учитывающий долю тепла, поступающего в помещение (при отсутствии опытных данных принимается m = 1); Q — количество избыточного тепла, подлежащее удалению, кДж/кг; Iр.з — теплосодержание воздуха в рабочей зоне, кДж/кг; Iпр — теплосодержание приточного воздуха, кДж/кг.Для предотвращения конденсации влаги на внутренней поверхности окон отопительные приборы должны устанавливаться непрерывной цепочкой под ними, чтобы внутренняя поверхность стекол была нагрета на 1–1,5 °С выше температуры tт.р точки росы, которую удобно вычислять по эмпирической формуле:

либо сканировать с J–d-диаграммы, для теплого периода tт.р = 18 °C, для холодного tт.р = 16 °C. Подбор оборудования ведется в расчете на максимальный (расчетный) объем свежего воздуха, необходимый для подачи в помещение. Приведем некоторые вспомогательные данные на основе сайтов компаний, полезные при расчетах систем вентиляции бассейнов.
В табл. 2 указаны значения интенсивности испарения, полученные на основании формулы стандарта VDI 2089, рекомендуемого Обществом немецких инженеров для расчета размеров закрытых плавательных бассейнов, и полезные в случае необходимости быстрого подбора оборудования. В табл. 3 ЗАО «Инженерное оборудование» (авторы А. Алексашин, Р. Овчинников, С. Титаев) представлены практические данные по влагосодержанию воздуха при различных температурах и показано, как в зависимости от параметров наружного и внутреннего воздуха и температуры воды в ванне меняется воздухообмен в помещении бассейна в разные периоды года.
Данные по влагосодержанию воздуха можно использовать при расчете количества испаряемой влаги.
Технологические схемы
Технологические схемы системы вентиляции бассейнов предусматривают приток и вытяжку с механическим побуждением. Организация воздушных потоков зависит от конструктивных особенностей здания. Приток для исключения конденсации влаги на конструкциях организуется, как правило, восходящим потоком вдоль стен, окон, витражей, при этом температура приточного воздуха принимается с небольшим перегревом.
Вытяжку устраивают из верхней зоны бассейна и направляют через вытяжной агрегат целиком на выброс либо на секцию смешивания, где рекуперативный теплообменник понижает температуру выбрасываемого воздуха и удаляет из подаваемого в рабочую зону воздуха избытки влаги. Одним из важнейших требований при организации потоков является исключение застойных зон, которые могут стать источником неприятностей, связанных с конденсацией влаги, и привести к повреждению конструкций.
Приточные и вытяжные системы могут быть раздельными или совмещенными, с рекуперацией или без нее, с блоком кондиционирования или без него. Опыт проектирования и эксплуатации бассейнов, созданных по программе правительства Москвы от 27.10.1998 г., показал, что обеспечить микроклимат любой из этих схем можно при условии правильного подбора вентиляционного оборудования. На выбор схемы в значительной степени влияет ее стоимость.
При использовании раздельных приточных и вытяжных блоков без рекуперации и кондиционирования возможно применение более дешевого оборудования. Меньший набор агрегатов, задействованных в процессе вентиляции, в общем случае повышает надежность работы систем и простоту обслуживания. Но при этом регулировка систем, их увязка, переход на различные режимы осуществляются с помощью специально разработанного программного обеспечения или требуют хорошо подготовленного эксплуатационного аппарата.
Также такие упрощенные системы не позволяют рационально использовать тепловую энергию. Схема с рекуперацией тепла, тем более с кондиционированием, требует применения более дорогого оборудования, сложной автоматики и разветвленной системы воздуховодов, но позволяет экономить тепловую энергию и с большей надежностью регулировать климатические параметры в рабочей зоне. При этом раздельные системы не представляют интереса, так как реализуют стандартные решения в любой вентиляционной системе.
Оборудование для систем вентиляции бассейна
Не претендуя на полноту обзора оборудования, представим некоторые их образцы. При использовании раздельных приточных и вытяжных установок применяются, например, установки фирм «ВЕЗА», Clima и аналогичные, укомплектованные стандартными технологическими блоками (вентилятор, фильтр, глушитель и пр.). Комплексное решение по оборудованию для вентиляции бассейнов предлагается несколькими фирмами, представленными на нашем рынке (информация дается по соответствующим каталогам).
1. Фирма Dantherm (Дания) и ее агрегаты линии DanX — блочная структура агрегатов DanX позволяет создавать установки, со следующими секциями: пластинчатый теплообменник с байпасом или ротационный теплообменник (по выбору); реверсивный тепловой насос типа «воздух–воздух»; дополнительный охладитель (второй компрессорный блок); двухскоростной вентилятор с частотным регулированием; смеситель (для рециркуляции); приточные и вытяжные фильтры; калорифер (электрический или водяной); электронная панель управления, обеспечивающая возможность подключения к автоматизированной системе. При комфортном кондиционировании и использовании оборудования в плавательных бассейнах рекомендуется предусматривать тепловой насос для повышения температуры приточного воздуха до температуры вытяжного воздуха или выше.
Возможна установка вентиляторов на одной или разных сторонах теплообменника, а также фильтров различных классов, датчиков перепада давления на фильтрах и др.В основу всей системы положен теплообменник из анодированного алюминия с дополнительным эпоксидным покрытием, позволяющий экономить до 75 % энергии. В случае использования вентиляционной системы в агрессивной среде плавательного бассейна или в промышленном производстве специальное покрытие наносится и на другие компоненты.
Главное преимущество агрегатов DanX (данные компании) — возможность оснащения теплообменника тепловым насосом, который не только обеспечивает максимальное энергосбережение в зимний период и эффективное охлаждение воздуха летом, но и осушать воздух в плавательных бассейнах. Тепловой насос представляет собой холодильную машину с испарителем на стороне вытяжки и конденсатором на стороне притока.
Зимой тепловой насос догревает приточный воздух до требуемой температуры, перекачивая тепло из вытяжного воздуха в приточный, летом по команде автоматики конденсатор и испаритель меняются ролями и, в дополнение к теплообменнику, охлаждают и осушают приточный воздух.
2. Фирма Frivent (Австрия) — установки для вентиляции общественных бассейнов AquaVent DPHWP. AquaVent DPHWP — вентиляционные установки с трехступенчатой утилизацией тепла, со встроенной реверсивной холодильной машиной и конденсацией влаги в испарителе. Возможны следующие режимы работы:
- Нормальный с осушением — установка работает в режиме притока, вытяжки и рециркуляции воздуха. Скорость вентиляторов максимальная. Вытяжной воздух предварительно охлаждается в теплоутилизаторе, затем осушается и смешивается с наружным в приточной камере. Выделенное тепло можно использовать для нагрева воды в бассейне.
- Переходный и летний с осушением или без него — при перегреве воздуха в бассейне и при высокой температуре внешнего воздуха компрессор теплового насоса отключается и установка просто вентилирует бассейн. Скорость вентиляторов регулируется автоматически.
- Дежурный с осушением — установка работает в режиме рециркуляции воздуха, осушение — как в нормальном режиме. Скорость вентиляторов регулируется автоматически.
- Дежурный без осушения, или режим быстрого прогрева — установка работает в режиме рециркуляции, компрессор не работает. Скорость вентиляторов минимальная (или максимальная — в режиме быстрого осушения). Водяной калорифер поддерживает заданную температуру воздуха.
- Аварийное осушение при неисправности компрессора — расход внешнего воздуха увеличивается до 100 % в соответствии с потребностями осушения. Водяной калорифер поддерживает заданную температуру воздуха.