Вступление
Для проектирования, подбора и оптимизации систем HVAC (heating, ventilating and airconditioning — отопления, вентиляции и кондиционирования воздуха) широко используются различные программы моделирования микроклимата в помещении, включающие и расчеты энергопотребления. Результаты расчетов и моделирования, бесспорно, зависят от входных параметров, в том числе граничных условий. Имеющиеся отечественные нормативные документы [1, 2, 3] содержат, по нынешним меркам, весьма ограниченный набор данных, которые к тому же давно не обновлялись.
Это не позволяет на современном уровне заниматься проектированием систем HVAC и решать задачи энергосбережения, тогда как повышение энергоэффективности становится одной из самых актуальных задач в наше время. В России — в силу исторически сложившихся низких цен на энергию — вопросы энергосбережения не стояли так остро, как на Западе.
Однако отдельные предложения, направленные на повышение энергоэффективности зданий, имели место. Так, например, в [4] было предложено интересное, наглядное и сравнительно несложное решение, основанное на совмещении i–dдиаграммы влажного воздуха с многообразной климатической информацией. Это позволяло оценивать годовую потребность в теплоте и холоде систем HVAC и определить некоторые техникоэкономические показатели.
Тем не менее, в мировой практике это предложение, как и ряд других, не нашло широкого применения. Кроме того, вопрос об источниках и репрезентативности исходных климатических данных не ставился, что существенным образом влияет на точность и содержательность получаемых результатов. Энергоэффективность зданий должна рассчитываться в соответствии с некой стандартной методикой, отсюда следует необходимость выбора и детализации некоторого «среднего» стандартного года.
Современные методы компьютерного моделирования, примером реализации которых являются системы EnergyPlus в США, RETScreen в Канаде и др., требуют достоверных почасовых метеорологических данных за один год. Этот набор данных должен включать: температуру приземного воздуха (DBT — drybulb temperature — температуру по сухому термометру, °C), общую солнечную радиацию (GSR — global solar radiation, Вт/м2), относительную влажность (RH — relative humidity, %), направление и скорость ветра (WS — wind speed, м/с).
В некоторых случаях имеется потребность в дополнительных климатических данных, например, толщина снежного покрова, температура почвы, концентрация газов (CO, CO2, O3), пыльцы и т.д.Кроме этого, каждый год климатические условия различны. За последние сто лет среднее глобальное потепление составило 0,74 °C, а в России и того больше — 1,29 °C, причем в основном этот процесс пришелся на последние 30 лет [5]. Поэтому, существующие метеорологические данные, используемые при проектировании систем HVAC, следует применять весьма осторожно.
Климатические данные для энергетических расчетов
В большинстве случаев, некий контрольный, или эталонный год для энергетических расчетов должен представлять массив из 365дневного ряда почасовых значений вышеперечисленных параметров (температура, солнечная радиация, влажность, направление и скорость ветра и др.). Причем эти параметры должны быть наиболее близки к средним многолетним значениям.
За последние 30 лет было предложено несколько вариантов наборов таких данных — reference year, которые можно перевести как «эталонный год» или «справочный год». До недавнего времени при формировании контрольного климатического года использовались только ежедневные значения параметров. Развитие компьютерной техники позволило использовать для расчетов почасовые значения климатических параметров и значительно повысить качество математического моделирования.
Самым простым типом базы данных является ряд долгосрочных средних ежемесячных параметров, обычно за 10–30летний период. Именно такого рода данные приведены в отечественных нормативных документах [1, 2, 3], что, как говорилось выше, не отвечает современным требованиям к решению задач энергосбережения. Поэтому такие параметры часто используются только как проверочные, когда предлагаются новые наборы данных для моделирования и энергетических расчетов.
В Северной Америке одним из самых ранних (1976 г.) почасовых наборов погодных данных стал «Испытательный справочный год» (test reference year — TRY), разработанный NCDC (National Climatic Data Center) для использования в моделировании и расчетах [6]. Однако исходные данные TRY не включали солнечного излучения. Другой слабостью был метод выбора данных TRY. Метод последовательно исключал годы с месяцами, имевшими экстремально высокие или низкие средние температуры.
Но при этом была учтена актуальность того или иного месяца, например, самый жаркий июль и самый холодный январь, как правило, были самыми актуальными, а самый холодный октябрь и самый теплый апрель — наименее актуальными. В результате отбора оставался один как бы самый «умеренный» год, который является фактическим историческим климатическим годом в период наблюдений (приблизительно 1948–1975 гг.).Затем в 1981 г. был введен новый набор климатических данных, названный «типичный метеорологический год» (typical meteorological year — TMY) [7].
Он состоит из двенадцати так называемых «типичных метеорологических месяцев» (typical meteorological months — TMM), выбранных из многолетней базы данных (приблизительно 1952–1975 гг.). Отбор ТММ основан на статистическом анализе и оценке четырех климатических параметров: общая солнечная радиация (GSR), температура по сухому термометру (DBT), температура точки росы (dewpoint temperature — DPT) и скорость ветра (WS).
Данные по солнечной радиации с 26 метеостанций США были фактическими (т.е. измеренными), а для других 208 станций эти данные были вычислены на основании продолжительности и типа облачного покрова. Месяцы отбирались по сложной методике с использованием статистической величины FinkelsteinShafer (FS) [8] и с учетом следующих ежемесячных весовых коэффициентов w: для общей солнечной радиации — 12/24; для средних дневных значений DBT, DPT, WS, а также максимальной суточной скорости ветра — по 2/24; для максимальных и минимальных суточных значений DBT и DPT — по 1/24. В результате были отобраны месяцы, которые были наиболее близки к средневзвешенному по многолетним наблюдениям.
Таким образом, данные TMY содержат месяцы из нескольких разных годов. Позже набор данных TMY был обновлен до версии TMY 2 на основании нового периода наблюдений (1961–1990 гг.) [9].Для повышения достоверности климатических данных и представления климатических типов — в отличие от единственного года (TRY) или подборки месяцев (TMY) — ASHRAE (American Society of Heating, Refrigerating and AirConditioning Engineers) в 1985 г. утвердило научно-исследовательскую работу, в которой предложен климатический набор данных «климатический год для энергетических расчетов» (weather year for energy calculations — WYEC) [10].
Суть метода, используемого для выбора данных для WYEC, заключается в определении каждого месяца года как реального месяца с почасовыми данными, у которого средняя температура воздуха по сухому термометру была бы самой близкой к средней температуре этого месяца за 30летний период наблюдений. Причем, если средняя температура месяца отличается от средней по результатам долгосрочных наблюдений более, чем на 0,1 °C, то подставляются отдельные дни этого месяца других лет, чтобы отклонение от средней долгосрочной температуры не превышало 0,1 °C.
Таким образом, выбранный месяц может содержать климатические данные дней этого месяца, но разных лет. Позже Национальная лаборатория возобновляемой энергии (NREL — National Renewable Energy Laboratory) модернизировала набор данных WYEC до WYEC 2 [11].«Канадский климатический год для энергетических расчетов» (Canadian weather year for energy calculations — CWEC) [12] использует процесс подбора, аналогичный TMY, но с другими весовыми коэффициентами, используя базу данных по результатам наблюдений на 145 метеорологических станциях.
За пределами США и Канады директивой к разработке типичных лет с использованием доступных метеорологических данных служит новый международный стандарт ISO 159274 [13], введенный в 2005 г. Были предложены и проверены т.н. «“европейский” испытательный справочный год» (TRY) и «проектируемый справочный год» (design reference year — DRY). TRY используются для определения затрат энергии, необходимой для эксплуатации здания в течение года.
«Европейский» TRY подобен упомянутому выше TMY [7]. Метод выбора основан на температуре сухого термометра, интенсивности солнечного излучения и относительной влажности (но не скорости ветра). В TRY включены месяцы с самыми низкими отклонениями от средних значений, т.е. TRY собирается последовательным соединением воедино характерных средних месяцев за определенный период.
Таким образом, TRY является средним годом. Способ выбора характерного усредненного месяца осуществляется с использованием статистического числа FS [8].В наборе данных DRY, в отличие от TRY, выполнено регулирование отобранных месяцев с целью лучшего приближения к среднемесячным показателям. Для этого были использованы те же параметры — температура сухого термометра, солнечное излучение и влажность (без скорости ветра), и отдельные дни выбранного месяца были замены днями других лет того же самого месяца.
В зависимости от климата конкретной местности или типа здания, а также от полноты климатологической базы многолетних наблюдений, рекомендации международного стандарта по формированию TRY (или DRY) в каждом конкретном случае интерпретируются с учетом этих особенностей. Накопленный опыт вариативности использования рекомендаций ISO представляется очень ценным при формировании TRY в будущем.
Это является особенно актуальным для России, где работа по формированию TRY еще предстоит, очевидно, в рамках существующих и вновь формируемых некоммерческих организаций, получающих статус СРО (саморегулируемых организаций) в области строительства и его инженерного обеспечения (отопление, вентиляция, кондиционирование воздуха). Актуальность данной задачи определяется широким многообразием климатических условий на территории России (от субтропических до арктических).
Ниже отметим некоторые интересные детали формирования «справочного года» в ряде стран. В Японии общество SHASE (Society of Heating, Airconditioning and Sanitary Engineers of Japan) разработало новый климатический массив, который является расширением «Автоматической системы сбора метеорологических данных» (Automated Meteorological Data Acquisition System — AMeDAS) [14]. Климатические данные AMeDAS подобны TRY (европейский), DRY и TMY, и были собраны за 15 лет.
Для 69 китайских метеостанций на базе 16летней климатической истории (1982–1997 гг.) был разработан массив «типичный метеорологический год» [15] с использованием методики, близкой вышеупомянутой методике TMY.TRY для Италии, Франции, Португалии, Соединенного Королевства, Ирландии, Бельгии, Нидерландов и Дании сформированы по методике, согласованной в Европейском экономическом сообществе, и с незначительными отличиями — для Чехии, Словакии, Греции, Турции, России (Санкт-Петербург), Венгрии, Египта, Сирии [16].
В Эстонии [17] анализ был проведен по шести метеостанциям, однако только на одной из них (в г. Тарту) в течение достаточно длительного периода времени проводились измерения солнечной радиации. Поэтому месяцы TRY отбирались на этой метеорологической станции. Но чтобы гарантировать, что выбранный TRY представляет климат всей Эстонии максимально точно, в данных многолетних (за 31 год) наблюдений представлены температура и влажность со всех шести метеостанций.
В наборе «Международного климатического года для энергетических расчетов» (international weather year for energy calculations — IWEC) [18] акцент был смещен на общее солнечное излучение 40 % и температуру по сухому термометру 30 %, а доля остальных параметров была не более 5 % (максимальная и минимальная температуры по сухому термометру, максимальная и средняя скорости ветра, средняя температура точки росы — по 5 %, максимальная и минимальная температуры точки росы — по 2,5 %).
Заметим, что это далеко не полный перечень стандартизированных наборов климатических данных. В литературе также можно встретить аналогичные массивы: EWY (example weather year, Соединенное Королевство), SAMSON (Solar and Meteorological Surface Observational Network, США), SRY (short reference year, Европа), SWY (standard weather year, Япония) и др.
Помимо этих стандартизированных методов обработки метеорологических данных и подбора «справочного года», в некоторых странах разработаны собственные методы, которые являются либо модификациями общих методов, либо вообще совершенно новы. В качестве примера обратимся к нашему ближайшему соседу — Финляндии [19]. Там «справочным годом» для Хельсинки является фактический исторический год (1979 г.).
Он был отобран, главным образом, на основе ежемесячных средних температур сухого термометра и суммарных уровней солнечной радиации, но кроме этого, были учтены количество отопительных градусодней (HDD — heating degreeday), а также ежедневные и почасовые колебания температуры и солнечной радиации. Также целый год был выбран как TRY (типа NCDC [6] для Стокгольма и Мальме (Швеция), Валенсии (Испания) и др.
Для Гонконга был разработан TMY [20], который отличается от рекомендаций первоисточника [7] не только весовыми коэффициентами w (в данном случае для GSR — 1/2; для DBT, DPT, WS — по 1/6). Принципиальными особенностями являются, во-первых, то, что в расчет принимались не среднесуточные значения этих климатических параметров, а почасовые.
И, во-вторых, помимо статистического числа FS [8], которое определяется по амплитуде частоты интегрального распределения, также использовался для анализа и отбора типичных месяцев критерий Колмогорова-Смирнова (KS) [21], определяемый по максимальному отклонению. Итак, в настоящее время для моделирования и энергетических расчетов, для проектирования энергосберегающего оборудования и систем, а также для других приложений практически во всех развитых (и не очень) странах на базе многолетних метеорологических наблюдений сформированы наборы климатических данных. В России эта работа еще не выполнена.
Исключение составляет только Главная геофизическая обсерватория (ГГО) им. А.И. Воейкова, где сформирован TRY для Санкт-Петербурга.
Источники метеорологических данных
Зачастую имеющиеся метеорологические данные не соответствуют формату, используемому в процессе выбора «справочного года». Поэтому исходные данные должны быть тщательно проверены и при необходимости обработаны. При нехватке данных они должны быть дополнены с помощью линейной интерполяции или иной приблизительной оценки. Внезапные, нехарактерные скачки должны быть исследованы и исправлены.
Если исходные данные измерялись не через час, а через три (трехчасовые), то недостающие значения тоже должны быть определены путем линейной интерполяции [13].К сожалению, для многих мест за пределами США, Канады, Западной Европы и Японии исходные метеорологические данные, пригодные для расчетов и моделирования, вообще отсутствуют. Крупнейшими компаниями, предлагающими платные почасовые и ежедневные климатические данные, являются Weatherbank и Meteonorm.
В первой базе почасовые данные доступны с 1994 г., а в некоторых случаях еще раньше. Некоторые неполные данные дополнены с помощью интерполяции. Базы Meteonorm включают данные примерно в 1961–1990 гг. с 7400 метеостанций, но из них лишь тысяча имеет данные по солнечной радиации. Наша страна представлена в базе Meteonorm более чем 500 метеостанциями.
База данных INSWO (International Surface Weather Observations — «Международные климатические наблюдения у поверхности») содержит почасовые синоптические данные, начиная с 1982–1997 гг., приблизительно от полутора тысяч международных метеостанций.В центральной и южной Европе проводятся исследования по разработке систем пассивного охлаждения зданий.
Для этих исследований используется, главным образом, программа PASCOOL [22], частью которой являются массивы TMY для многих городов: Афины (Греция), Любляна (Словения), Будапешт (Венгрия), Перпиньян и ЛаРошель (Франция), Малага, Мадрид и Севилья (Испания), Женева и Цюрих (Швейцария), София (Болгария) и много других. Также имеются массивы «европейских» TRY.
Многие сайты в Интернете предлагают исходные данные на безвозмездной основе, однако, такая информация практически никогда не имеет гарантий точности, надежности, законченности, обновлений, широкого диапазона местоположений и т.д. Все необходимые данные, включая солнечное излучение, в настоящее время свободно доступны в Сети только для некоторых американских метеостанций.
Для других областей мира большая часть данных отсутствует. Например, могут быть представлены только средние температуры месяцев и количество осадков, а дополнительная информация отсутствует. Поэтому в Интернете практически невозможно найти полные базы с почасовыми данными за достаточно долгий период. Например, система EnergyPlus — содержит измеренные данные за прошлые 5 лет, часто с недостающими данными, которые следует дополнять специальной программой.
Из городов Российской Федерации в базе присутствует только Архангельск, Москва и Санкт-Петербург, а из них, например, почасовые данные по Санкт-Петербургу присутствуют только за два года (1997–1998 гг.). Несравнимо большее количество метеостанций с исходной климатической информацией представлено на сайте «Погода России», но вместо почасовых данных там представлены, в лучшем случае, трехчасовые (как это регламентировано в [2] за период не ранее 1998 г.).
В кратком обзоре [23] перечислены часто используемые массивы климатических данных, включая их источник и число метеостанций во всем мире (см. таблицу). По первому и третьему столбцам можно увидеть, для каких случаев какой тип данных лучше использовать. Например, многолетние экстремальные данные рекомендуется использовать для подбора оборудования по мощности, а типичный год климатических данных — для определения долгосрочных характеристик и расчетов потребления энергии.
Для каких-нибудь глухих мест, которых в России немало, рекомендуется использовать данные Meteonorm или INSWO, имеющие широкую сеть метеостанций практически во всем мире. Эти программы тоже можно использовать для определения долгосрочных характеристик и расчетов потребления энергии. Авторы [23] не рекомендуют при моделировании потребления энергии использовать однолетние климатические данные типа TRY (NCDC [6]), а рекомендуют отдавать предпочтение TMY 2 или WYEC 2, т.к. они лучше соответствуют многолетним средним параметрам.
Формирование «справочного года»
Далее формирование климатического массива «справочный год» («европейский» TRY либо DRY) описывается в соответствии со стандартом ISO 159274 [13]. «Справочный год» для определенной метеостанции (населенного пункта) должен содержать почасовые значения, по крайней мере, следующих метеорологических параметров:
- температура воздуха по сухому термометру;
- прямое солнечное свечение и рассеянное отражение от горизонтальной поверхности;
- относительная влажность, либо абсолютная влажность, либо давление водяного пара, либо температура точки росы (достаточно одного параметра из четырех перечисленных);
- скорость ветра на высоте 10 м над поверхностью земли.
Следует иметь ввиду, что при отсутствии измерений солнечной радиации зачастую используются оценочные способы расчета радиации, исходя из облачности и продолжительности солнечного сияния, как ранее поступили на 208 метеостанциях США [7], о чем было сказано выше. Результаты этих эмпирических расчетов являются примерными, поэтому их использование может привести к некоторым ошибкам. Основными параметрами для определения затрат на охлаждение и отопление зданий являются температура, солнечная радиация и влажность, поэтому они используются для формирования «справочного года».
Скорость и направление ветра использовались во вторую очередь. При формировании «справочного года» для специальных приложений могут также использоваться и другие параметры. Если бы один из годов в пределах многолетних наблюдений имел месяцы, каждый из которых был бы представительным по результатам многолетних наблюдений, т.е. был бы наиболее близким к среднему, то этот год мог бы использоваться как «справочный год».
Отчасти так удалось поступить в Финляндии [19]. Однако такое маловероятно, и на практике выходит, что самые лучшие подходящие месяцы собираются из многих различных лет, после чего сглаживаются соединения отдельных месяцев, чтобы сформировать целый год. Предложенный далее порядок формирования «справочного года» позволяет максимально приблизить отобранный календарный месяц к результатам долгосрочных осредненных наблюдений по следующим критериям:
- средние значения отдельных параметров;
- частотное распределение этих параметров;
- соотношения между различными параметрами в течение каждого месяца.
Поэтому формирование «справочного года» состоит из двух стадий:
- выбор каждого «лучшего» месяца («лучшего» января, «лучшего» февраля, etc.) по результатам многолетних наблюдений;
- регулирование почасовых значений в начале и конце отобранных месяцев для обеспечения гладкого перехода при их соединении и формировании года.
Реализация этих стадий такова, чтобы обеспечить соотношение между параметрами. Для выбора «лучших» месяцев и формирования «справочного года» в данной методике в качестве первичных параметров приняты: температура сухого термометра, солнечное излучение и один из параметров влажности, а скорость ветра — вторичный параметр. Для особых целей также могут использоваться другие комбинации первичных и вторичных параметров.
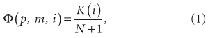
Чтобы сформировать «справочный год», необходимо в соответствии с [13] выполнить следующие действия. Первым шагом для каждого климатического параметра p (где p — температура сухого термометра, или солнечное излучение, или влажность) определяется его среднесуточное значение pср. Стандартом предписывается брать в расчет последние 10 лет или более. Затем для каждого календарного месяца m вычисляется функция F(p, m, i) интегрального распределения среднесуточных значений параметра p за все годы наблюдений, сортируя все значения в порядке увеличения:

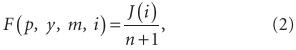
где K(i) — порядок ряда iй величины среднесуточных значений в пределах этого календарного месяца m за весь период наблюдений (m ∈ [1–12]); N — количество дней календарного месяца m за весь период наблюдений (в целом массиве). Потом для каждого года y из массива данных определяется функция F(p, y, m, i) интегрального распределения среднесуточных значений параметра p в рамках каждого календарного месяца m, сортируя все значения для конкретного месяца m и конкретного года y в порядке увеличения:

где J(i) — порядок ряда iй величины среднесуточных значений в пределах конкретного месяца m конкретного года y; n — количество дней в месяце m года y. И уже после этого для каждого календарного месяца m каждого года y полной базы наблюдений рассчитывается статистическая величина FinkelsteinSchafer [8]:

Далее для каждого календарного месяца отдельные месяцы из многолетних наблюдений выстраиваются в ряд в порядке увеличения статистической величины FS(p, y, m).В такой же последовательности для каждого календарного месяца и каждого года добавляются отдельные категории для трех климатических параметров (температура, солнечная радиация, влажность).И в заключение, для каждого календарного месяца m и для трех месяцев с самым низким полным ранжированием вычисляют отклонение среднемесячной скорости ветра от соответствующего многолетнего среднего значения календарного месяца.
Из этих месяцев месяц с самым низким отклонением по скорости ветра выбирается как «лучший» месяц для включения в «справочный год». Другие параметры могут быть исследованы в случае необходимости. После выбора двенадцати календарных месяцев для «справочного года» месяцы должны быть соединены вместе. Для этого параметры первых и последних восьми часов каждого месяца корректируются некоторой сглаживающей линией.
Кроме этого, корректировка должна включать последние восемь часов декабря и первые восемь часов января, что позволит неоднократно использовать «справочный год» при моделировании. Сглаживанию не подлежит последовательность значений параметра солнечной радиации, которая в полночь равна нулю. Наиболее простым видом сглаживания является линейная функция [24].
Для повышения точности результатов иногда предлагается использовать более сложные кривые, например, кубический сплайн [17], однако целесообразность усложнения расчетов ради сомнительного повышения точности параметров в течение 16 часов из 720 представляется неоправданной. В результате выполнения вышеупомянутых процедур должен образоваться массив «справочного года» («европейский» TRY или после дополнительной корректировки отдельных параметров DRY), который включает последовательности из 8760 почасовых значений: а) температуры сухого термометра; б) давления водяного пара (или другого параметра влажности); в) солнечной радиации; г) скорости ветра, а также любых других доступных климатических параметров.
Особая проблема, которую приходится решать, является определение весовых коэффициентов w климатических параметров p. При исследовании различных TRY использовались разные весовые коэффициенты. Разумеется, каждый климатический параметр имеет свое определенное влияние на энергетические потребности зданий. Например, влажность (скрытая теплота) не учитывается в энергетических расчетах по отоплению зданий, но существенно влияет на холодопроизводительность системы HVAC.
Температура и солнечная радиация влияют на расчеты как отопления, так и охлаждения здания. Кроме этого, найдется много таких зданий, для которых доминирующим параметром является солнечная радиация, и других, для которых доминируют скорость и направление ветра. Стандарт ISO 159274 [13] не оговаривает конкретные значения весовых коэффициентов для всевозможных приложений.
Изначально приводимая в стандарте методика предполагает одинаковые весовые коэффициенты для среднесуточных параметров температуры, солнечной радиации и влажности — w = 1/3 (как говорилось ранее, скорость ветра на первом этапе не принималась во внимание). В дальнейшем такой «справочный год» можно использовать для достаточно точного предсказания ежегодного потребления энергии некоторого «среднего» здания в определенной местности.
Однако в действительности много зданий отличается от «среднего» здания. Некоторые исследователи предлагают различные методики формирования TRY для разного типа зданий [25]. Другие утверждают, что TRY должен хорошо подходить для всех случаев, и не должно быть разных TRY для конкретных зданий [17]. Но при этом они предлагают проводить дальнейшие исследования с целью решения проблемы правильного подбора весовых коэффициентов, что, возможно, будет подобно методике формирования TRY для конкретного здания.
В другом подходе предлагается создать тройной массив климатических данных, который включает в себя три разных «справочных года»: типичный (средний, только что рассмотренный TRY), холодный/облачный и горячий/солнечный [26]. Это охватило бы не только средние (или типичные) условия для «среднего» здания, но и обеспечило бы результаты моделирования, которые идентифицируют некоторые нередко наблюдаемые погодные отклонения.
Заключение
Во всем мире крайне актуальными стали вопросы энергосбережения. И решаются они для многих приложений и на всех уровнях, в т.ч. при проектировании и строительстве зданий всевозможного назначения. А без знания климатических особенностей каждой местности решить такую задачу не представляется возможным. Из-за сравнительно невысокой стоимости энергоресурсов и энергоносителей в нашей стране до последнего времени вопросам энергосбережения не уделялось достаточно внимания.
Но, постепенно цены в нашей стране подтягиваются к мировым, и уже сейчас надо думать об энергосбережении всерьез. В современном мире при проектировании зданий учитываются климатические условия соответствующей местности. Для этого используются массивы почасовых климатических данных «справочный год» (reference year) — TRY, DRY и др. Важно отметить, что в настоящее время такой подход признан в подавляющем большинстве стран, и это отражено во многих зарубежных и международных нормативных документах.
Наборы TRY должны использоваться для решения многих задач: повышение энерго-эффективности зданий, моделирование систем солнечной энергии, проектирование и подбор систем HVAC, микроклиматический анализ и др. Но, при этом следует помнить, что TRY, отображающий типичный год, имеет некоторые ограничения, которые необходимо принимать во внимание.
Мы предполагаем на базе систематизации климатологической информации и тарифов на энергоносители по регионам РФ выполнять экономико-математический анализ финансовых затрат на поддержание работы предлагаемых (проектируемых) систем в масштабах жизненного цикла их эксплуатации (с учетом годового, месячного, суточного и почасового хода климатических параметров, а также регулируемых ставок тарифов).
Кроме этого, на основании накопленных данных по изменению климата, по цикличности солнечной активности и т.п., в некоторых странах появились рекомендации не только по долгосрочному прогнозированию климата, но и по характеру изменения TRY в течение нескольких грядущих десятилетий (например, в Соединенном Королевстве [27]). Такие рекомендации в перспективе позволят оценить энергетическую потребность зданий после жизненного цикла первого поколения систем HVAC и своевременно внести соответствующие коррективы в комплекс «здание–система HVAC».