Рис. 1. Функциональная схема автоматизации СВ и КВ помещения
Рис. 2. Зависимость отклонения t от времени с момента теплового возмущения
Рис. 3. Зависимость требуемого коэффициента регулирования Kрег от времени регулирования
При проектировании автоматизированных систем вентиляции и кондиционирования воздуха (СВ и КВ) основной особенностью является необходимость расчета нестационарного теплового режима обслуживаемого помещения с учетом автоматического регулирования СВ и КВ и переходных процессов в их оборудовании, связанных с изменением параметров наружного и внутреннего воздуха с течением времени.
Основой предлагаемой методики является предположение, что общая теплоустойчивость системы «помещение–СВиКВ–САР» складывается из показателя теплопоглощения помещения и управляющего воздействия системы автоматического регулирования (САР). Это непосредственно следует из встречно-параллельного включения звеньев, соответствующих помещению и СВ и КВ в схеме автоматического управления внутренним микроклиматом (рис. 1) [1].
Можно показать, что в рассматриваемых условиях поддержание tв = const физически невозможно, хотя бы из-за наличия существенной зоны нечувствительности и их инерционности у датчиков температуры, входящих в САР, а, главное, вследствие тепловой инерции ограждений помещения. Поэтому нужно задаться максимальным отклонением tв от уставку (Δtв.max).
При этом сама СВ и КВ и ее САР образуют для рассматриваемого помещения отрицательную обратную связь по каналу «теплопоступления Qвозм – tв», поскольку входной информацией для их работы является величина отклонения tв от заданного среднего уровня, а результатом их действия — тепловой поток Qрег, который добавляется к Qвозм, полностью или частично компенсируя его и внося, таким образом, дополнительное стабилизирующее воздействие в систему «помещение–СВиКВ–САР».
В нашем случае колебания теплопоступлений от внутренних источников в помещении практически отсутствуют (технологические тепловыделения от грибов, освещения и т.д. примерно постоянны), поэтому роль Qвозм играют отклонения, связанные с изменением температуры наружного воздуха tн, передающиеся через приточную установку в помещение.Именно их и должна при этом компенсировать САР.
Построим математическую модель процессов в трехмодульной системе «помещение–СВиКВ–САР», учитывающую, в отличие от существующих [2, 3], нелинейность помещения как объекта регулирования при однократном тепловом воздействии за счет сочетания элементов классической теории автоматического управления (ТАУ) и теории теплоустойчивости.
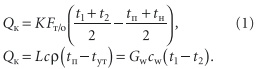
Предполагаем, что регулирование воздухонагревателя осуществляется по качественной схеме, с применением трехходового клапана на перемычке и, соответственно, с изменением температуры нагретой воды на входе в аппарат в зависимости от текущей потребности в нагревании воздуха. Тогда математическая модель процессов в воздухонагревателе СВ и КВ, управляемом САР и в обслуживаемом помещении может быть представлена следующей системой уравнений [4]:

где Fто — поверхность теплообмена воздухонагревателя, м2; Qк — его тепловая мощность, Вт; Gw — массовый расход теплоносителя, т.е., в данном случае, нагретой воды, кг/с; сw — ее удельная теплоемкость, равная 4190 Дж/(кг⋅K); L, c и ρ — объемный расход приточного воздуха [м3/с], его удельная теплоемкость — 1005 Дж/(кг⋅K) и плотность, принимаемая в размере 1,2 кг/м3, соответственно; K — коэффициент теплопередачи теплообменника, Вт/(м2⋅K).
Параметры t1 и t2 представляют собой температуру воды, соответственно, на входе и на выходе из теплообменника, °C; tп и tн — температура приточного воздуха, поступающего в помещение после нагрева в аппарате, и его же температура до подогрева (после теплоутилизатора или, при его отсутствии — наружная).Тогда tср — средняя температура воды в воздухонагревателе:

представляет собой число единиц переноса теплоты для воздуха в воздухонагревателе [4].В данном случае:

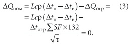
по результатам подбора приточной установки типа КЦКП производства компании ООО «ВЕЗА» с помощью компьютерной программы [5].Для обслуживаемого помещения уравнение мгновенного теплового баланса, если пренебречь теплоаккумуляционной способностью объема внутреннего воздуха, можно записать в следующем виде [2]:

Здесь ΔQогр — отклонение от среднего значения величины теплового потока, проходящего через внутреннюю поверхность ограждающих конструкций помещения, Вт; Δtп и Δtв — отклонения tп и tв от расчетных значений. Величину ΔQогр можно определить через характеристики слоя материала конструкций, захватываемого температурной волной, начинающей распространяться с момента температурного возмущения, вызванного изменением tн. Именно от этого момента мы и отсчитываем время τ.
Параметр F — площадь поверхностей ограждений, обращенных в помещение. Для рассматриваемого объекта ее значение равно 680 м2.Величина S является комплексной теплофизической характеристикой материала — т.е., в данном cлучае, его коэффициентом теплоусвоения [2]:

где Т — период колебаний, для которого рассчитывается величина S (обычно 24 ч, т.е. 86400 с); λ представляет собой теплопроводность материала ограждений, обращенного в помещение, Вт/(м⋅K); согр и ρогр — удельная теплоемкость [Дж/(кг⋅К)] и плотность [кг/м3] материала,соответственно. Для применяемого материала (керамзитобетон характеризуется ρогр = 1600 кг/м3) S = 10,77 Вт/(м2⋅K) [6].
Выражение (3) может быть получено на основе сочетания элементов теории теплоустойчивости и уравнения для распространения температурной волны при однократном тепловом воздействии [2]. Одновременно можно записать выражение для ΔQогр через интенсивность теплообмена между воздухом помещения и поверхностями ограждений:ΔQогр = (Δtв – Δtогр)ΣαF, (5)где α — коэффициент общего теплообмена на поверхностях, его значение можно принять равным ≈ 6,25 Вт/(м2⋅K) [7].
Поскольку характерная продолжительность теплового возмущения и соответствующее время регулирования в условиях данной рассматриваемой задачи составляют сотни и тысячи секунд, что во много раз превышает постоянные времени таких элементов системы, как датчики САР и теплообменное оборудование, инерционностью данных устройств вполне можно пренебречь и полностью считать их линейными пропорциональными звеньями.
В то же время нелинейность и инерционность помещения как объекта регулирования учитывается непосредственно уравнением (3).Поэтому для отрицательной обратной связи, входящей в схему управления тепловым режимом помещения (рис. 1), если считать в первом приближении, что t2 = const, т.е. за счет работы САР меняется только величина t1, можно легко записать следующее равенство:Δt1 = –KрегΔtв, (6)где Δt1 представляет собой отклонение t1 от исходного уровня.
Уравнение (6) замыкает систему (2–5).В данном случае по своему физическому смыслу коэффициент передачи Kрег показывает, на сколько градусов нужно изменять температуру нагретой воды на входе в калорифер при отклонении tв от уставки на 1 K. Такое изменение и должна обеспечить соответствующим образом подобранная САР.
При записи (6) был принят П-закон регулирования, т.е., фактически, выделена пропорциональная часть в управляющем воздействии, т.к. Д-компонентой можно пренебречь из-за значительного временного интервала, а И-составляющая будет уводить закон регулирования от оптимального, вступая в противоречие с теплоинерционными свойствами помещения [8].В системе (2–6) неизвестными являются Δtп, Δtв, Δtогр.
Величину Δtн считаем заданной и равной 3,25 °C по данным [9], т.е. половине суточной амплитуды колебаний наружной температуры в холодный период года для города Москвы. После ряда преобразований получаем формулу для основной интересующей нас величины Δtв:

По аналогии с NTU их можно назвать числом единиц переноса теплоты для внутренних поверхностей ограждений помещения и для материального слоя, в пределах которого распространяется температурная волна. В условиях рассматриваемого примера после подстановки числовых значений находим:

Тогда выражение для текущего отклонения температуры внутреннего воздуха от уставки будет иметь вид:

Отсюда для требуемого коэффициента передачи регулятора из условия ограничения величины Δtв получаем:

Если перед калорифером установлен теплоутилизатор, в формулу (9) вместо Δtн необходимо подставлять величинуΔtут = Δtн(1 – Kэф),где Kэф — коэффициент температурной эффективности теплоутилизационного оборудования. Зависимость изменения Δtв от τ при значениях Kрег = 5 (верхняя линия) и 10 (нижняя линия) приведены на рис. 2. Легко видеть, что с течением времени отклонение температуры в помещении постепенно растет, но скорость этого увеличения замедляется изза ассимиляции теплового возмущения внутренним слоем ограждающих конструкций.
При этом с ростом Kрег отклонение также становится меньше изза усиления регулирующего воздействия. Зависимость требуемого значения Kрег от времени регулирования при величине Δtв.max = 1 °C показана на рис. 3. Таким образом, чем более продолжителен временной интервал, в течение которого нам нужно поддерживать температуру в помещении на заданном уровне, тем более интенсивное воздействие со стороны САР оказывается необходимым. Однако зависимость эта довольно слабая.
В среднем в данном случае требуется величина Kрег около 5, т.е. на каждый градус отклонения tв от уставки необходимо изменять температуру воды на входе в воздухонагреватель примерно на 5 °C, и САР должна обеспечить такое воздействие. Итак, мы получили методику, позволяющую оценить влияние отклонений температуры наружного воздуха на внутреннюю температуру в помещении с постоянными теплопотерями и теплопоступлениями, обслуживаемом автоматизированной системой СВ и КВ, с учетом его теплоинерционности и характеристик вентиляционного оборудования и САР, а также определять требуемый коэффициент передачи регулятора в зависимости от времени регулирования и допустимого отклонения внутренней температуры.
Методика имеет достаточно простой и инженерный вид и доступна для использования на этапе предварительных расчетов и принятия основных решений по устройству СВ и КВ.